புத்தக கணக்குகளுக்கான பதில்கள், தீர்வுகள் | கணக்கு - பயிற்சி 11.2: ∫ƒ(a x+b) dx (நேரிய வடிவிலுள்ள தொகைச்சார்பு) வடிவம் | 11th Mathematics : UNIT 11 : Integral Calculus
Posted On : 12.02.2024 02:00 am
11 வது கணக்கு : அலகு 11 : தொகை நுண்கணிதம் Integral Calculus
பயிற்சி 11.2: ∫ƒ(a x+b) dx (நேரிய வடிவிலுள்ள தொகைச்சார்பு) வடிவம்
11 வது கணக்கு : அலகு 11 : தொகை நுண்கணிதம் Integral Calculus : பயிற்சி 11.2: ∫ƒ(a x+b) dx (நேரிய வடிவிலுள்ள தொகைச்சார்பு) வடிவம் : பல்வேறு வினாக்களுக்கான பதில்கள் மற்றும் தீர்வுகள்
பயிற்சி 11.2
x- ஐப் பொறுத்து கீழ்க்காண்பனவற்றைத் தொகையிடுக.
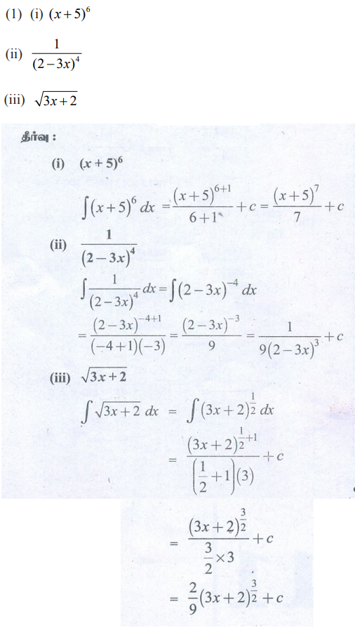
(1) (i) (x+5)6 (ii) 1/(2-3x)4 (iii) √3x + 2

(2) (i) sin 3x (ii) cos(5-11x) (iii) cosec2(5x-7)

(3) (i) e3x-6 (ii) e8-7x (iii) 1 / 6 - 4x

(4) (i) sec2 x/5 (ii) cosec(5x+3) cot(5x+3) (iii) sec(2-15x) tan(2-15x)

(5) (i) 1 / √1 - (4x)2 (ii) 1 / √1 - 81x2 (iii) 1 / 1 + 36x2

Tags : Problem Questions with Answer, Solution | Mathematics புத்தக கணக்குகளுக்கான பதில்கள், தீர்வுகள் | கணக்கு.
11th Mathematics : UNIT 11 : Integral Calculus : Exercise 11.2: Integrals of the Form (ax + b) Problem Questions with Answer, Solution | Mathematics in Tamil : 11th Standard
Tamil Medium School Samacheer Book Back Questions and answers, Important Question with Answer.
11 வது கணக்கு : அலகு 11 : தொகை நுண்கணிதம் Integral Calculus : பயிற்சி 11.2: ∫ƒ(a x+b) dx (நேரிய வடிவிலுள்ள தொகைச்சார்பு) வடிவம் - புத்தக கணக்குகளுக்கான பதில்கள், தீர்வுகள் | கணக்கு : 11 ஆம் வகுப்பு
புத்தகம் கேள்விகள் மற்றும் பதில்கள்.