கேள்விகளுக்கான பதில்கள், தீர்வுகள் - பயிற்சி 10.7 : முதல் வரிசை நேரியல் வகைக்கெழுச் சமன்பாடுகள் (First Order Linear Differential Equations) | 12th Maths : UNIT 10 : Ordinary Differential Equations
Posted On : 11.11.2022 06:24 am
12 ஆம் வகுப்பு கணிதம் : அத்தியாயம் 10 : சாதாரண வகைக்கெழுச் சமன்பாடுகள்
பயிற்சி 10.7 : முதல் வரிசை நேரியல் வகைக்கெழுச் சமன்பாடுகள் (First Order Linear Differential Equations)
கணக்கு புத்தக பயிற்சி வினாக்கள் மற்றும் தீர்வுகள் - கணிதவியல் : சாதாரண வகைக்கெழுச் சமன்பாடுகள் : முதல் வரிசை நேரியல் வகைக்கெழுச் சமன்பாடுகள் (First Order Linear Differential Equations) : சோதனை வினாக்களுக்கான கேள்வி பதில், தீர்வுகள்
பயிற்சி 10.7
பின்வரும் நேரியல் வகைக்கெழுச் சமன்பாடுகளின் தீர்வு காண்க:
1. cos x dy/dx + ysin x = 1

2. (1-x2) dy/xy -xy = 1

3. dy/dx + y/ x = sin x

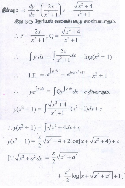
4. (x2 +1) dy/dx + 2xy = √x2 + 4
5. (2x - 10y3)dy + ydx = 0

6. x sin x dy/dx (x cos x + sin x ) y = sin x

7. (y – e sin-1x) dx /dy +√1 – x2 = 0

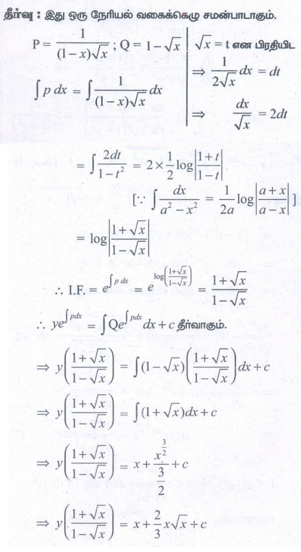
8. dy/dx + y/(1-x) √x =1-√x

9. (1 + x + xy2) dy/dx + (y + y3) = 0

10. dy/dx + y/x log x = sin 2x / log x

11. (x+a) dy/dx - 2y = (x+a)4

12. dy/dx = sin2x / 1 + x3 – (3x2/1+x3 )y

13. x (dy/dx) +y = x log x

14. x dy/dx + 2y - x2 log x = 0

15. dy/dx + 3y/x = 1/x2, x = 1 எனில் y = 2
விடைகள் :
Tags : Problem Questions with Answer, Solution கேள்விகளுக்கான பதில்கள், தீர்வுகள்.
12th Maths : UNIT 10 : Ordinary Differential Equations : Exercise 10.7: First Order Linear Differential Equations Problem Questions with Answer, Solution in Tamil : 12th Standard
Tamil Medium School Samacheer Book Back Questions and answers, Important Question with Answer.
12 ஆம் வகுப்பு கணிதம் : அத்தியாயம் 10 : சாதாரண வகைக்கெழுச் சமன்பாடுகள் : பயிற்சி 10.7 : முதல் வரிசை நேரியல் வகைக்கெழுச் சமன்பாடுகள் (First Order Linear Differential Equations) - கேள்விகளுக்கான பதில்கள், தீர்வுகள் : 12 ஆம் வகுப்பு
புத்தகம் கேள்விகள் மற்றும் பதில்கள்.