கேள்விகளுக்கான பதில்கள், தீர்வுகள் - பயிற்சி 10.5 : மாறிகளைப் பிரிக்கும் முறை (Variables Separable Method), பிரதியீட்டு முறை (Substitution Method) | 12th Maths : UNIT 10 : Ordinary Differential Equations
Posted On : 19.09.2022 01:15 am
12 ஆம் வகுப்பு கணிதம் : அத்தியாயம் 10 : சாதாரண வகைக்கெழுச் சமன்பாடுகள்
பயிற்சி 10.5 : மாறிகளைப் பிரிக்கும் முறை (Variables Separable Method), பிரதியீட்டு முறை (Substitution Method)
கணக்கு புத்தக பயிற்சி வினாக்கள் மற்றும் தீர்வுகள் - கணிதவியல் : சாதாரண வகைக்கெழுச் சமன்பாடுகள் : முதல் வரிசை, முதற்படி வகைக்கெழுச் சமன்பாடுகளின் தீர்வு (Solution of First Order and First Degree Differential Equations) , மாறிகசோதனை வினாக்களுக்கான கேள்வி பதில், தீர்வுகள்ளைப் பிரிக்கும் முறை (Variables Separable Method), பிரதியீட்டு முறை (Substitution Method) :
பயிற்சி 10.5
1. நிறை M உடைய ஒரு தானியங்கி இயந்திரத்தின் இயக்கியால் உருவாக்கப்படும் மாறாதவிசை F எனில், அதனுடைய திசைவேகம் V என்பது M dV/dt = F - kV எனும் சமன்பாட்டால் குறிக்கப்படுகிறது. k என்பது மாறிலியாகும். t = 0 எனில் V = 0 என கொடுக்கப்படும்போது Vஐ t -ன் சார்பாக எழுதுக.

2. செங்குத்தாக விழும் வான்குடை மிதவை (parachute)யின் திசைவேகம் v ஆனது
எனும் சமன்பாட்டை நிறைவு செய்கிறது. இங்கு g மற்றும் k என்பன மாறிலிகள் ஆகும். ஆரம்ப நிலையில் v மற்றும் x ஆகிய இரண்டும் பூச்சியமானால், vஐ x -ன் சார்பாகக் காண்க

3. ஒரு வளைவரையின் சாய்வு y−1 / x2 + x ஆகும். வளைவரை (1,0) எனும் புள்ளி வழிச்செல்லுமெனில், அதன் சமன்பாட்டைக் காண்க.

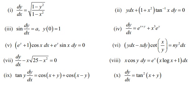
4. பின்வரும் வகைக்கெழுச் சமன்பாடுகளின் தீர்வுகளைக் காண்க :



விடைகள் :

Tags : Problem Questions with Answer, Solution கேள்விகளுக்கான பதில்கள், தீர்வுகள்.
12th Maths : UNIT 10 : Ordinary Differential Equations : Exercise 10.5: Variables Separable Method, Substitution Method Problem Questions with Answer, Solution in Tamil : 12th Standard
Tamil Medium School Samacheer Book Back Questions and answers, Important Question with Answer.
12 ஆம் வகுப்பு கணிதம் : அத்தியாயம் 10 : சாதாரண வகைக்கெழுச் சமன்பாடுகள் : பயிற்சி 10.5 : மாறிகளைப் பிரிக்கும் முறை (Variables Separable Method), பிரதியீட்டு முறை (Substitution Method) - கேள்விகளுக்கான பதில்கள், தீர்வுகள் : 12 ஆம் வகுப்பு
புத்தகம் கேள்விகள் மற்றும் பதில்கள்.