புத்தக கணக்குகளுக்கான பதில்கள், தீர்வுகள் | கணக்கு - பயிற்சி 10.3: சார்பின் சார்பினது வகைக்கெழு (இணைப்பு விதி) எடுத்துக்காட்டுகள் | 11th Mathematics : UNIT 10 : Differential Calculus: Differentiability and Methods of Differentiation
Posted On : 10.02.2024 02:58 am
11 வது கணக்கு : அலகு 10 : வகை நுண்கணிதம் வகைமை மற்றும் வகையிடல் முறைகள் DIFFERENTIABILITY AND METHODS OF DIFFERENTIATION
பயிற்சி 10.3: சார்பின் சார்பினது வகைக்கெழு (இணைப்பு விதி) எடுத்துக்காட்டுகள்
11 வது கணக்கு : அலகு 10 : வகை நுண்கணிதம் வகைமை மற்றும் வகையிடல் முறைகள் DIFFERENTIABILITY AND METHODS OF DIFFERENTIATION : பயிற்சி 10.3: சார்பின் சார்பினது வகைக்கெழு (இணைப்பு விதி) எடுத்துக்காட்டுகள் : பல்வேறு வினாக்களுக்கான பதில்கள் மற்றும் தீர்வுகள்
பயிற்சி 10.3
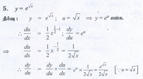
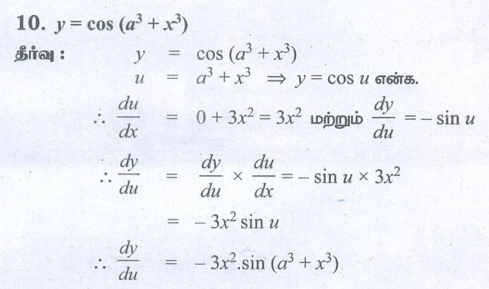
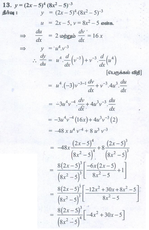
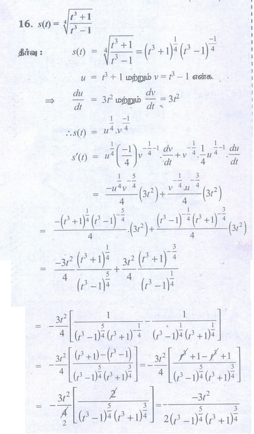
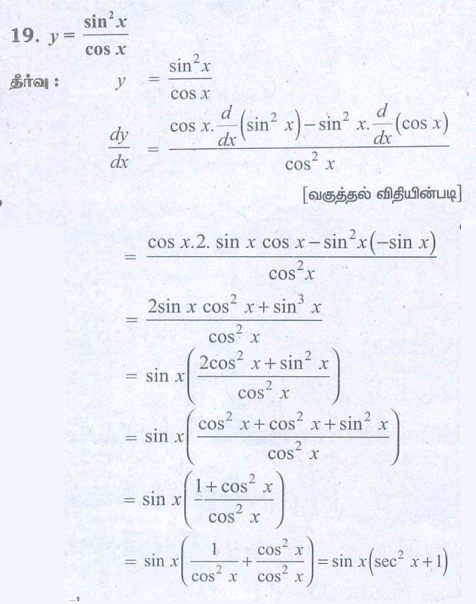
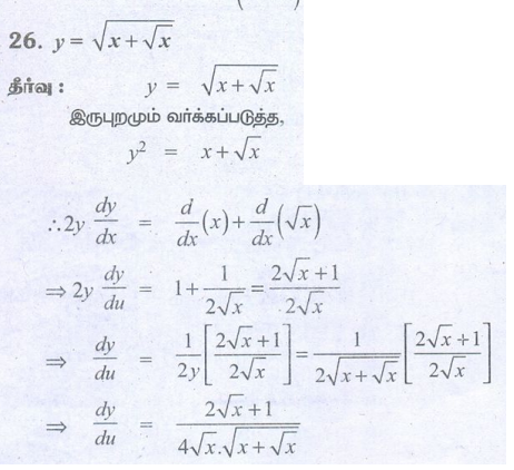
கீழ்க்காணும் சார்புகளுக்கு வகைக்கெழுக்களைக் காண்க :






























Tags : Problem Questions with Answer, Solution | Differential Calculus | Mathematics புத்தக கணக்குகளுக்கான பதில்கள், தீர்வுகள் | கணக்கு.
11th Mathematics : UNIT 10 : Differential Calculus: Differentiability and Methods of Differentiation : Exercise 10.3: Examples on Chain Rule (Differentiation Rules) Problem Questions with Answer, Solution | Differential Calculus | Mathematics in Tamil : 11th Standard
Tamil Medium School Samacheer Book Back Questions and answers, Important Question with Answer.
11 வது கணக்கு : அலகு 10 : வகை நுண்கணிதம் வகைமை மற்றும் வகையிடல் முறைகள் DIFFERENTIABILITY AND METHODS OF DIFFERENTIATION : பயிற்சி 10.3: சார்பின் சார்பினது வகைக்கெழு (இணைப்பு விதி) எடுத்துக்காட்டுகள் - புத்தக கணக்குகளுக்கான பதில்கள், தீர்வுகள் | கணக்கு : 11 ஆம் வகுப்பு
புத்தகம் கேள்விகள் மற்றும் பதில்கள்.