கணங்கள், தொடர்புகள் மற்றும் சார்புகள் | கணிதம் - பயிற்சி 1.5 : சரியான அல்லது மிகவும் ஏற்புடைய விடையைத் தேர்ந்தெடுக்கவும் | 11th Mathematics : UNIT 1 : Sets, Relations and Functions
அலகு 1 : கணங்கள், தொடர்புகள் மற்றும் சார்புகள்
சரியான அல்லது மிகவும் ஏற்புடைய விடையைத்
தேர்ந்தெடுக்கவும்
1. A = {(x, y) : y = ex, x∈R} மற்றும் B = {(x, y) : y = e-x, x ∈ R} எனில்,
n(A ∩ B) என்பது
(1) ∞
(2) 0
(3) 1
(4) 2
தீர்வு:

2. A = {(x, y) : y = sin x, x ∈ R} மற்றும் B = {(x, y) : y = cos x, x ∈ R} எனில், A ∩ B -ல்
(1) உறுப்புகளில்லை
(2) எண்ணிலடங்கா உறுப்புகள் உள்ளன
(3) ஓரே ஒரு உறுப்பு உள்ளது
(4) தீர்மானிக்க இயலாது
3. A = {0,-1, 1, 2} எனும் கணத்தில் |x2 + y2| ≤ 2 எனுமாறு xRy ஆக வரையறுக்கப்பட்ட தொடர்பு R எனில், கீழ்க்கண்டவற்றில் எது சரியானது?
(1) R = {(0, 0), (0,-1), (0, 1), (-1, 0), (-1, 1), (1, 2), (1, 0)}
(2) R-1 = {(0, 0), (0,-1), (0, 1), (-1, 0), (1, 0)}
(3) R -ன் சார்பகம் {0,-1, 1, 2}
(4) R -ன் வீச்சகம் {0, -1, 1}
தீர்வு:

4. {(x) = |x – 2| + |x + 2|, x ∊ R, எனில்,

விடை: 1
தீர்வு:

5. ℝ மெய்யெண்களின் கணம் என்க. ℝ × ℝ –ல் கீழ்க்கண்ட உட்கணங்களைக் கருதுக.
S = {(x, y) : y = x + 1 மற்றும் 0 < x < 2} T = {(x, y) : x - y ∈ ℤ
எனில் கீழ்க்காணும் கூற்றில் எது மெய்யானது?
(1) T சமானத் தொடர்பு ஆனால், S சமானத் தொடர்பு அல்ல.
(2) S , T இரண்டுமே சமானத் தொடர்பு அல்ல.
(3) S, T இரண்டுமே சமானத் தொடர்பு.
(4) S சமானத் தொடர்பு ஆனால், T சமானத் தொடர்பு அல்ல.
தீர்வு:

6. இயல் எண்களின் அனைத்துக்கணம் N -க்கு A மற்றும் B உட்கணங்கள் எனில் A’∪ [(A∩B)∪B’] என்பது
(1) A
(2) A’
(3) B
(4) N
தீர்வு:

7. கணிதம் மற்றும் வேதியியல் இரண்டும் பாடங்களாக ஏற்ற மாணவர்களின்
எண்ணிக்கை 70. இது கணிதத்தை
ஏற்றவர்களின் 10% மற்றும் வேதியியல்
ஏற்றவர்களின் 14% ஆகும்.
இவற்றில் ஏதாவதொன்றைப் பாடமாக ஏற்ற மாணவர்களின் எண்ணிக்கை
(1) 1120
(2) 1130
(3) 1100
(4)
தீர்வு:

8. n((A x B) ∩ (A x C)) = 8 மற்றும் n(B ∩ C) = 2 எனில், n(A) என்பது
(1) 6
(2) 4
(3) 8
(4) 16
தீர்வு:

9. n(A) = 2 மற்றும் n(B ∪C) = 3, எனில் n[(A x B) ∪ (A xC)] என்பது
(1) 23
(2) 32
(3) 6
(4) 5
தீர்வு:

10. A மற்றும் B எனும் இரு கணங்களில் 17 உறுப்புகள் பொதுவானவை எனில், A × B மற்றும் B × A ஆகிய கணங்களில் உள்ள பொது உறுப்புகளின் எண்ணிக்கை
(1) 217
(2) 172
(3) 34
(4) போதுமான தகவல் இல்லை
தீர்வு:

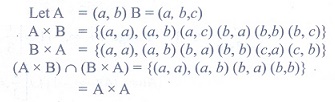
11. வெற்றற்ற கணங்கள் A மற்றும் B என்க. A ⊂ B எனில் (A x B) ∩ (B x A) =
(1) A ∩ B
(2) A x A
(3) B x B
(4) இவற்றுள் எதுவும் இல்லை.
தீர்வு:

12. 3 உறுப்புகள் கொண்ட கணத்தின் மீதான தொடர்புகளின் எண்ணிக்கை
(1) 9
(2) 81
(3) 512
(4) 1024
தீர்வு:

13. ஒன்றுக்கு மேற்பட்ட உறுப்புகளைக் கொண்ட கணம் X -ன் மீதான அனைத்துத்தொடர்பு R எனில் R என்பது
(1) தற்சுட்டுத் தொடர்பு அல்ல
(2) சமச்சீர் தொடர்பல்ல
(3) கடப்புத் தொடர்பு
(4)
இவற்றுள் எதுவுமன்று
தீர்வு:

14. X = {1, 2, 3, 4} மற்றும் R = {(1, 1), (1, 2), (1, 3), (2, 2), (3, 3), (2, 1), (3, 1), (1, 4), (4, 1)}, எனில் R என்பது
(1) தற்சுட்டுத் தொடர்பு
(2)
சமச்சீர் தொடர்பு
(3) கடப்புத் தொடர்பு
(4)
சமானத் தொடர்பு
தீர்வு:

15. 1 / 1-2 sin x என்ற சார்பின் வீச்சகம்


16. f(x) = |└ x┘- x| , x ∊ R என்ற சார்பின் வீச்சகம்,
(1) [0, 1]
(2) [0, ∞)
(3) [0, 1)
(4) (0, 1)
தீர்வு:

17. f(x) = x2 என்ற சார்பு இருபுறச் சார்பாக அமைய வேண்டுமெனில் அதன் சார்பகமும், துணைச்சார்பகமும் முறையே
(1) R,R
(2) R, (0, ∞)
(3) (0, ∞),R
(4) [0, ∞), [0, ∞)
தீர்வு:

18. m உறுப்புகள் கொண்ட ஒரு கணத்திலிருந்து n உறுப்புகள் கொண்ட ஒரு கணத்திற்கு வரையறுக்கப்படும் மாறிலிச் சார்புகளின் எண்ணிக்கை
(1) mn
(2) m
(3) n
(4) m + n
19. f : [0, 2π] → [-1, 1] என்ற சார்பு, f(x) = sin x என வரையறுக்கப்படுகிறது
எனில், அது
(1) ஒன்றுக்கொன்று
(2) மேற்கோர்த்தல்
(3) இருபுறச் சார்பு
(4) வரையறுக்க இயலாது
தீர்வு:

20. f : [-3, 3] → S என்ற சார்பு f(x) = x2 என வறையறுக்கப்பட்டு
மேற்கோர்த்தல் எனில்,
S என்பது
(1) [-9, 9]
(2) R
(3) [-3, 3]
(4) [0, 9]
தீர்வு:

21. X = {1, 2, 3, 4}, Y = {a, b, c, d} மற்றும் f = {(1, a), (4, b), (2, c), (3, d), (2, d)} எனில் f என்பது
(1) ஒன்றுக்கொன்றானச் சார்பு
(2) மேற்கோர்த்தல் சார்பு
(3) ஒன்றுக்கொன்று அல்லாத சார்பு
(4) சார்பன்று
தீர்வு:

22. 
விடை : 1
தீர்வு:

23. f : R → R –ல் சார்பு f(x) = 1 - |x| என வரையறுக்கப்படுகிறது
எனில் f -ன் வீச்சகம்
(1) R
(2) (1,∞)
(3) (-1, ∞)
(4) (-∞, 1]
தீர்வு:

24. f : R → R -ல் f(x) = sin x + cos x எனில் f ஆனது
(1) ஒரு ஒற்றைப்படைச் சார்பு
(2) ஒற்றைப்படையுமல்ல இரட்டைப்படையுமல்ல
(3) ஒரு இரட்டைப்படைச் சார்பு
(4) ஒற்றைப்படை மற்றும் இரட்டைப்படைச்
சார்பு
தீர்வு:

25. f : R → R ல்
எனில் f
(1) ஒரு ஒற்றைப்படைச் சார்பு
(2) ஒற்றைப்படையுமல்ல, இரட்டைப்படையுமல்ல
(3) ஒரு இரட்டைப்படைச் சார்பு
(4) ஒற்றைப்படை மற்றும் இரட்டைப்படைச் சார்பு.
தீர்வு:
