கேள்விகளுக்கான பதில்கள், தீர்வுகள் - பயிற்சி 1.1: பூச்சியமற்ற கோவை அணியின் நேர்மாறு (Inverse of a Non−Singular square matrix) | 12th Maths : UNIT 1 : Applications of Matrices and Determinants
பயிற்சி 1.1
1. பின்வரும் அணிகளுக்குச் சேர்ப்பு அணி காண்க:


2. பின்வரும் அணிகளுக்கு நேர்மாறு (காண முடியுமெனில்) நேர்மாறு காண்க:


3.
எனில், [F(α)]−1 = F (−α) எனக்காட்டுக.

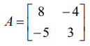
4.
எனில், A2 − 3A − 7I2, = O2, எனக்காட்டுக. இதன் மூலம் A−1 காண்க.

5.
எனில், A−1 = AT என நிறுவுக.


6.
எனில் A (adj A) = (adj A) A = |A|I2 என்பதைச் சரிபார்க்க.

7.
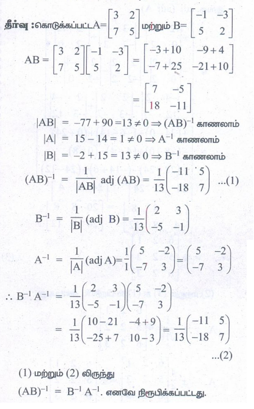
எனில் (AB)−1=B−1A−1 என்பதைச் சரிபார்க்க.

8. adj (A) =
எனில் A −ஐ காண்க.

9. adj(A) =
எனில் A−1 −ஐ காண்க.

10. adj A =
எனில் adj (adj (A)) −ஐ காண்க.

11.
எனக்காட்டுக.

12.
எனில் A −ஐ காண்க.

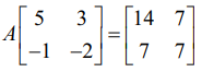
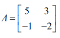
13.
மற்றும் AXB = C எனில் X என்ற அணியைக் காண்க.

14. A =
எனில் A−1 = (1/2) (A2 −3I) எனக்காட்டுக.

15.
என்ற அணியை பிந்தையப் பெருக்கல் சங்கேத மொழியாக்க அணியாகக் கொண்டு [2 − 3] [20 4] என்று பெறப்பட்டச் செய்தியை
−ன் நேர்மாறு அணியின் பிந்தையப் பெருக்கற் சாவியாகக் கொண்டு சங்கேத மொழி மாற்றம் செய்க. இங்கு ஆங்கில எழுத்துகள் A − Z −க்கு முறையே எண்கள் 1 – 26 ஐயும், காலியிடத்திற்கு எண் 0 ஐயும் பொருத்தி சங்கேத மொழியாக்கம் மற்றும் மொழிமாற்றம் செய்க.
