வரையறை, தேற்றம், நிரூபணம், எடுத்துக்காட்டு கணக்குகள் - கலப்பெண்ணின் ஆய்லரின் வடிவம் (Euler's Form of the complex number) | 12th Maths : UNIT 2 : Complex Numbers
2. கலப்பெண்ணின் ஆய்லரின் வடிவம் (Euler's Form of the complex number)
ஆய்லரின் சூத்திரம் கீழ்க்கண்டவாறு வரையறுக்கப்பட்டுள்ளது.
eiθ = cos θ + i sin θ
ஆய்லரின் சூத்திரத்திலிருந்து துருவ வடிவத்தை z = r eiθ எனப் பெறலாம்.
குறிப்பு
கலப்பெண்களின் பெருக்கம் அல்லது கலப்பெண்களின் அடுக்குகளை காணும் போது துருவ வடிவத்தை நாம் பயன்படுத்துகிறோம்.
எடுத்துக்காட்டு 2.22
பின்வரும் கலப்பெண்களுக்கு மட்டு மற்றும் முதன்மை வீச்சு ஆகியவற்றைக் காண்க.
(i) √3 + i
(ii) −√3 + i
(iii) −√3 – i
(iv) √3 − i
தீர்வு
(i) √3 + i

√3 + i என்ற கலப்பெண்ணானது முதல் கால் பகுதியில் அமைவதால் முதன்மை வீச்சு
θ = α = π/6
ஆகவே, √3 + i −ன் மட்டு மற்றும் முதன்மை வீச்சு முறையே 2 மற்றும் π/6 ஆகும்.
(ii) −√3 + i
மட்டு = 2 மற்றும்
α = tan−1| y/x | = tan−1 1/√3 = π/6

−√3 + i, என்ற கலப்பெண்ணானது இரண்டாம் கால்பகுதியில் அமைவதால் முதன்மை வீச்சு
θ = π − α = π − π/6 = 5π/6
ஆகவே, − √3 + i −ன் மட்டு மற்றும் முதன்மை வீச்சு முறையே 2 மற்றும் 5π/6 ஆகும்.
(iii) −√3 – i

r = 2 மற்றும் α = π/6
−√3 – i என்ற கலப்பெண்ணானது மூன்றாம் கால்பகுதியில் அமைவதால் முதன்மை வீச்சு
θ = α − π = π/6 − π = − 5π / 6
ஆகவே, −√3 −i −ன் மட்டு மற்றும் முதன்மை வீச்சு முறையே 2 மற்றும் −5π/6 ஆகும்.
(iv) √3 – i

r = 2 மற்றும் α = π/6
√3 − i என்ற கலப்பெண்ணானது நான்காம் கால்பகுதியில் அமைவதால் முதன்மை வீச்சு
θ = −α = − π/6
ஆகவே, √3 − i −ன் மட்டு மற்றும் முதன்மை வீச்சு முறையே 2 மற்றும் −π/6 ஆகும்.
இந்த நான்கிலும் மட்டு மதிப்புகள் சமம் ஆனால் அதன் வீச்சானது அக்கலப்பெண் அமையும் கால்பகுதியை பொருத்து அமைகின்றது.
எடுத்துக்காட்டு 2.23
(i) −1 −i
(ii) 1 + i√3 என்ற கலப்பெண்களை துருவ வடிவில் காண்க.
தீர்வு
(i) −1− i = r(cos θ + isin θ) என்க.
r = √[x2 + y2] = √[12 + 12] = √[1+1] = √2 மற்றும்
α = tan−1| y /x | = tan−11 = π/4 என கிடைக்கிறது.
−1− i என்ற கலப்பெண் மூன்றாம் கால்பகுதியில் அமைவதால் அதன் முதன்மை வீச்சு,

குறிப்பு
k−ன் பல்வேறு மதிப்புகளைப் பொருத்து நமக்கு பல்வேறு மாறுபட்ட துருவ வடிவங்கள் கிடைக்கும்.
(ii) 1 + i√3

எடுத்துக்காட்டு 2.24
z = −2 / (1 + i√3) எனில் முதன்மை வீச்சு Arg z −ஐ காண்க.
தீர்வு

இதிலிருந்து 2π/3 என்பது arg z −ன் மதிப்புகளில் ஒன்று. 2π/3 ஆனது − π மற்றும் π −க்கு இடையில் அமைவதால் முதன்மை வீச்சு Arg z = 2π/3 ஆகும்.
துருவ வடிவின் பண்புகள் (Properties of polar form)
பண்பு 1
z = r(cos θ + isin θ) , எனில் z−1 = 1/r (cos θ – isin θ) ஆகும்.
தீர்வு

பண்பு 2
z1 = r1 (cos θ1 + isin θ1) மற்றும் z2 = r2 (cos θ2 + isin θ2) எனில், z1z2 = r1r2 (cos (θ1 + θ2) + isin (θ1 + θ2))
தீர்வு

z1 = r1 (cos θ1 + isin θ1) மற்றும்
z2 = r2 (cos θ2 + isin θ2)
⇒ z1z2 = r1 (cos θ1 + isin θ1) r2 (cos θ2 + isin θ2)
= r1r2((cos θ1 cos θ2 − sin θ1 sin θ2) + i (sin θ1 cos θ2 + sin θ2 cos θ1))
z1z2 = r1r2(cos (θ1 + θ2) + isin (θ1 + θ2)).
குறிப்பு
arg(z1z2) = θ1 + θ2 = arg(z1) + arg(z2)
பண்பு 3
z1 = r1 (cos θ1 + isin θ1) மற்றும் z2 = r2 (cos θ2 + isin θ2) எனில், z1/z2 = r1/r2 [cos (θ1 − θ2) + isin (θ1 − θ2)]
தீர்வு

z1 மற்றும் z2 வின் துருவ வடிவங்களைப் பயன்படுத்த

குறிப்பு
arg(z1/z2) = θ1 − θ2 = arg(z1) − arg(z2)
எடுத்துக்காட்டு 2.25
என்ற பெருக்கத்தின் மதிப்பினை செவ்வக வடிவில் காண்க.
தீர்வு

இது செவ்வக வடிவில் உள்ளது.
எடுத்துக்காட்டு 2.26
என்ற வகுத்தலின் மதிப்பினை செவ்வக வடிவில் காண்க.
தீர்வு

இது செவ்வக வடிவில் உள்ளது.
எடுத்துக்காட்டு 2.27
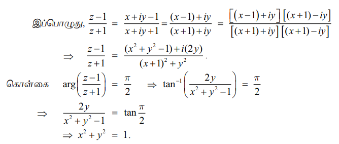
z = x + iy மற்றும் arg[(z −1)/(z + 1)] = π/2 எனில், x2 + y2 = 1 எனக்காட்டுக.
தீர்வு

⇒ x2 + y2 = 1