மின்தேக்கியில் சேமிக்கப்படும்
ஆற்றல்
மின்தேக்கியானதுமின் துகள்களை மட்டுமல்ல, மின்னாற்றலையும்
சேமிக்கும் ஒரு கருவியாகும். மின்தேக்கி ஒன்று மின்கலனுடன் இணைக்கப்டும் போது - Q மின்னூட்ட
அளவுடைய எலக்ட்ரான்கள் அதன் ஒரு தட்டிலிருந்து இன்னொன்றுக்கு இடம்பெயர்கின்றன. இந்த
மின்துகள் இடப்பெயர்வுக்கு தேவைப்படும் வேலையை மின்கலன் செய்கிறது. செய்யப்பட்ட இவ்வேலையே
மின்தேக்கியில் நிலை மின்னழுத்த ஆற்றலாகச் சேமித்து வைக்கப்படுகிறது.
V மின்னழுத்த வேறுபாட்டில் dQ அளவு
(infinitesimal) மின்னூட்டம் கொண்ட மின் துகள்களை நகர்த்த செய்யப்படும் வேலை
மின்தேக்கியை மின்னேற்றம் (charge) செய்யத்
தேவைப்படும் மொத்த வேலை

இந்த வேலை நிலை மின்னழுத்த ஆற்றலாக (UE)
மின்தேக்கியில் சேமிக்கப்படுகிறது

இவ்வாறு சேமிக்கப்பட்ட ஆற்றலானது மின்தேக்குத்திறனுக்கும்தட்டுகளுக்கு
இடையேயான மின்னழுத்த வேறுபாட்டின் இருமடிக்கும் நேர்த்தகவில் இருக்கின்றது. சேமிக்கப்படும்
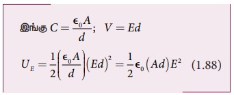
இவ்வாற்றல் எங்கே உள்ளது? இதை அறிய சமன்பாடு (1.87) பின்வருமாறு மாற்றி எழுதலாம்.

இங்கு Ad = மின்தேக்கியின் தட்டுகளுக்கிடையே
உள்ள பகுதியின் பருமன். இந்த இடைவெளிப்பகுதியின் ஓரலகு பருமனில் சேமிக்கப்பட்டுள்ள
ஆற்றலை, நிலை மின்னழுத்த ஆற்றல் அடர்த்தி (uE) என வரையறுக்கலாம்.
எனவே
சமன்பாடு (1.88) ஐப் பிரதியிட

இதிலிருந்து, மின்தேக்கியின் தட்டுகளுக் கிடையே
உள்ள இடைவெளியில் நிலவும் மின்புலத்தில்தான் ஆற்றல் சேமிக்கப்படுகிறது என்பதை அறிந்து
கொள்ளலாம். மின்தேக்கியை மின்னிறக்கம் (discharge) செய்யும்போது ஆற்றல் திரும்பப் பெறப்படுகிறது.
ஆற்றல் அடர்த்தியானது மின்புலத்தைச் சார்ந்து
மட்டுமே உள்ளது என்பதையும் தட்டுகளின் அளவைப் பொறுத்து அது அமைவது இல்லை என்பதையும்
கவனிக்கவும். மேலும், சமன்பாடு (1.89) எவ்வகை மின்துகள் நிலையமைப்புக்கும் பொருந்தக்கூடிய
ஒன்றாகும்.