மின்கடத்திகள் மற்றும் மின்கடத்தா மின்னியல் - நிலைமின் தூண்டல் | 12th Physics : UNIT 1 : Electrostatics
நிலைமின் தூண்டல்
தகுந்த பொருள் ஒன்றினால் இன்னொன்றை உரசுவதால்
மின்னேற்றம் செய்ய முடியும் என்பதை பகுதி 1.1 ல் பார்த்தோம். இவ்வாறாகமின்னூட்டம் பெற்ற
பொருளை இன்னொரு கடத்தியால் தொடும்போது, மின்துகள்கள் கடத்தியை அடைகின்றன. ஆனால் தொடுதல்
இன்றியே கடத்தியொன்றை மின்னேற்றம் பெறச் செய்ய முடியுமா? முடியும். தொடுதல் இன்றியே
ஒரு பொருளை மின்னேற்றம் பெறச் செய்யும் நிகழ்வு நிலைமின் தூண்டல் எனப்படும்.
(i) மின்கடத்தாத் தாங்கி ஒன்றின் மீது வைக்கப்பட்டுள்ள
மின்னூட்டமற்ற (மின் நடுநிலையான) கோள வடிவக் கடத்திப் பொருள் ஒன்றைக் கருதுவோம். எதிர்
மின்னூட்டம் பெற்ற தண்டு ஒன்று கோளத்தின் அருகில், அதைத் தொடாதவாறு, கொண்டு வரப்படுகிறது
[படம் 1.47 (அ)]

தண்டிலுள்ள எதிர்மின்துகள் கடத்தியிலுள்ள எலக்ட்ரான்களை
எதிர்ப்பக்கத்தை நோக்கி விரட்டுகிறது. இதன் விளைவாக, மின்னூட்டம் பெற்ற தண்டு இருக்கும்
பக்கத்தில் நேர் மின்துகள்களும் அதற்கு எதிர்ப்பக்கத்தில் எதிர் மின்துகள்களும் தூண்டப்படுகின்றன.
மின்னூட்டம் பெற்ற தண்டினைக் கொண்டு வருமுன், கடத்தியின் (கோளத்தின்) பரப்பு முழுவதும் கட்டுறா எலக்ட்ரான்கள் சீராகப் பரவியிருந்தன; மேலும் அதன் நிகர மின்னூட்டம் சுழியாக இருந்தது. ஆனால், தண்டினை கடத்தியினருகில் கொண்டு சென்றவுடன் எலக்ட்ரான்கள் தண்டிற்கு சேய்மைப் பக்கத்திலும் நேர் மின் துகள்கள் அண்மைப் பக்கத்திலுமாக அமைந்து, மின்துகள்களின் பரவல் சீரற்றதாகிறது. இருப்பினும், நிகர மின்னூட்டம் சுழியே.
(ii) இப்போது கோளக் கடத்தியை ஒரு மின்கடத்துக்
கம்பியின் மூலம் தரைக்கு இணைப்பு கொடுக்கப்படுகிறது. இதற்கு தரையிணைப்பு
(Grounding) என்று பெயர். எவ்வளவு எலக்ட்ரான்களை வேண்டுமானாலும் தரையால் (புவியால்)
ஏற்றுக்கொள்ள முடியுமாதலால் கோளகக் கடத்தியிலுள்ள எலக்ட்ரான்கள் தரையிணைப்பினால் தரைக்குள்
சென்றுவிடுகின்றன. ஆனால் கோளத்தில் உள்ள நேர்மின்துகள்கள் தண்டிலுள்ள எதிர் மின்துகள்களின்
கவர்ச்சி விசைக்கு உட்பட்டுள்ளதால், இந்த நேர்மின்துகள்கள் தரைக்கு பாய இயலாது [படம்
1.47 (ஆ)].
(iii) இப்போது தரையிணைப்புக் கம்பியினை எடுத்து
விட, கோளத்திலுள்ள நேர் மின் துகள்கள் மின்னூட்டம் பெற்ற தண்டிற்கு அருகிலேயே உள்ளன.
[படம் 1.47 (இ)].
(iv) மின்னூட்டம் பெற்ற தண்டினை இப்போது கடத்தியிடமிருந்து
அப்புறப்படுத்தி விடவும். அவ்வாறு அதனை நீக்கியவுடன் நேர் மின் துகள்கள் கடத்தியின்
பரப்பில் சீராகப் பரவுகின்றன. [படம் 1.47(ஈ)] இத்தகைய செயல்முறையின் மூலமாக மின்நடுநிலைத்
தன்மை கொண்ட ஒரு கோள வடிவக் கடத்தி நேர் மின்னூட்டம் பெற்றதாக மாறுகிறது.
ஒரு குறிப்பிட்ட வடிவம் என்றிலாமல் சீரற்ற
வடிவம் கொண்ட கடத்திக்கு, இச்செயல்முறையில் இடையிலமைந்த படிகளும் முடிவும் ஒன்றாக இருப்பினும்
கடைசி படி வேறுபட்டு இருக்கும். அதாவது, நேர் மின்துகளின் பரவல் சீராக இராது. இது ஏன்?
இதற்கான காரணம் பகுதி 1.9 -ல் விவாதிக்கப்பட்டுள்ளது.
எடுத்துக்காட்டு
1.19
படத்தில் கொடுத்துள்ளவாறு +q மின்னூட்ட மதிப்பும்
m நிறையும் கொண்ட மின்கடத்து பொருளாலான சிறிய பந்து ஒன்று கிடைமட்டத்திற்கு θகோணத்தில்
v0என்ற தொடக்க திசைவேகத்துடன் மேல்நோக்கி எறியப்படுகிறது. g மதிப்புடைய
ஈர்ப்புப் புலத்தின் திசையிலேயே, சீரான மதிப்புடைய E என்ற மின்புலம் அங்கு செயல்படுகிறது
எனில் மின்னோட்டம் பெற்ற அப்பந்தின் கிடைத்தள நெடுக்கம், பெரும உயரம் மற்றும் பறக்கும்
நேரம் ஆகியவற்றைக் கணக்கிடுக. காற்றினால் ஏற்படும் விளைவைப் புறக்கணிக்க; மேலும் பந்தை
ஒரு புள்ளி நிறையாகக் கருதுக.
தீர்வு
கடத்தியின் நிகர மின்னூட்டம் சுழியெனில் அதன்
இயக்கம், நாம் இயக்கவியல் (+1 இயற்பியல், தொகுதி – I, அலகு -2) அறிந்த m நிறை கொண்ட
ஒரு எறிபொருளின் இயக்கத்தை ஒத்ததே. ஆனால் இந்தக் கணக்கில் கீழ்நோக்கிய திசையில் செயல்படும்
ஈர்ப்பு விசையுடன் சேர்ந்து சீரான நிலைமின் விசையையும் அப்பந்து உணர்கிறது.
ஈர்ப்பு விசையினால் அப்பந்திற்கு அளிக்கப்படும்
முடுக்கம் = -g
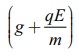
சீரான மின்புலத்தினால் அப்பந்திற்கு அளிக்கப்படும்
முடுக்கம் = -q E/mJ^
மின்னூட்டம் பெற்ற பந்து கீழ்நோக்கிய திசையில்
அடையும் மொத்த முடுக்கம் 
இங்கே பந்தின் முடுக்கம் அதன் நிறையைச் சார்ந்துள்ளதைக்
கவனிக்கவும். அனைத்து பொருள்களும் புவியை நோக்கி ஒரே முடுக்கத்துடன் வீழ்கின்றன என்ற
கலிலியோவின் கூற்று சீரான ஈர்ப்புப் புலத்திற்கு மட்டுமே பொருந்தும். சீரான மின்புலத்தை
சேர்க்கும்போது மின்னூட்டம் பெற்ற பொருளின் முடுக்கம் அதன் நிறையையும் மின்னூட்டத்தையும்
சார்ந்து இருக்கின்றது.
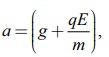
இருப்பினும் அதன் முடுக்கமானது, 
இயக்கம் முழுவதிலும் சீராகவே இருக்கும். எனவே
இயக்கவியல் சமன்பாடுகளைப் பயன்படுத்திகிடைத்தள நெடுக்கம், பெரும உயரம் மற்றும் பறக்கும்
நேரம் ஆகியவற்றைக் கணக்கிடலாம். எறிபொருளுக்கான அளவுகளின் சமன்பாடுகளில் g க்கு பதிலாக
என்று பிரதியிட்டுமேற்கூறிய மூன்று அளவுகளையும் தருவிக்கலாம்.

பறக்கும் நேரம், பெரும உயரம், நெடுக்கம் ஆகிய
இம்மூன்றுமே பொருளின் முடுக்கத்திற்கு எதிர்த்தகவில் உள்ளதை கவனிக்கவும். மேலும்,
(g + qE/m) > g ஆகையால், T,hmax ’R இம்மூன்றுஅளவுகளுமே மின்னூட்டமற்ற நிலையில் உள்ள அளவுகளை விடக் குறைந்த மதிப்பைப் பெற்றிருக்கும். மின்னூட்டமானது -q எனில்,
(g - qE/m) < g. ஆகையால் இம்மூன்றுமே அதிகமதிப்பு
பெற்றிருக்கும். இருப்பினும் பொருளின் பாதை இன்னமும் பரவளையமாகவே உள்ளது. [காண்க படம்]
