நிலை மின்னழுத்தமும் மின்னழுத்த ஆற்றலும்
இயக்கவியலில் ஆற்றல் மாற்றா விசைகளினால் உருவாகும் நிலை ஆற்றல் வரையறுக்கப்படுகிறது. ஈர்ப்பு விசை ஒரு ஆற்றல் மாற்றா விசை என்பதால் ஈர்ப்பு நிலை ஆற்றல் வரையறுக்கப்பட்டது (+1 இயற்பியல், அலகு 6) நினைவிருக்கலாம். கூலூம் விசை ஓர் எதிர்த்தகவு - இருமடி - விதி யின் படி செயல்படும் விசையாதலால் ஈர்ப்பு விசையைப் போல அதுவும் ஒரு ஆற்றல் மாற்றா விசையே எனவே மின் துகள்களால் ஆன கட்டமைப்புகளுக்கு நாம் நிலை ஆற்றலை (மின்னழுத்த ஆற்றலை) வரையறை செய்ய முடியும்.
தன்னைச்சுற்றி மின்புலம்
ஐ உருவாக்கும்,
ஆதிப்புள்ளியில் வைக்கப்பட்டுள்ள நேர் மின்துகள் q ஐக் கருதுவோம். அதற்கும் சோதனை மின்துகள்
q' க்கும் இடையே நிலவும் விலக்கு விசைக்கு எதிராக புள்ளி R லிருந்து புள்ளி P க்கு
q' எடுத்து வரப்படுகிறது. (படம் 1.20). இப்படி எடுத்து வருவதற்கு இவ்விலக்கு விசைக்கு
எதிராக வேலை செய்யப்பட வேண்டும். இந்த வேலையே நிலை ஆற்றலாக (மின்னழுத்த ஆற்றலாக) சேமிக்கப்படுகிறது.
உங்களுக்குத் தெரியுமா?
மின் இருமுனையின் மீது செயல்படும் திருப்பு விசை என்ற தத்துவத்தின்
அடிப்படையில் நுண்ணலை அடுப்பு (microwave oven) செயல்படுகிறது. நாம் உண்ணும் உணவில்
உள்ளநீர் மூலக்கூறுகள் நிலைத்த மின் இருமுனைகள் என்பதை அறிவோம். இவ்வடுப்பு உருவாக்கும்
நுண்ணலைகள், அலைவுறும் மின்காந்தப் புலங்களே ஆகும். ஆதலால் அவை நீர்மூலக்கூறுகளின்
மீது திருப்பு விசையை செயல்படுத்துகின்றன. நீர் மூலக்கூறு ஒவ்வொன்றின் மீதும் திருப்பு
விசை செயல்படுவதால் அவை மிக வேகமாக சுழற்றப்படுகின்றன. அதிலிருந்து வெப்ப ஆற்றல் உருவாக்கப்படுகிறது.
இவ்வாறு உருவாகும் வெப்பத்தினால் உணவு சூடாக்கப்படுகிறது.


சோதனை மின்துகள் q' ஆனது புள்ளி R லிருந்து
புள்ளி P க்கு சீரான திசைவேகத்தில் நகர்த்தப்பட வேண்டும் என்றால் அதன்மீது செயல்படும்
புற விசையானது கூலும் விசைக்கு சமமாகவும் அதற்கு எதிர்த்திசையிலும் செலுத்தப்பட வேண்டும்.
எனவே செய்யப்பட்ட வேலை

கூலூம் விசை ஒரு ஆற்றல் மாற்றா விசை என்பதால்,
செய்யப்படும் வேலையானது நகர்த்தப்பட்ட பாதையைச் சார்ந்திராமல் சோதனை மின்துகளின் தொடக்க
மற்றும் இறுதி நிலைகளையே சார்ந்து இருக்கும். புள்ளி P இல் மின்துகள் q' ன் நிலைமின்னழுத்த
ஆற்றல் Up எனவும், புள்ளி R ல் அதை UR எனவும் வைக்கவும். எனில்
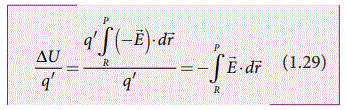
மின்னழுத்த ஆற்றலின் வேறுபாடானது புள்ளி R லிருந்து புள்ளி P க்கு சோதனைமின்துகளை நகர்த்தச்
செய்யப்படும் வேலைக்குச் சமம். அதாவது

ஓரலகு மின்னூட்டத்திற்கான நிலைமின்னழுத்த ஆற்றல்
வேறுபாடு

இச்சமன்பாடு (1.29) q'ஐச் சார்ந்ததல்ல. இந்த
இயற்பியல் அளவு 
மற்றும் Rக்கு இடையேயான மின்னழுத்த வேறுபாடு
என்று அழைக்கப்படுகிறது; மேலும் இதை VP - VR = ΔV என்று
குறிப்போம். இதைப் பின்வருமாறும் நாம் வரையறுக்கலாம். புள்ளி R லிருந்து புள்ளி P க்கு
ஓரலகு நேர் மின்னூட்டம் கொண்ட மின்துகள் ஒன்றை எடுத்து வர, புறவிசையினால் செய்யப்படும்
வேலை என்றும் மின்னழுத்த வேறுபாடு வரையறுக்கப்படுகிறது.

நிலை மின்னழுத்த ஆற்றல் வேறுபாட்டைப் பின்வருமாறு
எழுதலாம். ΔU=
q'ΔV. இரு
புள்ளிகளுக்கு இடையேயான மின்னழுத்த வேறுபாடு என்பதே பயன்படக்கூடிய ஓர் அளவீடாகும்.
மாறாக, ஒரு புள்ளிக்கான மின்னழுத்த மதிப்பு என்பது அர்த்தம் இல்லாதது. எனவே புள்ளி
R ஐ முடிவிலாத் தொலைவில் உள்ளதாகவும் அதன் மின்னழுத்த மதிப்பை சுழி எனவும் கொள்வோம்
(V∞ =0)
எனில்,
ஒரு புள்ளியில் (P) மின்னழுத்தம் என்பது புற
மின்புலம் (
) செயல்படும் பகுதியில் முடிவிலாத் தொலைவிலிருந்து அப்புள்ளிக்கு
(P) ஓரலகு நேர் மின்னூட்டம் கொண்ட மின் துகளை சீரான திசைவேகத்துடன் கொண்டு வர புற விசை
ஒன்றினால் செய்யப்படும் வேலைக்கு சமமாகும். கணித வடிவில் இதையே
என்று எழுதலாம்.
1. ஒரு புள்ளியில் உள்ள மின்னழுத்தமானது மூல
மின்துகள் q வினால் உருவாகும் மின்புலத்தை மட்டுமே சார்ந்தது. அம்மின்புலம் சோதனை மின்துகளால்
(q’) உருவாவது அன்று. முடிவிலாத் தொலைவிலிருந்து புள்ளி Pக்கு ஓரலகு மின்னூட்டம் கொண்ட
நேர் மின்துகளை சீரான திசைவேகத்துடன் கொண்டு வர வேண்டும். ஏனெனில், அதைச் செய்யும்
புற விசையினால் அந்த சோதனை மின்துகளுக்கு எவ்வித இயக்க ஆற்றலும் அளிக்கப்படக் கூடாது.
2. மின்னழுத்தத்தின் அலகு, சமன்பாடு
(1.29) படி, ஜுல் கூலூம் (JC-1). எனினும் அதன் நடைமுறை அலகு வோல்ட்
(V); இது மின்கலனை முதன் முதலில் உருவாக்கிய அலசாண்ட்ரோ வோல்டா (1745-1827) என்பாரின்
நினைவால் சூட்டப்பட்ட அலகாகும். இரு புள்ளிகளுக்கு இடையேயான மின்னழுத்த வேறுபாடானது
மின்னழுத்த அளவினால் (Voltage) குறிப்பிடப்படுகிறது.
குறிப்பு
(மின்னூட்டம் பெற்ற) பொருள்களின் இயக்கத்தை விளக்குவதற்கு புலம்
என்கிற கருத்தாக்கத்தைப் பயன்படுத்துவதைவிட மின்னழுத்தம் அல்லது மின்னழுத்த ஆற்றல்
என்கிற கருத்தாக்கத்தைப் பயன்படுத்துவது எளிமையானது.