இயற்பியல் - மின்காந்த அலைகள்: நெடுவினாக்கள் | 12th Physics : UNIT 5 : Electromagnetic Waves
III. நெடுவினாக்கள்
1. மேக்ஸ்வெல் சமன்பாடுகளை தொகை நுண்கணித வடிவில் எழுதுக.
மின்னியக்கவியலை, மேக்ஸ்வெல்லின் சமன்பாடுகள் என்று அழைக்கப்படும் நான்கு அடிப்படைச் சமன்பாடுகளாக சுருக்கிவிடலாம்.
• முதல் சமன்பாடு வேறு எந்த சமன்பாடுமல்ல அது காஸ்விதி மட்டுமே. இது நிகர மின்புலபாயத்தை, மூடப்பட்ட பரப்பிலுள்ள நிகர மின்னூட்டத்தோடு தொடர்பு படுத்துகிறது.

• இரண்டாவது சமன்பாட்டிற்கு பெயர் ஏதும் இல்லை. ஆனால் இது நிலைமின்னியலின் காஸ்விதியை ஒத்துள்ளது. எனவே இவ்விதியை காந்தவியலின் காஸ்விதி என்று அழைக்கலாம். இவ்விதியின்படி, ஒரு மூடப்பட்ட பரப்பிலுள்ள காந்தப்புலத்தின் பரப்பு தொகையீட்டு மதிப்பு சுழியாகும்.
கணிதவியல் சமன்பாட்டின் படி

• மூன்றாவது சமன்பாடு பாரடேயின் மின்காந்தத் தூண்டல் விதியாகும்.

இங்கு
என்பது மின்புலமாகும்.
ஒரு மூடப்பட்ட பாதையைச் சுற்றியுள்ள மின்புலத்தின் கோட்டுவழித் தொகையீட்டு மதிப்பு, மூடப்பட்ட பாதையால் சூழப்பட்ட பரப்பு வழியே செல்லும் காந்தப்பாயத்தின் நேரத்தைப் பொறுத்த மாற்றத்திற்குச் சமம்.
• நான்காவது சமன்பாடு ஆம்பியர் சுற்றுவிதியின் மாற்றியமைக்கப்பட்ட வடிவமாகும். இதனை ஆம்பியர் − மேக்ஸ்வெல் விதி என்றும் அழைக்கலாம்.

இங்கு
என்பது காந்தப்புலமாகும். இவ்விதி கடத்து மின்னோட்டம் இரண்டுமே காந்தப்புலத்தை உருவாக்கும் என காட்டுகிறது. இந்த நான்கு சமன்பாடுகள் மின்னியக்கவியலின் மேக்ஸ்வெல் சமன்பாடுகள் என அழைக்கப்படுகின்றன.
2. சிறு குறிப்பு வரைக.
(அ) மைக்ரோ அலை
(ஆ) X− கதிர்
(இ) ரேடியோ அலைகள்
(ஈ) கண்ணுறு நிறமாலை
அ) மைக்ரோ அலைகள் (Micro waves):
• மின்சுற்றில் உள்ள மின்காந்த அலையியற்றிகளினால் மைக்ரோ அலைகள் உருவாக்கப்படுகின்றன.
• இதன் அலை நீள நெடுக்கம் 1×10−3 m இல் இருந்து 3×10−1m வரை காணப்படும்.
• மேலும் இதன் அதிர்வெண் நெடுக்கம் 3 × 1011Hz முதல் 1×109 Hz வரை இருக்கும்.
• இவ்வகை அலைகள் எதிரொளிப்பு மற்றும் தளவிளைவிற்கு உட்படுகின்றன.
• இது ரேடார் கருவிகளில் மைக்ரோ அலை சமையல்கலனில் நீண்டதூர கம்பியில்லா செய்தித்தொடர்பிற்கு இது பயன்படுகிறது.
ஆ) X−கதிர்கள் (X−rays):
• உயர் அணு எண் கொண்ட தனிமத்தினால் வேகமாகச் செல்லும் எலக்ட்ரானை திடீரென எதிர்முடுக்கமடையச் செய்யும்போது (தடுக்கும் போது) X−கதிர்கள் கிடைக்கின்றன.
• இதன் அலைநீள நெடுக்கம் 10−13 m லிருந்து 10−8 m வரை காணப்படும்.
• மேலும் அதிர்வெண் நெடுக்கம் 3 × 1021 Hz முதல் 1 × 1016 Hz வரை காணப்படும்.
• அணுவின் உட்புற எலக்ட்ரான் கூடுகளின் அமைப்பை ஆராயவும், படிக அமைப்பை ஆராயவும் எலும்பு முறிவைக் கண்டறியவும், சிறுநீரகக் கற்களின் உருவாக்கத்தை கண்டறியவும் இது பயன்படுகிறது.
இ) ரேடியோ அலைகள் (Radio waves):
• மின்சுற்றில் உள்ள அலையியற்றிகளினால் ரேடியோ அலைகள் உருவாக்கப்படுகின்றன.
• இதன் அலைநீள நெடுக்கம் 1 × 10−1m இல் இருந்து 1 × 104m வரை காணப்படும்.
• அதிர்வெண் நெடுக்கம் 3× 109 Hz முதல் 3 × 104 Hz இருக்கும். இவ்வகை அலைகள் எதிரொளிப்பு மற்றும் விளிம்பு விளைவிற்கு உட்படுகின்றன.
• வானொலி மற்றும் தொலைக்காட்சி செய்தித்தொடர்பு அமைப்பில் பயன்படுகிறது.
• மீஉயர் அதிர்வெண் பட்டைகளில் செயல்படும் கைப்பேசிகளில் குரல் தகவல் தொடர்பிலும் ரேடியோ அலைகள் பயன்படுகின்றன.
ஈ) கண்ணுறு நிறமாலை (Visible spectrum):
• வெந்தழல் நிலையில் உள்ள பொருட்களிலிருந்து கண்ணுறு ஒளி கிடைக்கிறது. மேலும் வாயுக்களில் உள்ள கிளர்ச்சியுற்ற அணுக்களும் கண்ணுறு ஒளியை உமிழ்கின்றன.
• இதன் அலை நீள நெடுக்கம் 4 × 10−7 m லிருந்து 7 × 10−7 m வரை காணப்படும்.
• மேலும் இதன் அதிர்வெண் நெடுக்கம் 7 × 1014 Hz முதல் 4 × 1014 Hz வரை காணப்படும்.
• மேலும் புகைப்படம் எடுப்பதிலும் பயன்படுகின்றது.
3. ஹெர்ட்ஸ் ஆய்வை விளக்கவும்.
• மேக்ஸ்வெல்லின் கணிப்பு, ஆராய்ச்சி பூர்வமாக 1888 இல் ஹென்ரிக் ருடால்ப் ஹெர்ட்ஸ் என்ற அறிவியல் மேதையால் நிரூபிக்கப்பட்டது.
அமைப்பு:
• இக்கருவியில் சிறிய உலோக கோளங்களால் செய்யப்பட்ட இரண்டு உலோக மின்வாய்கள் அமைக்கப்பட்டுள்ளன.
• இவை பெரிய கோளங்களுடன் இணைக்கப்பட்டுள்ளன.
• மின்வாய்களின் மறுமுனைகள் மிக அதிக சுற்றுகளையுடைய தூண்டு சுருளுடன் இணைக்கப்பட்டுள்ளன.
செயல்பாடு:
• இவ்வமைப்பு மிக அதிக மின்னியக்கு விசையை (emf) உருவாக்கும்.
• கம்பிச்சுருள் மிக உயர்ந்த மின்னழுத்தத்தைப் பெற்றுள்ளதால் மின்வாய்களுக்கு இடையே உள்ள காற்று அயனியாகி தீப்பொறி ஏற்படுகின்றது.
• மின்வாய்களுக்கிடையே உள்ள சிறிய இடைவெளியிலும் தீப்பொறி ஏற்படுகிறது.
• மின்வாயிலிருந்து ஆற்றல் ஏற்கும் முனைக்கு ஆற்றல், அலை வடிவில் கடத்தப்படுகின்றது.
• இந்த அலையே மின்காந்த அலையாகும். ஏற்கும் முனையை 90° சுழற்றினால் ஏற்கும் முனை தீப்பொறி எதையும் பெறாது. இது மேக்ஸ்வெல் கணிப்புப்படி மின்காந்த அலைகள் குறுக்கலைகள்தான் என்பதை உறுதிப்படுத்துகிறது.
• ஹெர்ட்ஸ் இந்த ஆய்விலிருந்து ரேடியோ அலைகளை உருவாக்கினார். மேலும் இவை ஒளியின் வேகத்திற்கு சமமான வேகத்தில் (3 × 108 ms−1) செல்வதை உறுதிப்படுத்தினார்.
4. ஆம்பியரின் சுற்று விதியில் மேக்ஸ்வெல் செய்த மாற்றத்தை விளக்கவும்.
• ஆம்பியரின் சுற்று விதி


• மின்தேக்கியின் தகடுகளுக்கிடையேயான மின்புலப் பாயத்தை காஸ்விதியிலிருந்து பெறலாம்.

• இங்கு A என்பது மின்தேக்கித் தகடுகளின் பரப்பு. மின்புல பாயத்தில் ஏற்படும் மாற்றம்.

• இங்கு Id என்பது இடப்பெயர்ச்சி மின்னோட்டம். இடப்பெயர்ச்சி மின்னோட்டத்தை நேரத்தைப் பொறுத்து மின்புலம் மற்றும் மின்புலபாயம் எப்பகுதிகளில் மாற்றமடைகிறதோ அப்பகுதிகளிலெல்லாம் இடம்பெயறக் கூடிய மின்னோட்டமே, இடப்பெயர்ச்சி மின்னோட்டமாகும்.
• வேறு வகையில் கூறுவோமாயின், எப்பொழுதெல்லாம் மின்புலத்தில் மாற்றம் ஏற்படுகிறதோ அப்பகுதிகளில் இடப்பெயர்ச்சி மின்னோட்டம் உருவாகிறது.
• ஆம்பியரின் விதியை மேக்ஸ்வெல் பின்வருமாறு மாற்றியமைத்தார்.

• மொத்த மின்னோட்டமானது கடத்து மின்னோட்டம் மற்றும் இடப்பெயர்ச்சி மின்னோட்டத்தின் கூடுதலுக்குச் சமம்.
5. மேக்ஸ்வெல் செய்த திருத்தத்தின் முக்கியத்துவத்தை விளக்குக.
மேக்ஸ்வெல் திருத்தத்தின் முக்கியத்துவத்ம்:
• சூரியனிலிருந்தும் பிற விண்மீன்களிலிருந்தும் கதிர்வீச்சுகளை பூமி பெறுகிறது.
• மின்துகளோ மின்னோட்டமோ ஏதுமற்ற வெற்றிட வெளியினூடே இக்கதிர்வீச்சுகள் பரவுகின்றன.
• ஆம்பியர் விதிப்படி மின்னோட்டத்தினால் மட்டுமே காந்தப்புலத்தை உருவாக்க முடியும். இவ்விதி மட்டுமே மெய்யாக இருக்குமேயானால், எந்தக் கதிர்வீச்சுமே உருவாக இயலாது.
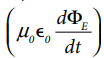
• நேரத்தைப் பொறுத்து மாறுபடும் மின்புலம் அல்லது இடப்பெயர்ச்சி மின்னோட்டமும் கூட காந்தப்புலத்தை உருவாக்கும் என்பதை ஆம்பியர் விதியில் மேக்ஸ்வெல் செய்த திருத்தமான
என்ற பதம் உறுதி செய்கிறது.
• வெற்றிடமாகவுள்ள வெளியில் கடத்து மின்னோட்டம் சுழியாக இருப்பினும், இடப்பெயர்ச்சி மின்னோட்டம் இருக்கிறது. எனவே,

6. மின்காந்த அலைகளின் பண்புகளைக் கூறுக.
மின்காந்த அலைகளின் பண்புகள்:
• முடுக்கிவிடப்பட்ட மின்துகள்கள் (accelerated charges) மின்காந்த அலைகளை உருவாக்குகின்றன.
• மின்காந்த அலைகள் பரவுவதற்கு எவ்விதமான ஊடகமும் தேவையில்லை. எனவே, மின்காந்த அலை இயந்திர அலையல்ல .
• மின்காந்த அலைகள் குறுக்கலைப் பண்புடையவை. அதாவது அலைவுறும் மின்புல வெக்டர். அலைவுறும் காந்தப்புல வெக்டர் மற்றும் பரவு வெக்டர் ஆகிய மூன்று வெக்டர்களும் ஒன்றுக்கொன்று செங்குத்து என்பதை இது காட்டுகிறது.
• வெற்றிடத்தில் ஒளி செல்லும் வேத்திற்கு சமமான வேகத்தில் மின்காந்த அலைகள் செல்கின்றன.

• வெற்றிடத்தில் மின்காந்த அலையின் வேகத்தைவிட, விடுதிறன் ε மற்றும் உட்புகுதிறன் μ கொண்ட ஊடகத்தில் மின்காந்த அலையின் வேகம் குறைவாகும்.
μ = c / v 
• மின்காந்த அலைகள் பின்புலம் மற்றும் காந்தப்புலத்தால் விலகல் அடையாது.
• மின்காந்த அலைகள் குறுக்கீட்டு விளைவு, விளிம்பு விளைவு தளவிளைவிற்கும் உட்படும்.
• மின்காந்த அலையின் ஆற்றல் அடர்த்தி

• மின்காந்த அலையின் சராசரி ஆற்றல் அடர்த்தி,

• மற்ற அலைகளைப் போன்றே மின்காந்த அலைகளும் ஆற்றல் மற்றும் உந்தத்தை சுமந்து செல்கின்றன.
• உலோகப்பரப்பின் மீது விழும் மின்காந்த அலை முழுவதும் உலோகப் பரப்பினால் உட்கவரப்பட்டால் செலுத்தப்பட்ட ஆற்றலானது (U) பரப்பின் மீது செலுத்திய உந்தம் p = U / C
• படுகின்ற மின்காந்த அலையின் ஆற்றல் (U) முழுவதும் பரப்பினால் எதிரொளிக்கப்பட்டால், பரப்பிற்கு அளிக்கப்பட்ட உந்தம்

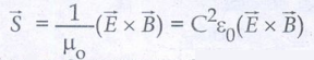
• ஓரலகு பரப்பு வழியே ஓரலகு நேரத்தில் பாய்ந்து செல்லும் மின்காந்த அலையின் பாயின்டிங் வெக்டர் (Poynting vector) எனப்படும்.

• மின்காந்த அலையானது ஆற்றல் மற்றும் உந்தத்தை மட்டுமல்லாமல் கோண உந்தத்தையும் சுமந்து செல்கிறது.
7. மின்காந்த அலைகளின் மூலங்களைப் பற்றி விளக்கவும்.

விளக்கம்:
• ஓய்வில் உள்ள எந்த ஒரு மின்துகளும், மின்புலத்தை மட்டுமே உருவாக்கும்.
• எந்த ஒரு அலைவு இயக்கமும், முடுக்கப்பட்ட இயக்கமாகும்.
• வெற்றிடத்தில் மின்காந்த அலைபரவும் திசை x−அச்சு எனவும், அதன் மின்புல வெக்டரின் திசை y−அச்சு எனவும் கொண்டால் காந்தப்புல வெக்டரின் திசை, அலைபரவும் திசை மற்றும் மின்புல வெக்டரின் திசை இவ்விரண்டுத் திசைகளுக்கும் செங்குத்தான திசையில் செயல்படும்.
அதாவது EY = E0 sin (kz − ɷt),
BX = B0 sin (kz − ɷt),
• இங்கு E0 மற்றும் B0 என்பவை முறையே அலைவுறும் மின்புலம் மற்றும் காந்தப்புலங்களின் வீச்சுகள் (amplitude) ஆகும்.
• வெற்றிடத்தில் E0 மற்றும் B0 இன் விகிதம் மின்காந்த அலையின் வேகத்திற்குச் சமமாகும். அதாவது ஒளியின் வேகத்திற்குச் C சமமாகும்.
v = E0 / B0
• எந்த ஒரு ஊடகத்திலும் E0 மற்றும் B0 இன் விகிதம் அந்த ஊடகத்தில் பரவும் மின்காந்த அலையின் வேகத்திற்கு (V) சமமாகும்.
• ஊடகத்தில் ஒளியின் வேகமானது வெற்றிடத்தில் ஒளியின் வேகத்தை விட குறைவாகும். கணிதவியல் முறையில்
v = E0/B0 < C

• மேலும் மின்காந்த அலையின் ஆற்றல், அலைவுறும் மின்துகள்களின் ஆற்றலிலிருந்து கிடைக்கிறது.
8. வெளியிடு நிறமாலையின் வகைகளை விளக்கவும்.
வெளியிடு நிறமாலைகள் (Emission Spectra):
• சுயஒளிர்வு கொண்ட மூலத்திலிருந்து பெறப்படும் நிறமாலை சுய ஒளிர்வு கொண்ட வெளியிடு நிறமாலையாகும்.
• ஒவ்வொரு ஒளிமூலமும் தனிச்சிறப்பான வெளியிடு நிறமாலையை பெற்றுள்ளது. வெளியிடு நிறமாலையை மூன்று வகைகளாகப் பிரிக்கலாம்.

தொடர் வெளியிடு நிறமாலை அல்லது தொடர் நிறமாலை (Continuous Emission Spectra):
• ஒளிரும் விளக்கு (மின்னிழை விளக்கு) ஒன்றிலிருந்து வரும் ஒளியை முப்பட்டகத்தின் வழியே செலுத்தும்போது (எளிய நிறமாலைமானி) அது ஏழு வண்ணங்களாகப் பிரிகை அடையும்.
• எடுத்துக்காட்டுகள்: கார்பன் வில் விளக்கிலிருந்து பெறப்படும் நிறமாலை.
• ஒளிரும் திட, திரவப்பொருட்கள் போன்றவையும் தொடர் நிறமாலைகளைக் கொடுக்கும்.

வரி வெளியிடு நிறமாலை அல்லது வரிநிறமாலை (Line Emission Spectra):
• உயர் வெப்பநிலையிலுள்ள வாயுவை முப்பட்டகத்தின் வழியே செலுத்தும் போது வரி நிறமாலை பெறப்படுகிறது.
• வரையறுக்கப்பட்ட அலைநீளங்கள் அல்லது அதிர்வெண்களைக் கொண்ட கூர்மையான வரிகளை இந்நிறமாலை பெற்றிருக்கிறது.
• இவ்வகை நிறமாலைகளை கிளர்ச்சியுள்ள அணுக்கள் அல்லது அயனிகள் வெளியிடும். ஒவ்வொரு வரியும் தனிமங்களின் தனித்துவமான பண்புகளை பிரதிபலிக்கின்றன.
• எடுத்துக்காட்டுகள்: அணுநிலையிலுள்ள ஹைட்ரஜன், ஹீலியம் போன்றவை.
பட்டை வெளியிடு நிறமாலை அல்லது பட்டை நிறமாலை (Band Emission Spectra):
• பட்டை நிறமாலையில் அதிக எண்ணிக்கையிலமைந்த, மிகவும் நெருக்கமான நிறமாலை வரிகள் ஒன்றின் மீது மற்றொன்று மேற்பொருந்தி குறிப்பிட்ட பட்டைகளை உருவாக்குகிறது.
• இப்பட்டைகள் கருமையான இடைவெளிகளினால் பிரிக்கப்பட்டுள்ளன. இவ்வகை நிறமாலைகளே பட்டை நிறமாலைகள் ஆகும்.
• இந்நிறமாலையில், பட்டையின் ஒரு புறம் கூர்மையாகவும், மறுபுறம் செல்லச்செல்ல மங்கலாகவும் காணப்படும்.
• கிளர்ச்சி நிலையிலுள்ள மூலக்கூறுகள் பட்டை நிறமாலைகளை வெளியிடுகின்றன.
• மூலக்கூறுகளின் தனித்துவமான பண்புகளை பட்டை நிறமாலைகள் பிரதிபலிக்கின்றன.
• எனவே மூலக்கூறுகளின் கட்டமைப்பை பட்டை நிறமாலையைக் கொண்டு அறியலாம்.
• எடுத்துக்காட்டுகள்: மின்னிறக்கக் குழாயில் உள்ள ஹைட்ரஜன் வாயு, அமோனியா வாயு போன்றவை பட்டை நிறமாலைகளை உமிழ்கின்றன.
9. உட்கவர் நிறமாலையின் வகைகளை விளக்கவும்.
உட்கவர் நிறமாலை (Absorption Spectra):
• ஒரு உட்கவர் பொருள் அல்லது ஊடகத்தின் வழியே ஒளியை செலுத்தி, அதிலிருந்து பெறப்படும் நிறமாலையே உட்கவர் நிறமாலையாகும்.
தொடர் உட்கவர் நிறமாலை (Continuous absorption spectrum):
• ஊடகத்தின் வழியே ஒளியை செலுத்தி, அதன்பின் அந்த ஒளியை முப்பட்டகத்தின் வழியே செலுத்தினால் ஒளி நிறப்பிரிகை அடையும். இதிலிருந்து தொடர் உட்கவர் நிறமாலையைப் பெறலாம்.
• உதாரணமாக நீலநிறக் கண்ணாடி வழியே வெள்ளை ஒளியை செலுத்தினால், நீல நிறத்தைத்தவிர மற்ற அனைத்து நிறங்களையும் அக்கண்ணாடி உட்கவர்ந்து கொள்ளும். இது தொடர் உட்கவர் நிறமாலைக்கு ஓர் சிறந்த எடுத்துக்காட்டாகும்.
வரி உட்கவர் நிறமாலை (Line absorption spectrum):
• ஒளிரும் மின்னிழை விளக்கிலிருந்து வரும் ஒளியை, குளிர்நிலையிலுள்ள வாயுவின் வழியே (ஊடகம்) செலுத்தியபின், முப்பட்டகத்தின் நிறப்பிரிகையினால் பெறப்பட்ட நிறமாலை வரி உட்கவர் நிறமாலையாகும்.

பட்டை உட்கவர் நிறமாலை (Band absorption spectrum):
• வெள்ளை ஒளியை அயோடின் வாயுத்துகள்கள் வழியே செலுத்திய பின் கிடைக்கும் நிறமாலையில், பிரகாசமான தொடர் வெண்மை நிற பிண்ணனியில் கரும்பட்டைகள் காணப்படும். இக்கரும்பட்டைகள் பட்டை உட்கவர் நிறமாலையாகும்.