இயற்பியல் - மின்காந்த அலைகள்: சரியான விடையை தேர்ந்தெடுத்து எழுதுக, சிறு வினாக்கள் | 12th Physics : UNIT 5 : Electromagnetic Waves
அலகு − 5
மின்காந்த அலைகள்
I. சரியான விடையை தேர்ந்தெடுத்து எழுதுக
1. 1 / μoεo இன் பரிமாணம்
(a) [LT−1]
(b) [L2 T−2]
(c) [L−1T]
(d) [L−2 T2]
விடை: b) [L2 T−2]

2. மின்காந்த அலை ஒன்றின் காந்தப்புலத்தின் எண் மதிப்பு 3 × 10−6 T எனில், அதன் மின்புலத்தின் மதிப்பு என்ன?
(a) 100 V m−1
(b) 300 V m−1
(c) 600 V m−1
(d) 900 V m−1
விடை: (d) 900 V m−1
தீர்வு:
C = E0 / B0; E0 = C × B0
= 3 × 108 × 3 × 10−6 = 900 V m−1
3. எந்த மின்காந்த அலையைப் பயன்படுத்தி மூடுபனியின் வழியே பொருட்களைக் காண இயலும்
(a) மைக்ரோ அலை
(b) காமாக்கதிர்வீச்சு
(c) X− கதிர்கள்
(d) அகச்சிவப்புக்கதிர்கள்
விடை: (d) அகச்சிவப்புக் கதிர்கள்
4. மின்காந்த அலைகளைப் பொறுத்து பின்வருவனவற்றுள் எவை தவறான கூற்றுகளாகும்?
(a) குறுக்கலை
(b) இயந்திர அலைகள் அல்ல
(c) நெட்டலை
(d) முடுக்கப்பட்ட மின்துகள்களினால் உருவாக்கப்படுகின்றன
விடை: (c) நெட்டலை
5. அலையியற்றி ஒன்றைக் கருதுக. அதில் உள்ள மின்னூட்டப்பட்டத் துகளொன்று அதன் சராசரிப்புள்ளியைப் பொறுத்து 300 MHz அதிர்வெண்ணில் அலைவுறுகிறது எனில், அலையியற்றியால் உருவாக்கப்பட மின்காந்த அலையின் அலைநீளத்தின் மதிப்பு
(a) 1 m
(b) 10 m
(c) 100 m
(d) 1000 m
விடை: (a) 1 m

6. மின்புலம் மற்றும் காந்தப்புலத்தோடு இணைந்த மின்காந்த அலையொன்று எதிர்க்குறி x அச்சுத்திசையில் பரவுகிறது. பின்வருவனவற்றுள் எச்சமன்பாட்டைப் பயன்படுத்தி அந்த மின்காந்த அலையினை குறிப்பிடலாம்.

விடை: 

7. வெற்றிடத்தில் பரவும் மின்காந்த அலை ஒன்றின் மின்புலத்தின் சராசரி இருமடிமூல மதிப்பு (rms) 3Vm−1 எனில் காந்தப்புலத்தின் உச்சமதிப்பு என்ன?
(a) 1.414 × 10−8 T
(b) 1.0 × 10−8T
(c) 2.828 × 10−8T
(d) 2.0 × 10−8T
விடை: (a) 1.414 × 10−8 T
தீர்வு:
E0 = Erms × √2 = 3√2 V m−1
B0 = E0 / C = 3√2 / (3 × 108 ) = √2 × 10−8
= 1.414 × 10−8 T
8.
என்ற திசைவேகத்துடன் மின்காந்த அலை ஒரு ஊடகத்தில் பரவுகின்றது. இவ்வலையின் மாறுதிசை மின்புலம் +y அச்சின் திசையில் இருந்தால், அதன் மாறுதிசை காந்தப்புலம் _____________ இருக்கும்.
(a) − y திசையில்
(b) − x திசையில்
(c) + z திசையில்
(d) − z திசையில்
விடை: (c) + z திசையில்
9. காந்த ஒரு முனை (magnetic monopole) ஒன்று தோன்றுகிறது எனக் கருதினால், பின்வரும் மேக்ஸ்வெல் சமன்பாடுகளில் எச்சமன்பாட்டை மாற்றியமைக்க வேண்டும்?

விடை:

10. பிரான்ஹோபர் வரிகள் எவ்வகை நிறமாலைக்கு எடுத்துக்காட்டு?
(a) வரி வெளியிடு
(b) வரி உட்கவர்
(c) பட்டை வெளியிடு
(d) பட்டை உட்கவர்
விடை: (b) வரி உட்கவர்
11. பின்வருவனவற்றுள் எது மின்காந்த அலையாகும்?
(a) α − கதிர்கள்
(b) β − கதிர்கள்
(c) ϒ − கதிர்கள்
(d) இவை அனைத்தும்
விடை: (c) ϒ − கதிர்கள்
12. பின்வருவனவற்றுள் எது மின்காந்த அலையை உருவாக்கப் பயன்படுகிறது?
(a) முடுக்குவிக்கப்பட்ட மின்துகள்
(b) சீரான திசைவேகத்தில் இயங்கும் மின்துகள்
(c) ஓய்வுநிலையிலுள்ள மின்துகள்
(d) மின்னூட்டமற்ற ஒரு துகள்
விடை: (a) முடுக்குவிக்கப்பட்ட மின்துகள்
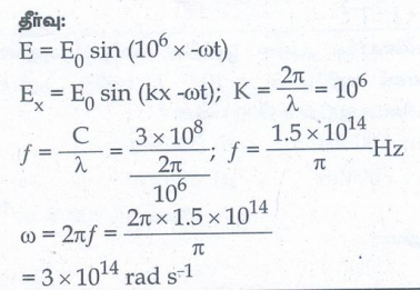
13. ஒரு சமதள மின்காந்த அலையின் மின்புலம் E = Eo sin [106x − ω t] எனில் ω வின் மதிப்பு என்ன ?
(a) 0.3 × 10−14 rad s−1
(b) 3 × 10−14 rad s−1
(c) 0.3 × 1014 rad s−1
(d) 3 × 1014 rad s−1
விடை: (d) 3 × 1014 rad s−1

14. பின்வருவனவற்றுள் மின்காந்த அலையைப் பொறுத்து தவறான கூற்றுகள் எவை?
(a) இது ஆற்றலைக் கடத்துகிறது
(b) இது உந்தத்தைக் கடத்துகிறது
(c) இது கோண உந்தத்தைக் கடத்துகிறது
(d) வெற்றிடத்தில் அதன் அதிர்வெண்ணைப் பொறுத்து வெவ்வேறு வேகங்களில் பரவுகிறது.
விடை: (d) வெற்றிடத்தில் அதன் அதிர்வெண்ணைப் பொறுத்து வெவ்வேறு வேகங்களில் பரவுகிறது.
15. மின்காந்த அலையின் மின்புலம் மற்றும் காந்தப்புலங்கள்
(a) ஒரே கட்டத்தில் உள்ளன. மேலும் ஒன்றுக்கொன்று செங்குத்து
(b) ஒரே கட்டத்தில் இல்லை. மேலும் ஒன்றுக்கொன்று செங்குத்து இல்லை
(c) ஒரே கட்டத்தில் உள்ளன. மேலும் ஒன்றுக்கொன்று செங்குத்து இல்லை
(d) ஒரே கட்டத்தில் இல்லை. மேலும் ஒன்றுக்கொன்று செங்குத்து
விடை: (a) ஒரே கட்டத்தில் உள்ளன. மேலும் ஒன்றுக்கொன்று செங்குத்து
II. சிறு வினாக்கள்
1. இடப்பெயர்ச்சி மின்னோட்டம் என்றால் என்ன?
நேரத்தைப் பொறுத்து எங்கெல்லாம் மின்புலமும், மின்புலபாயமும் மாற்றமடைகிறதோ அங்கெல்லாம் இடம்பெறுகின்ற மின்னோட்டமே இடப்பெயர்ச்சி மின்னோட்டமாகும்.
2. மின்காந்த அலைகள் என்றால் என்ன?
• இயந்திர அலைகளிலிருந்து மாறுபட்ட அலைகளாகும்.
• இவை வெற்றிடத்தில் ஒளியின் வேகத்திற்ககுச் சமமான வேகத்தில் செல்கின்றன. இது ஒரு குறுக்கலையாகும்.
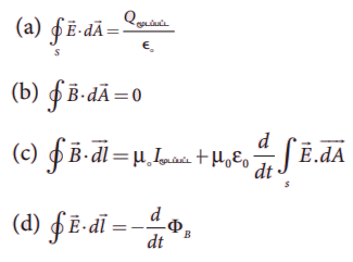
3. சீரமைக்கப்பட்ட ஆம்பியரின் சுற்று விதியின் தொகையீட்டு வடிவத்தை எழுதுக.
மேக்ஸ்வெல்லினால் சீரமைக்கப்பட்ட ஆம்பியரின் சுற்று விதி

4. காந்தவியலின் காஸ் விதியைப் பற்றி குறிப்பு வரைக.
• ஒரு மூடப்பட்ட பரப்பிலுள்ள காந்தப்புலத்தின் பரப்பு தொகையீட்டு மதிப்பு சூழியாகும். கணிதவியல் சமன்பாட்டின்படி
• 
(காந்தவியலின் காஸ்விதி) இங்கு
என்பது காந்தப்புலத்தை குறிக்கிறது.
5. பின்வருவனவற்றின் பயன்பாடுகளைக் கூறுக:
(i) அகச்சிகப்பு கதிர்கள்,
(ii) மைக்ரோ அலைகள் மற்றும்
(iii) புற ஊதாக் கதிர்கள்
i) அகச்சிவப்பு கதிர்கள்:
• சூரிய மின் கலன் வடிவில் செயற்கைக் கோளுக்கு ஆற்றலை அளிக்கிறது
• உலர் பழங்களை உருகாக்க
• பசுமை இல்லங்களில் வெப்பக் காப்பானாக
• தசையில் ஏற்படும் வலியினை சரிசெய்ய
• தொலைக்காட்சி பெட்டியின் தொலைக்கட்டுப்பாட்டு உணர்வியலில்
• இரவு நேரங்களில் புகைப்படம் எடுக்க
ii) மைக்ரோ அலைகள்:
• ரேடார் கருவிகளில் விமானங்களை வழி நடத்த
• சமையல் கலனில்
• நீண்ட தூர கம்பியில்லா செய்தி தொடர்பில்
iii) புற ஊதாக் கதிர்கள்:
• பாக்டீரியாக்களை கொல்வதற்கும்
• அறுவை சிகிச்சை கருவிகளிலிருந்து நோய்க்கிருமிகளை நீக்குவதற்கு
• திருடர் அறிவிப்பு மணியில்
• மூலக்கூறு அமைப்பை அறிய
• மறைந்துள்ள எழுத்துக்களை கண்டுணரவும்
• விரல் ரேகையை கண்டறியவும்
6. பிரான்ஹோபர் வரிகள் என்றால் என்ன? சூரியனிலுள்ள தனிமங்களைக் கண்டறிவதில் அவை எவ்வாறு உதவுகின்றன?
சூரியனிடமிருந்து கிடைக்கும் நிறமாலையை பகுத்து ஆராயும்போது, அதில் அதிக எண்ணிக்கையில் கருங்கோடுகள் (வரி உட்கவர் நிறமாலை) காணப்படும். சூரிய நிறமாலையில் காணப்படும் இக்கருங்கோடுகளுக்கு ஃபிரான்ஹோபர் வரிகள் என்று பெயர்.
• பல்வேறு பொருட்களின் உட்கவர் நிறமாலைகளை சூரிய நிறமாலையில் உள்ள பிரானாஃபர் வரிகளுடன் ஒப்பிட்டு சூரிய வளிமண்டலத்தில் காணப்படும் தனிமங்களை கண்டறியலாம்.
7. ஆம்பியர் − மேக்ஸ்வெல் விதியைப் பற்றி குறிப்பு வரைக.
• குறிப்பிட்ட ஒரு பகுதியில் நேரத்தைப் பொறுத்து மின்புலம் (அல்லது மின்பாயம்) மாற்றமடையும்போது அதனால் உருவாகும் மின்னோட்டமே இடப்பெயர்ச்சி மின்னோட்டம் எனப்படும்.
• அதாவது எப்போதெல்லாம் மின்புலத்தில் மாற்றம் நிகழ்கிறதோ அங்கு இடப்பெயர்ச்சி மின்னோட்டம் உருவாகின்றது.
• ஆம்பியர் விதியை மேக்ஸ்வெல் பின்வரும் வகையில் மாற்றம் செய்தார்.

இங்கு பரப்பினால் சூழப்படட்ட மொத்த மின்னோட்டமானது கடத்து மின்னோட்டம் மற்றும் இடப்பெயர்ச்சி மின்னோட்டம் ஆகியவற்றின் கூடுதல் ஆகும். அதாவது i = ic + id ஆம்பியர்−மேக்ஸ்வெல் விதி எனப்படும்.
8. மின்காந்த அலைகள் ஏன் இயந்திர அலைகள் அல்ல?
மின்காந்த அலைகள் பரவுவதற்கு எவ்விதமான ஊடகமும் தேவையில்லை. எனவே, மின்காந்த அலைகள் இயந்திர அலைகள் அல்ல.