புள்ளி மின்துகள்களாலான அமைப்பின் மின்புலம்
புறவெளியில் (space) பல புள்ளி மின் துகள்கள்
பரவியுள்ள அமைப்பு ஒன்றைக் கருதுவோம். இந்தப் புள்ளி மின்துகள்களின் அமைப்பினால் ஒரு
புள்ளியில் உருவாகும் மொத்த மின்புலத்தைக் கணக்கிடுவதற்கு மேற்பொருந்துதல் தத்துவத்தைப்
பயன்படுத்துகிறோம். இவ்வமைப்பில் ஏதேனும் ஒரு புள்ளியில் காணப்படும் தொகுபயன் மின்புலமானது
ஒவ்வொரு மின்துக்களும் அப்புள்ளியில் உருவாக்கும் மின்புலங்களின் வெக்டர் கூடுதலுக்குச்
சமம். இதுவே மின்புலங்களின் மேற்பொருந்துதல் எனப்படும்.
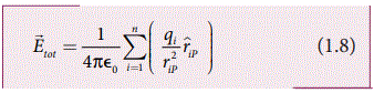
வெளிப்பரப்பில் பல்வேறு புள்ளிகளில் அமைந்துள்ள
q1, q2, q3……….qn ஆகிய புள்ளி மின்துகள்களின்
அமைப்பைக் கருதுவோம். இவ்வனைத்து மின் துகள்களாலும் ஏதோவொரு புள்ளி (P) யில் உருவாகும்
மொத்த மின்புலம்

இங்கு q1, q2, q3……….qnஆகியமின்துகள்களுக்கும்
புள்ளி P க்கும் இடையேயுள்ள தொலைவுகளை முறையே r1p, r2p, r3p……….rnpஎன்க.
மேலும் r^1p, r^2p, r^3p……….r^np ஆகியன முறையே q1, q2, q3……….qnமின்துகள்களில்
இருந்து அப்புள்ளிக்கு வரையப்பட்ட ஓரலகு வெக்டர்களாகும். சமன்பாடு (1.7) ஐப் பின்வருமாறு
எழுதலாம்

எடுத்துக்காட்டாக q1, q2,
q3 ஆகிய மூன்று புள்ளி மின் துகள்களால் ஒரு புள்ளி P யில் உருவாகும் தொகுபயன்
மின்புலம் படம் (1.8) இல் காட்டப்பட்டுள்ளது.
குறிப்பிட்ட புள்ளி (P) யிலிருந்து மின்துகளின்
சார்புத் தொலைவுகளைப் (relative distances) பொறுத்தேமின்புல வெக்டர்களின் சார்பு நீளங்களும்
(relative length) உள்ளதைக் கவனிக்கவும்.

எடுத்துக்காட்டு
1.7
படத்தில் கொடுக்கப்பட்டுள்ள புள்ளி மின்துகள்
அமைப்பைக் கருதவும். புள்ளி A ல் உருவாகும் மின்புலத்தைக் கணக்கிடுக. அப்புள்ளியில்
எலக்ட்ரான் ஒன்று வைக்கப்பட்டால், அது அடையும் முடுக்கம் எவ்வளவு? (எலக்ட்ரானின் நிறை
= 9.1 X 10-31 kg, எலக்ட்ரானின் மின்னூட்டம் = -1.6X 10-19C)

தீர்வு
மேற்பொருந்துதல் தத்துவத்தின் படி, புள்ளி
A ல் நிகர மின்புலம்

இங்கு r1A மற்றும் r2A,
ஆகியன புள்ளி A க்கும் துகள்களுக்கும் இடையேயுள்ள தொலைவுகள்

மின்புலத்தின் எண்மதிப்பு

இதுவே OA ன் திசையில் அமைந்த ஓரலகு வெக்டராகும்
(பார்க்க படம்)

புள்ளி A ல் வைக்கப்படும் எலக்ட்ரான் அடையும்
முடுக்கம்

மின்புலம்
ன் திசைக்கு நேரெதிர்
திசையில் எலக்ட்ரான் முடுக்கமடைகிறது.