மின்னோட்டம்
பருப்பொருள் என்பது அணுக்களால் ஆனது. ஒவ்வொரு அணுவிலும் நேர்மின்னூட்டம் (Positive charge) பெற்ற உட்கருவும் (Nucleus) அதனை சுற்றி எதிர்மின்னூட்டம் பெற்ற எலக்ட்ரான்களும் உள்ளன. மேலும் உலோகங்களில் உள்ள அணுக்களில் ஒன்று அல்லது அதற்கு மேற்பட்ட கட்டுறா எலக்ட்ரான்கள் (free electrons - உட்கருவுடன் தளர்வாக பிணைக்கப்பட்ட எலக்ட்ரான்கள்) உள்ளன. இந்த கட்டுறா எலக்ட்ரான்களை அணுவிலிருந்து எளிதில் பிரித்தெடுக்கலாம் (நீக்கலாம்). கட்டுறா எலக்ட்ரான்களை அதிகம் கொண்டுள்ள பொருட்களை கடத்திகள் (conductors) என்கிறோம். சாதாரண வெப்பநிலைகளில் கட்டுறா எலக்ட்ரான்கள் கடத்தி முழுவதும் எல்லா திசைகளிலும் சீரற்ற முறையில் இயங்குகின்றன. இந்த சீரற்ற இயக்கத்தின் காரணமாக, கடத்தியின ஒருமுனையிலிருந்து மற்றொரு முனைக்கு எவ்விதமான நிகர மின் துகள்கள் பரிமாற்றமும் இருக்காது; எனவே மின்னோட்டமும் இருக்காது. கடத்தியின் முனைகளுக்கிடையே மின்கலத்தின் உதவியுடன் மின்னழுத்த வேறுபாட்டை ஏற்படுத்தினால், கட்டுறா எலக்ட்ரான்கள் மின்கலத்தின் நேர்மின்வாயை நோக்கி இழுத்துச் செல்லப்படுகின்றன. இதன் மூலம் நிகர மின்னோட்டம் உருவாகிறது. இதனை பின்வரும் படம் 2.1 மூலம் எளிதில் புரிந்து கொள்ளலாம்.

பதினொன்றாம் வகுப்பு இயற்பியல் புத்தகம் தொகுதி
2 அலகு 6ல் நாம் உயர் ஈர்ப்பு அழுத்தத்திலிருந்து தாழ் ஈர்ப்பு அழுத்தத்திற்கு நிறைகள்
செல்வதைப்பற்றி பயின்றோம். இதேபோல் நேர்மின் துகள்கள் அதிக மின்னழுத்தத்திலிருந்து
குறைந்த மின்னழுத்தத்திற்கும், எதிர்மின் துகள்கள் குறைந்த மின்னழுத்தத்திலிருந்து
அதிக மின்னழுத்ததிற்கும் செல்கின்றன. எனவே மின்கலத் தொகுப்பு அல்லது மின்கலம் என்பது
கடத்தியின் முனைகளுக்கிடையே மின்னழுத்த வேறுபாட்டை உருவாக்குவதே.
ஒரு கடத்தியில் மின்னோட்டம் என்பது கொடுக்கப்பட்ட
குறுக்கு வெட்டு பரப்பு A வழியாக மின்துகள்கள் பாயும் வீதம் ஆகும். இது படம் 2.2 ல்
காட்டப்பட்டுள்ளது.

t என்ற நேரத்தில் ஒரு கடத்தியின் ஏதேனும் ஒரு
குறுக்குவெட்டுப்பரப்பு வழியாக பாயும் மின்துகள்களின் நிகர மின்னூட்டம் Q எனில், அக்கடத்தியில்
பாயும் மின்னோட்டம் என்பது I = Q/t ஆகும். எனினும் ஒரு கடத்தியில் மின் துகள்களின்
ஓட்டம் எப்போதும் மாறிலியாக இருப்பதில்லை. எனவே பொதுவாக மின்னோட்டத்தை பின்வருமாறு
வரையறை செய்யலாம்.

இங்கு ΔQ என்பது
Δt எனும்
நேர இடைவெளியில் கடத்தியின் ஏதேனும் ஒரு குறுக்கு வெட்டுப்பரப்பு வழியாக பாயும் மின்
துகள்களின் மின்னூட்ட அளவு ஆகும். நேரத்தைப்பொறுத்துமின்துகள்களின் பாய்வு மாறினால்,
மின்னோட்டமும் நேரத்தைப்பொருத்து மாற்றமடையும். எனவே மின்னோட்டம் என்பது சராசரி மின்னோட்டத்தின்
எல்லை மதிப்பு ஆகும். (Δt→0) எனில்

மின்னோட்டத்தின் SI அலகு ஆம்பியர் (A) ஆகும்.

ஒரு கூலும் மின்னூட்டம் கொண்ட மின்துகள்கள்
ஒரு வினாடி நேரத்தில் செங்குத்தான குறுக்குவெட்டுப்பரப்பைக் கடந்தால் ஏற்படும் மின்னோட்டமே
ஒரு ஆம்பியர் மின்னோட்டம் ஆகும். மின்னோட்டம் என்பது ஸ்கேலர் அளவாகும்.
எடுத்துக்காட்டு
2.1
ஒரு தாமிரக் கம்பியில் 1 நிமிடத்திற்கு
120C மின்னூட்டம் கொண்ட மின் துகள்கள் பாய்ந்தால், கம்பி வழியே செல்லும் மின்னோட்டத்தின்
மதிப்பை காண்க.
தீர்வு
கம்பியில் மின்னோட்டம் [மின்துகள்களின் பாயும்
வீதம்]


ஒரு மின்சுற்றில் மின்னோட்டம் பாயும் திசையை
சுட்டிக்காட்ட அம்புக்குறிகள் பயன்படுத்தப்படுகின்றன. மரபுப்படி, மின்சுற்றில் மின்னோட்டம்
நேர்மின்வாயிலிருந்து எதிர்மின்வாயுக்கு பாயும். இந்த மின்னோட்டமே மரபு மின்னோட்டம்
அல்லது மின்னோட்டம் எனப்படும். இம்மரபு மின்னோட்டத்தின் திசையே சோதனை நேர்மின்துகள்
(Positive test charge) செல்லும் திசையாகும். ஆனால் மின்சுற்றுகளில் உண்மையில் எலக்ட்ரான்களே
எதிர்மின்வாயிலிருந்துநேர்மின்வாய்க்கு பாய்கின்றன. எனவே எலக்ட்ரான்கள் செல்லும் திசையும்,
மரபு மின்னோட்டத்தின் திசையும் எதிர் எதிர்த்திசையில் படம் 2.3 இல்உள்ளவாறு அமைகின்றன.
கணித ரீதியாக பார்த்தால் நேர்மின் துகள்கள் திசையில் செல்வது அதற்குச் சமமான மின்னூட்டம் கொண்ட எதிர்மின் துகள்கள் எதிர்த்திசையில் செல்வதற்குச் சமமாகும்.
உங்களுக்குத்தெரியுமா?

மின்னோட்டமானது மின்கல அடுக்குகளால் மட்டும் உற்பத்தி செய்யப்படுகின்றன
என்பதில்லை. இயற்கையில் ஏற்படும் மின்னல் வெட்டு மிகக்குறுகிய காலத்தில் மிக அதிக மின்னோட்டத்தை
ஏற்படுத்தும். மின்னலின் போது, மேகங்களுக்கும் தரைக்கும் (புவிக்கும்) மிக அதிக அளவு
மின்னழுத்த வேறுபாடு தோன்றுவதால் மேகங்களிலிருந்து தரைக்கோ (புவிக்கு) அல்லது தரையிலிருந்து
மேகத்துக்கோ மின்துகள்கள் பாய்கிறது.
கடத்திகளில் இருக்கும் கட்டுறா எலக்ட்ரான்களே
மின்னூட்டத்தை எடுத்துச்செல்லும் ஊர்திகளாகும். இந்த எலக்ட்ரான்கள் கடத்தி முழுவதும்
எளிதில் இயங்கி தொடர்ந்து நேர்மின் அயனிகள் மீது மோதும். வெளிப்புற மின்புலம்
(External Electric field) இல்லாத நிலையில், எலக்ட்ரான்கள் வெவ்வேறு திசைகளில் செல்கின்றன.
எனவே அவற்றின் திசைவேகங்களும் வெவ்வேறானவை. வெளிப்புற மின்புலம் இல்லாத நிலையில் சராசரியாக
ஏதேனும் ஒரு திசையில் பயணிக்கும் எலக்ட்ரான்களின் எண்ணிக்கையானது அதற்கு எதிர்த்திசையில்
பயணிக்கும் எலக்ட்ரான்களின் எண்ணிக்கைக்கு சமமாக அமையும். எனவே எந்த திசையிலும் எலக்ட்ரான்களின்
நிகர இயக்கம் இருப்பதில்லை. எனவே ஒரு கடத்தியில் வெளிப்புறமின்புலம் இல்லாத நிலையில்
நிகர மின்னோட்டமும் இருக்காது.
கடத்தியின் முனைகளுக்கிடையே மின்கல அடுக்கை
இணைத்து மின்னழுத்த வேறுபாட்டை உருவாக்கினால் கடத்தியினுள் மின்புலம்
உருவாக்கப்படும்.
இந்த மின்புலம் எலக்ட்ரான்களின் மீது விசையை ஏற்படுத்தி, மின்னோட்டத்தைஉருவாக்கும்.
இங்கு மின்புலம் எலக்ட்ரான்களை முடுக்கும் ஆனால் அயனிகள் எலக்ட்ரான்களை சிதறடித்து
எலக்ட்ரான்களின் இயக்க திசையை மாற்றும். எனவே எலக்ட்ரான்களின் பாதை குறுக்கு நெடுக்காக
அமையும். இந்த மோதலின் காரணமாக ஏற்படும் குறுக்கு நெடுக்கு இயக்கத்துடன் கூடுதலாக எலக்ட்ரான்கள்
கடத்தி வழியே
இன் திசைக்கு எதிர்த்திசையில் ஒரு குறிப்பிட்ட திசைவேகத்தில்
மெதுவாகச் செல்லும்.
அயனிகள்
எந்த ஒரு பொருளும் எலக்ட்ரான்கள் மற்றும் புரோட்டான்களை சமமான
எண்ணிக்கையில் கொண்டு நடுநிலைத் தன்மையுடன் அமையும். வெளிக்கட்டில் உள்ள எலக்ட்ரான்கள்
அணுவை விட்டு வெளியேறினால், அது கட்டுறா எலக்ட்ரானாக மாறி மின்னோட்டத்தை ஏற்படுத்தும்.
வெளிவட்ட எலக்ட்ரானை இழந்த அணு அதிக நேர்மின்னூட்டத்தை கொண்டிருக்கும். எனவே அது நேர்மின்
அயனி எனப்படும். இந்த அயனிகள் கட்டுறா எலக்ட்ரான்களை போன்று சுதந்திரமாக இயங்க இயலாது.
இந்தத் திசைவேகம் இழுப்புத் திசைவேகம்
எனப்படும். இதனை படம் 2.4 இல் காணலாம். எனவே இழுப்புத்திசைவேகம் என்பது கடத்தியில்
உள்ள எலக்ட்ரான்களைமின்புலத்திற்கு உட்படுத்தும்போது அவை பெறும் சராசரித்திசைவேகம்
ஆகும். அதேபோல் இரு அடுத்தடுத்த மோதல்களுக்கிடைப்பட்ட சராசரி நேரம் என்பது சராசரி தளர்வு
நேரம்
எனப்படும்.
என்ற மின்புலத்தினால் எலக்ட்ரான் பெறும் முடுக்கம்
எனில்


இழுப்புத் திசைவேகம் ![]()

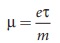
இங்கு
என்பது எலக்ட்ரான்களின் இயக்க எண் ஆகும். இயக்க எண் என்பது ஓரலகு மின்புலத்தினால்
ஏற்படும் இழுப்புத்திசைவேகத்தின் எண்மதிப்பு ஆகும்.

இயக்க எண்ணின் SI அலகு m2 V-1
S-1
குறிப்பு
ஒரு கடத்தியில் இழுப்பு திசைவேகத்தின் பொதுவானமதிப்பு 10-4ms-1ஆகும்.
இந்த மிகச்சிறிய திசைவேகத்தில் எலக்ட்ரான்கள் சென்றால், மின் சுற்றில் உள்ள மின் விளக்கை
அடைய பலமணி நேரம் ஆகும். பிறகெப்படி மின்கலத்தின் ஸ்விட்சை அழுத்தியவுடன் மின் விளக்கு
ஒளிர்கிறது? மின் கலத்தின் ஸ்விட்சு இயக்கப்பட்டவுடன் எலக்ட்ரான்கள் மின்கலத்தின் எதிர்
மின் முனையிலிருந்து விலகி நகர்ந்து அருகிலுள்ள எலக்ட்ரான்கள் மீது விசையை ஏற்படுத்தும்.
இந்நிகழ்வு கடத்தி வழியே ஒளியின் திசைவேகத்தில் செல்லும் மின்புலத்தை உருவாக்கும்.
அதாவது மின்கலத்திலிருந்து ஆற்றலானது மின்விளக்கிற்கு ஒளியின் திசைவேகத்தில் மின்புலத்தின்
மூலம் பரவுகிறது. இதன் காரணமாக ஸ்விட்சை இயக்கியவுடன் மின் விளக்கு ஒளிர்கிறது.
எடுத்துக்காட்டு
2.2
ஒரு தாமிரக்கம்பிக்கு அளிக்கப்படும் மின்புலத்தின்
எண்மதிப்பு 570 NC-1 எனில் எலக்ட்ரான் பெறும் முடுக்கத்தை கண்டுபிடி
தீர்வு:
E = 570 NC-1 , e = 1.6 x 10-19
c,
m = 9.11 x 10-31 kg மற்றும் a
= ?
F = ma = -eE

(i) மின்கலம் எலக்ட்ரான்களை மின்சுற்றுக்கு
அளிக்கிறது என்ற ஒரு கருத்து நிலவுகிறது. இது முற்றிலும் தவறானது. ஒரு மின்கலத்தை கம்பியின்
இரு முனைகளுக்கிடையே இணைக்கும் போது, கம்பியில் உள்ள எலக்ட்ரான்களே மின்னோட்டத்தை உருவாக்கும்.
மின்கலமானது கடத்தும் கம்பியில் மின்னழுத்த வேறுபாட்டை நிறுவி அதன் மூலம் இந்த எலக்ட்ரான்களை
குறிப்பிட்ட திசையில் பாயச் செய்கிறது. இந்த மின்னழுத்த வேறுபாட்டின் மூலம் தோன்றும்
மின் ஆற்றலானது மின்விளக்கு, மின்விசிறி முதலியவற்றில் பயன்படுகிறது. இதேபோல் நமது
வீடுகளில் உள்ள மின்சாதனங்களுக்கு தேவையான மின்னாற்றலைத்தான் மின்சார வாரியம் வழங்குகிறது.
(ii) அலைபேசியை பயன்படுத்தும்போது பின்வரும்
வாக்கியங்களை நாம் அன்றாடம் பயன்படுத்துவோம். அவை "என்னுடைய அலைபேசி மின்கலத்தை
மின்னேற்றம் செய்கிறேன்" (charging the battery in my mobile) மற்றும் என்னுடைய
அலைபேசி மின்கலத்தில் மின் துகள்கள் இல்லை "(my mobile phone battery has no
charge)”. இதுபோன்ற வாக்கியங்கள் தவறானவை.

அலைபேசி மின்கலத்தில் மின்துகள்கள் இல்லை என்று
சொல்வதன் பொருள் “மின்கலமானது ஆற்றலைத் தர இயலவில்லை அல்லது மின்சுற்றில் உள்ள எலக்ட்ரான்களுக்கு
மின்னழுத்த வேறுபாட்டை தர இயலவில்லை” என்பதாகும். மேலும் “அலைபேசி மின்னேற்றம் அடைகிறது"
(mobile is charging) என்பதின் பொருள் அலைபேசியின் மின்கலமானது (Battery) AC மின்னழுத்த
மூலத்திலிருந்து ஆற்றலை மட்டுமே பெறுகிறது எலக்ட்ரான்களை அல்ல என்பதே ஆகும்.
குறுக்கு பரப்பு A கொண்ட கடத்தியில் மின்புலம்
ஆனது வலப்புறத்திலிருந்து இடது புறமாக செயல்படுகிறது என்க. மேலும் ஓரலகு பருமனில்
உள்ள எலக்ட்ரான்களின் எண்ணிக்கை n ஆகும். மேலும் அவை அனைத்தும் சமமான இழுப்புத் திசைவேகம்
கொண்டு இயங்குகின்றன. இதனை படம் 2.5ல் காணலாம்.

எலக்ட்ரான்களின் இழுப்புத்திசைவேகம் = Vd
dt எனும் சிறிய நேர இடைவெளியில் எலக்ட்ரான்கள்
dx தொலைவுக்கு நகர்கிறது எனில்

கடத்தியின் குறுக்குவெட்டுபரப்பு A எனில்,
இப்பருமனில் dx நேரத்தில் உள்ள எலக்ட்ரான்களின் எண்ணிக்கை
= பருமன் X ஓலகு பருமனில் உள்ள எலக்ட்ரான்களின்எண்ணிக்கை

சமன்பாடு (2.7)ல் உள்ள dx மதிப்பை சமன்பாடு
(2.8) ல் பிரதியிட
= (A vd dt ) n
ஒரு மிகச்சிறிய பருமனில் (Volume element)
உள்ள மின் துகள்களின் மொத்த மின்னூட்டம் dQ = (மின்னூட்டம்) X (பருமக் கூறில் உள்ள
எலக்ட்ரான்களின் எண்ணிக்கை)

மின்னோட்ட அடர்த்தி என்பது கடத்தியின் ஓரலகு
குறுக்குவெட்டுப் பரப்பு வழியாக பாயும் மின்னோட்டத்தின் அளவாகும்.

மேற்கண்ட சமன்பாடு என்பது மின்னோட்டத்தின்
திசையானது பரப்பு A விற்கு செங்குத்தாக இருந்தால் மட்டுமே சரியாக அமையும். பொதுவாக,
மின்னோட்ட அடர்த்தி ஒரு வெக்டர் அளவாகும். இதனை பின்வருமாறு குறிப்பிடலாம்.
இதுவரை நாம் எலக்ட்ரான்கள் செல்லும் திசையைக்
கணக்கில் எடுத்துக்கொண்டோம். அதனால்தான் மேலே உள்ள சமன்பாட்டில்
ஆனது
க்கு எதிர்த்திசையில் அமைகிறது. ஆனால் மரபுப்படி, மின்னோட்ட அடர்த்தியின் திசையானது
நேர்மின்துகள் செல்லும் திசையிலேயே (மின்புலத்தின் திசை) அமையும். எனவே மேற்கண்ட சமன்பாடு
பின்வருமாறு எழுதப்படுகிறது.

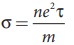
இங்கு
என்பது மின்கடத்து எண்எனப்படும். சமன்பாடு (2.12) ஆனது ஓம் விதியின் நுண் வடிவம்
ஆகும்.
மின்கடத்து எண்ணின் தலைகீழ் மதிப்பு மின்தடை
எண் (p) ஆகும். (இதனை 2.2.1 பகுதியில் பார்க்கலாம்).

எடுத்துக்காட்டு
2.3
0.5mm2 குறுக்குவெட்டுப்பரப்பு கொண்ட தாமிரக்கம்பியில், 0.2 A அளவுள்ள மின்னோட்டம் பாய்கிறது. அத்தாமிரக்கம்பியில் உள்ள கட்டுறா எலக்ட்ரான்களின் அடர்த்தி 8.4 X 1028m-3 எனில் இக்கட்டுறா எலக்ட்ரான்களின் இழுப்புத்திசை வேகத்தை கணக்கிடுக.
தீர்வு
கம்பியின் குறுக்கு பரப்பு A வில் உள்ள மின்னோட்டம்
மற்றும் எலக்ட்ரான்களின் இழுப்புத்திசை வேகம் ஆகியவற்றிற்கு இடையே உள்ள தொடர்பு

குறிப்பு
மின்னோட்ட அடர்த்தி ஒரு வெக்டர் அளவு. ஆனால்
மின்னோட்டம் ஒருஸ்கேலர் அளவு. ஏன்?
பொதுவாக மின்னோட்டம் I என்பது மின்னோட்ட அடர்த்தி
மற்றும் மின்துகள்கள் பாயும் பரப்பு வெக்டர் ஆகியவற்றின் புள்ளிப்பெருக்கம் ஆகும்.

மேற்பரப்பு A வின் செங்குத்து வெக்டரின் திசையைப்
பொறுத்து மின்னோட்டம் I ஆனது நேர்க்குறி அல்லது எதிர்க்குறியைப் பெறும்.

எடுத்துக்காட்டு
2.4
ஒரு கடத்தி வழியே 32 A மின்னோட்டம் பாயும்போது,
ஓரலகு நேரத்தில் கடத்தியில் பாயும் எலக்ட்ரான்களின் எண்ணிக்கையை காண்க.
தீர்வு
I = 32 A , t = 1 S
ஒரு எலக்ட்ரானின் மின்னூட்டம், e = 1.6 X
10-19 C
ஓரலகு நேரத்தில் பாயும் எலக்ட்ரான்களின் எண்ணிக்கை
, n =?
