மின்காந்த அலைகள் - இடப்பெயர்ச்சி மின்னோட்டம் மற்றும் ஆம்பியரின் சுற்று விதியில் மேக்ஸ்வெல் மேற்கொண்ட திருத்தம் | 12th Physics : UNIT 5 : Electromagnetic Waves
இடப்பெயர்ச்சி மின்னோட்டம் மற்றும் ஆம்பியரின் சுற்று விதியில் மேக்ஸ்வெல் மேற்கொண்ட திருத்தம்
தூண்டப்பட்ட காந்தப்புலம்
பாரடேயின்மின்காந்தத்தூண்டல் விதியிலிருந்து காந்தப்புலத்தில்
ஏற்படும் மாற்றம், மின்புலத்தை உருவாக்குகிறது என்று பயின்றோம். கணிதவடிவில் அதனை பின்வருமாறு
எழுதலாம்.

இங்கு ØB என்பது காந்தப்பாயம் மற்றும் d/dt என்பது
நேரத்தைப் பொறுத்து வகைக்கெழு . மின்சுற்றால் மூடப்பட்ட பகுதியில் உள்ள காந்தப்பாயத்தில்
(ØB) மாற்றம் ஏற்படும் போது, மூடப்பட்ட சுற்றின் வழியே மின்புலம்
தூண்டப்படுகிறது என்பதை சமன்பாடு (5.1) நமக்கு உணர்த்துகிறது.
சமச்சீர் இயல்பின் அடிப்படையில், மின்புலத்தில் ஏற்படும் மாற்றம்
காந்தப்புலத்தை உருவாக்கும் என்று ஜேம்ஸ் கிளார்க் மேக்ஸ்வெல் காண்பித்தார். இது பின்வரும்
சமன்பாட்டால் தரப்படுகிறது.

இங்கு ØE என்பது மின்புலபாயமாகும். இதற்கு மேக்ஸ்வெல்லின்
தூண்டல் விதி என்று பெயர். மின்சுற்றால் மூடப்பட்ட பகுதிக்குள் உள்ள மின்புலபாயத்தில்
(ØE) மாற்றம் ஏற்படும்போது, மூடப்பட்ட சுற்று வழியே காந்தப்புலம்
தூண்டப்படுகிறது என்பதை இது விளக்குகிறது. மேலும் ரேடியோ அலைகள், காமா கதிர்கள்,
அகச்சிவப்புக் கதிர்கள் போன்ற மின்காந்த அலைகளின் இருப்பை இந்த மின் மற்றும் காந்தப்புலங்களுக்கு
இடையேயான சமச்சீர் தன்மை விளக்குகிறது.
இடப்பெயர்ச்சி மின்னோட்டம் - மேக்ஸ்வெல்லின் திருத்தம்
மாறுபடும் மின்புலம் எவ்வாறு காந்தப்புலத்தை உருவாக்குகின்றது
என்பதைப் புரிந்து கொள்ள இணைத்தட்டு மின்தேக்கியின் தகடுகளை மின்னேற்றம் செய்யும் நிகழ்வினைக்
கருதுவோம். இணைத்தக்கடுகளுக்கு இடையே மின்கடத்தா ஊடகம் உள்ளதாகக் கருதுக.
கம்பியின் வழியே பாயும் நேரத்தைப் பொறுத்து மாறும் மின்னோட்டத்தை கடத்து மின்னோட்டம் (conduction current) icஎன்க. இந்த கடத்து மின்னோட்டத்தால் மின்தேக்கி மின்னேற்றம் செய்யப்படுகிறது. மின்னோட்டம் தாங்கிய கம்பியைச் சுற்றி உருவாகும் காந்தப்புலத்தைக் கணக்கிட ஆம்பியரின் சுற்று விதியைப் பயன்படுத்தலாம்.

கம்பிக்கு அருகிலும் மின்தேக்கிக்கு வெளியிலுமாக அமைந்துள்ள
புள்ளி Pல் காந்தப்புலத்தைக் கணக்கிட, வட்ட வடிவப் பரப்பு S1 ஐ மூடியவாறு
ஒரு வட்டவடிவ ஆம்பியரின் சுற்று ஒன்றை வரைவோம் (படம் 5.3). இச்சுற்றுக்கு ஆம்பியரின்
விதியைப் பயன்படுத்த,

இங்கு μoஎன்பது
வெற்றிடத்தின் உட்புகுதிறனாகும்.

இப்போது அதே சுற்று பலூன் வடிவம் கொண்ட பரப்பு S2வினால் மூடப்பட்டுள்ளது (படம் 5.4). அதாவது S1 மற்றும் S2 இரண்டு பரப்புகளின் எல்லைகளுமே ஒன்றாக இருந்தாலும், அப்பரப்புகளின் வடிவம் வெவ்வேறாக உள்ளது. ஒரு மூடப்பட்ட சுற்றுக்கு ஆம்பியர் விதியைப் பயன்படுத்தும்போது, அது சூழும் பரப்பினுடைய வடிவத்தைப் பொறுத்து அமையாது என்பதால் இரு தொகையீடுகளும் ஒரே மதிப்பைத் தர வேண்டும். ஆனால் பரப்பு S2க்கு ஆம்பியரின் சுற்று விதியைப் பயன்படுத்தினால்,

ஏனெனில் கடத்து மின்னோட்டத்தைத் தாங்கும் கம்பியை பரப்பு S2
எவ்விடத்திலும் தொடவில்லை; மேலும், மின்தேக்கித் தகடுகளின் இடைவெளியிலும் எந்த மின்னோட்டமும்
இல்லை என்பதால், சமன்பாடு (5.4)ன் வலதுகைப் பக்கம்சுழி மதிப்பை அடைகிறது;. எனவே, புள்ளி
Pல் காந்தப்புலம் சுழியாகும். ஆகையால், சமன்பாடு (5.3) க்கும் (5.4)க்கும் இடையே முரண்பாடு
உள்ளதைக் காணலாம்.
இம்முரண்பாட்டிற்கு மேக்ஸ்வெல் பின்வரும் முறையில் தீர்வு கண்டார்.
மின்னேற்றம் அடைந்து கொண்டிருக்கும் நேரத்தில் மின்தேக்கியின் தகடுகளுக்கிடையே மாறுபடும்
மின்புலம் உருவாகின்றது. இம்மாறுபடும் மின்புலத்தினால் ஒரு மின்னோட்டம் அத்தக்கடுகளுக்கிடையே
பாய வேண்டும். அதாவது நேரத்தைப் பொறுத்து மாறுபடும் மின்புலம் (அல்லது மின்பாயம்) ஒரு
மின்னோட்டத்தை உருவாக்குகிறது. மின்தேக்கியின் தகடுகளுக்கிடையே பாயும் இம்மின்னோட்டம்
இடப்பெயர்ச்சி மின்னோட்டம் (displacement current) என்ற ழைக்கப்படும் (படம் 5.5)

நிலைமின்னியலின் காஸ் விதியைப் பயன்படுத்த, மின்தேக்கியின் தகடுகளுக்கிடையே மின்பாயமானது,

இங்கு A என்பது மின்தேக்கித் தகடுகளின் பரப்பளவு. மின்பாயத்தின்
மாறுபாடு,

இங்கு dq/dt = id என்பது இடப்பெயர்ச்சிமின்னோட்டம்அல்லது மேக்ஸ்வெல்லின் இடப்பெயர்ச்சி மின்னோட்டம் என்றழைக்கப்படும்.
குறிப்பிட்ட ஒரு பகுதியில் நேரத்தைப் பொறுத்து மின்புலம் (அல்லது
மின்பாயம்) மாற்றமடையும் போது, அதனால் உருவாகும் மின்னோட்டமே இடப்பெயர்ச்சி மின்னோட்டம்
என வரையறுக்கப்படுகிறது. அதாவது, எப்போதெல்லாம் மின்புலத்தில் மாற்றம் நிகழ்கிறதோ அங்கு
இடப்பெயர்ச்சி மின்னோட்டம் உருவாகின்றது.
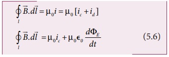
ஆம்பியர் விதியை மேக்ஸ்வெல் பின்வரும் வகையில் மாற்றம் செய்தார்
:

இங்கு பரப்பினால் சூழப்பட்ட மொத்த மின்னோட்டமானது கடத்து மின்னோட்டம் மற்றும் இடப்பெயர்ச்சி மின்னோட்டம் ஆகியவற்றின் கூடுதல் ஆகும். அதாவது, i = ic + idசமன்பாடு (5.6) ஆம்பியர் - மேக்ஸ்வெல் விதி எனப்படுகிறது. மின்சுற்றில் மின்னோட்டம் மாறாமல் உள்ள போது, இடப்பெயர்ச்சி மின்னோட்டம் சுழியாகும்.
மின்தேக்கியின் தகடுகளுக்கிடையே கடத்து மின்னோட்டம் சுழியாகவும்,
இடப்பெயர்ச்சி மின்னோட்டம் சுழியற்றதாகவும் உள்ளது . இந்த இடப்பெயர்ச்சி மின்னோட்டம்
அல்லது நேரத்தைப் பொறுத்து மாறுபடும் மின்புலம் ஆனது இத்தகடுகளுக்கு இடையே ஒரு காந்தப்புலத்தை
உருவாக்குகிறது. படம் (5.6)ல் காட்டியுள்ளவாறு இக்காந்தப்புலம் மின்புலத்தின் திசைக்கு
செங்குத்தாக அமைந்துள்ளது. இக்காந்தப்புலத்தின் மதிப்பை சமன்பாடு (5.6) ஆல் அறியலாம்.

மேக்ஸ்வெல்
திருத்தத்தின் முக்கியத்துவம்
சூரியனிலிருந்தும் பிற விண்மீன்களிலிருந்தும் கதிர்வீச்சுகளை
பூமி பெறுகிறது. மின்துகளோ மின்னோட்டமோ ஏதுமற்ற வெற்றிட வெளியினூடே இக்கதிர்வீச்சுகள்
பரவுகின்றன. ஆம்பியர் விதிப்படி, மின்னோட்டத்தினால் மட்டுமே காந்தப்புலத்தை உருவாக்க
முடியும். இவ்விதி மட்டுமே மெய்யாக இருக்குமேயானால், எந்தக் கதிர்வீச்சுமே உருவாக இயலாது.
நேரத்தைப் பொறுத்து மாறுபடும் மின்புலம் அல்லது இடப்பெயர்ச்சி
மின்னோட்டமும் கூட காந்தப்புலத்தை உருவாக்கும் என்பதை ஆம்பியர் விதியில் மேக்ஸ்வெல்
செய்த திருத்தமான
என்ற பதம் உறுதி செய்கிறது. வெற்றிடமாகவுள்ள புறவெளியில்
கடத்து மின்னோட்டம் சுழியாக இருப்பினும், இடப்பெயர்ச்சி மின்னோட்டம் இருக்கிறது. எனவே,
சமன்பாடு (5.6),

விண்மீன்களிலுள்ள அணுக்களின் வெப்பக் கிளர்வினால், நேரத்தைப் பொறுத்து மாறுபடும் மின்புலம் உருவாகின்றது; இதனால் நேரத்தைப் பொறுத்து மாறுபடும் காந்தப்புலம் உருவாகின்றது. பாரடேயின் விதிப்படி, நேரத்தைப் பொறுத்து மாறுபடும் இக்காந்தப்புலத்தால் நேரத்தைப் பொறுத்து மாறும் மின்புலம் மீண்டும் உருவாக்கப்படுகிறது; (புலங்களை உருவாக்கும்) இந்நிகழ்வுகள் தொடர்ந்து ஏற்படுகின்றன. ஒன்றுக்கொன்று தொடர்புடைய, நேரத்தைப் பொறுத்து மாறுபடும் மின்புலமும் காந்தப்புலமும் வெற்றிட வெளியில் ஒளியின் வேகத்தில் பரவுகின்றன; இதையே மின்காந்த அலை என்பர்.
சமச்சீர் இயல்பின் அடிப்படையில் மட்டுமே மேக்ஸ்வெல் தன் வாதத்தை
வைத்துத் தொடங்கினாலும், அண்டத்தின் ஒரு முக்கிய இயல்பான மின்காந்த அலைகளின் இருப்பை
ஆம்பியர் சமன்பாட்டில் அவர் அளித்த திருத்த பதம் விளக்குகின்றது
குறிப்பு
இடப்பெயர்ச்சி மின்னோட்டம்
மேக்ஸ்வெல்தான்
இடப்பெயர்ச்சிமின்னோட்டம் என்ற சொல்லைத் தேர்வு செய்தார். ஆனால் உண்மையில் இடப்பெயர்ச்சி
மின்னோட்டத்தில் எந்த மின்துகளும் இடப்பெயர்ச்சி அடைவதில்லை. வரலாற்றுக் காரணங்களுக்காக
நாம் அதே பெயரை பயன்படுத்துகிறோம்.
எடுத்துக்காட்டு
5.1
230 VRMS மதிப்பும் 50 Hz அதிர்வெண்ணும் கொண்ட மாறுதிசை மின்னழுத்த
மூலத்துடன் இணைத்தட்டு மின்தேக்கி ஒன்று இணைக்கப்பட்டுள்ளது. மின்தேக்கியின் தட்டுகளுக்கு
இடையேயான தொலைவு 1 mm மற்றும் அவற்றின் பரப்பளவு 20 cm2 எனில் நேரம் t
= 1 S -ல் இடப்பெயர்ச்சி மின்னோட்டத்தின் மதிப்பைக் கணக்கிடுக.
தீர்வு
மின்தேக்கியின் தகடுகளுக்கு இடையே மின்னழுத்த வேறுபாடு,

d = 1 mm = 1 × 10-3m
A = 20 cm2 = 20 × 10-4m2
