எடுத்துக்காட்டு கணக்குகள் - திசைக் கொசைன்கள் மற்றும் திசை விகிதங்கள் (Direction Cosines and Direction Ratios) | 11th Mathematics : UNIT 8 : Vector Algebra I
திசைக் கொசைன்கள் மற்றும் திசை விகிதங்கள் (Direction Cosines and Direction Ratios)
ஆதியில் இருந்து r தொலைவு தூரத்தில் உள்ள புள்ளி P−ன் ஆயத்தொலைகள் (x, y, z) என்க. P−யிலிருந்து x, y மற்றும் z அச்சுகளுக்கு வரையப்படும் செங்குத்துகளின் அடிப்புள்ளிகள் முறையே R, S மற்றும் T என்க.
∠PRO = ∠PSO = ∠PTO = 90°.
OR = x, OS = y, OT = z and OP = r.
(படத்தைப் பார்த்து, ∠PRO = ∠PSO = ∠PTO = 90° எனக் காட்சிப்படுத்துவது சற்றே சிரமம் ஆகும். ஏன் எனில் இவை அச்சுகளில் இருந்து P−க்கு வரையப்படும் செங்குத்துகள். முப்பரிமாண மாதிரியில் இதனை எளிதில் கண்டுணரலாம்)

ஆனது x, y மற்றும் z அச்சுகளின் மிகைத் திசையில் ஏற்படுத்தும் கோணங்கள் α , β, γ எனில்,
∠POR = α , ∠POS = β மற்றும் ∠POT = γ.
∆OPRல் ∠PRO = 90°, ∠POR = α, OR = x மற்றும் OP = r.
எனவே, cos α = OR/OP = x /r
இதுபோலவே நாம் cos β = y /r , cos γ = z /r என காணலாம்.
இங்கு
−ன் திசைக்கோணங்கள் α, β, γ எனவும்,
− ன் திசைக்கொசைன்கள் cosα, cosβ, cosγ எனவும் வரையறுக்கப்படுகிறது. ஆகவே
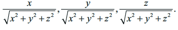
என்ற வெக்டரின் திசைக்கொசைன்கள் (x /r , y /r , z /r), இங்கு r = √x2 + y2 + z2.
திசைக்கொசைன்களுடன் விகித சமத்தில் உள்ள எந்த மூன்று எண்களையும் அந்த வெக்டரின் திசை விகிதங்கள் என்கிறோம். எனவே ஒரு வெக்டரின் திசை விகிதங்கள் ஒருமைத்தன்மை வாய்ந்தது அல்ல. கொடுக்கப்பட்ட ஒரு வெக்டருக்கு எண்ணிலடங்காத் திசைவிகிதங்கள் இருக்கும்.
உற்று நோக்கல்
(i) கொடுக்கப்பட்ட பூஜ்ஜியமற்ற வெக்டருக்கு திசை விகிதங்கள் மற்றும் திசைக் கொசைன்களைக் காணலாம்.
(ii) கொடுக்கப்பட்ட திசை விகிதங்களைக் கொண்டு நம்மால் அந்த வெக்டரை நிர்ணயிக்க இயலாது.
(iii) கொடுக்கப்பட்ட திசைக் கொசைன்களைக் கொண்டு நம்மால் அந்த வெக்டரைக் கண்டறிய இயலாது.
(iv) கொடுக்கப்பட்ட வெக்டருக்கு திசைக்கொசைன்களின் தொகுப்பு திசை விகிதங்களின் ஒரு தொகுப்பாக அமையும்.
(v) ஒரு வெக்டரைக் கண்டறிய, அதன் எண்ணளவு மற்றும் திசைக் கொசைன்களோ அல்லது திசை விகிதங்களோ அவசியமாகும்.
குறிப்பு 8.4
எனும் ஒரு வெக்டரை கருதுக. இதன் தொடக்கப் புள்ளி ஆதி ஆகும். ஒரு வெக்டருக்கு தொடக்கப்புள்ளி ஆதி இல்லை எனில் ஆதியை தொடக்கப்புள்ளியாகக் கொண்டு அதே எண்ணளவிற்கு அந்த வெக்டருக்கு இணையாக வரைக. சம வெக்டர்களுக்கான கோட்பாட்டிலிருந்து இவை இரண்டிற்கும் ஒரே திசை கொசைன்கள் இருக்கும். இவ்வாறாக நாம் எந்த ஒரு வெக்டரின் திசை கொசைனையும் காணலாம்.
முடிவு 8.11

(ii), (iii), (iv), மற்றும் (v)−ன் நிரூபணங்கள் பயிற்சிக்காக விடப்பட்டுள்ளன.
எடுத்துக்காட்டு 8.5
கீழ்க்காணும் வெக்டர்களுக்குத் திசை விகிதங்கள் மற்றும் திசைக் கொசைன்களைக் காண்க.

தீர்வு

எடுத்துக்காட்டு 8.6
(i) 2, 3, –6 என திசை விகிதங்களைக் கொண்ட வெக்டரின் திசைக் கொசைன்களைக் காண்க.
(ii) 30°, 45°, 60° ஆகியவை ஒரு வெக்டருக்கு திசைக் கோணங்களாகுமா?
(iii) A (2, 3, 1) மற்றும் B(3, – 1, 2) எனில்,
−ன் திசைக் கொசைன்களைக் காண்க.
(iv) (2, 3, 1) மற்றும் (3, – 1, 2)−ஐ இணைக்கும் கோட்டின் திசைக் கொசைன்களைக் காண்க.
(v) 2, 3, 6−ஐ திசை விகிதங்களாகவும் எண்ணளவு 5−ம் உடைய வெக்டரைக் காண்க.
தீர்வு
(i) திசைக் கொசைன்கள் 
அதாவது 2/7 , 3/7 , −6 /7
(ii) தேவையான நிபந்தனை cos 2 α + cos 2 β + cos 2 γ = 1
இங்கு α = 30°, β = 45° , γ = 60°
cos 2 α + cos 2 β + cos 2 γ = ¾ + ½ + ¼ ≠ 1
எனவே, இவை எந்த வெக்டருக்கும் திசைக் கொசைன்களாகாது.
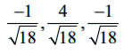
(iii) 
திசைக் கொசைன்கள் 
(iv) A மற்றும் Bஎன்ற புள்ளிகள் (2, 3, 1) மற்றும் (3, – 1, 2) என்க.
−ன் திசைக் கொசைன்கள்
இருப்பினும், எந்த புள்ளியையும் முதல் புள்ளியாக எடுத்துக் கொள்ளலாம், எனவே இதற்கு எதிர்த் திசையிலும் திசை விகிதங்களை காணலாம். ஆகவே, நமக்கு
என மற்றொரு தொகுப்பு திசைக் கொசைன்களாக கிடைக்கிறது.
(v) 
