வாயுக்கள் மூலம் மின்சார வெளியேற்றம் | இயற்பியல் - எலக்ட்ரானின் மின்னூட்ட எண்ணைக் கண்டறிதல் - தாம்சன் ஆய்வு | 12th Physics : UNIT 9 : Atomic and Nuclear Physics
எலக்ட்ரானின் மின்னூட்ட எண்ணைக் கண்டறிதல் - தாம்சன்
ஆய்வு
நவீன இயற்பியல் தோன்றுவதற்கு காரணமாக இருந்த
மிக முக்கியமான ஆய்வுகளில் ஒன்றாக தாம்சன் ஆய்வானது கருதப்படுகிறது. மின்னிறக்கக் குழாயினுள்
உள்ள வாயுக்களைப்பற்றி அறிய உதவும் முறைகளில் குறிப்பிடத்தகுந்த மேம்பாடுகளை 1887
- ஆம் ஆண்டில் ஜே.ஜே. தாம்சன் செய்தார். மின் மற்றும் காந்தப் புலங்களினால் கேதோடு
கதிர்கள் விலக்கம் அடைவதையும், மின்புலம் மற்றும் காந்தப் புலத்தை மாற்றுவதன் மூலம்
கேதோடு கதிர்களின் நிறை இயல்புநிலை மின்னூட்டம் (mass normalized charge) அல்லது மின்னூட்ட
எண் (அதாவது ஓரலகு நிறைக்கான மின்னூட்ட மதிப்பு (e/m) அளக்கப்படுகிறது.

படம் 8.3 எலக்ட்ரானின் மின்னூட்ட எண்ணைக் கண்டறிவதற்கான
ஜே.ஜே தாம்சன் ஆய்வின் அமைப்பு
இந்த ஆய்வின் அமைப்பு படம் 8.3ல் கொடுக்கப்பட்டுள்ளது.
இதில் உயர் வெற்றிட மின்னிறக்கக் குழாய் பயன்படுத்தப்படுகிறது. கேதோடிலிருந்து வெளியேறும்
கேதோடு கதிர்களானது ஆனோடு வட்டு A வை நோக்கி கவரப்படுகின்றன. ஆனோடு வட்டு ஊசித்துளையைப்
போன்ற சிறு துளை மட்டுமே கொண்டிருப்பதால் குறுகிய கற்றையாக கேதோடு கதிர்கள் அனுப்பப்படுகின்றன.
பிறகு அவை குறிப்பிட்ட மின்னழுத்த வேறுபாட்டில் உள்ள இணையான உலோகத் தகடுகளுக்கு இடையே
செலுத்தப்படுகின்றன. மேலும், படம் 8.3 இல் காட்டியுள்ளபடி, ஒன்றுக்கொன்று செங்குத்தான
திசையிலுள்ள மின் மற்றும் காந்தப் புலங்களுக்கு இடையில் மின்னிறக்கக்குழாய் வைக்கப்பட்டுள்ளது.
கேதோடு கதிர்கள் திரையில் பட்டவுடன் ஒளிர்தலை ஏற்படுத்துவதால், ஒரு ஒளிர்வுப் புள்ளி
தோன்றுகிறது. திரையில் துத்தநாக சல்பைடு (Zns) பூச்சு அளிப்பதன் மூலம் இந்த ஒளிர்தல்
ஏற்படுகிறது.
(i) கேதோடு
கதிர்களின் திசைவேகத்தைக் கண்டறிதல்

படம் 8.4 மின் விசை காந்த விசையை சமன் செய்வதால்
எலக்ட்ரான் கற்றையின் பாதை நேர்க்கோட்டில் அமைகிறது.
தகடுகளுக்கிடையே ஒரு குறிப்பிட்ட மின்புலத்தை
நிறுவியபின், காந்தப் புலத்தை சரி செய்வதன் மூலம் கேதோடு கதிர்களை (எலக்ட்ரான் கற்றை
) முதலில் இருந்த O புள்ளியை (படம் 8.3) வந்தடையுமாறு வந்தடையுமாறு செய்யப்படுகிறது.
படம் 8.4இல் கொடுத்துள்ளவாறு, மின் விசையின் அளவினை காந்த விசையின் அளவு சமன் செய்கிறது.
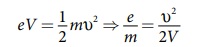
கேதோடு கதிர்களின் மின்னூட்டம் e மற்றும் திசைவேகம் v எனில்,

(ii)
மின்னூட்ட எண்ணைக் கண்டறிதல்
கேதோடிலிருந்து ஆனோடிற்கு கேதோடு கதிர்கள்
(எலக்ட்ரான் கற்றை) முடுக்கப்படுவதால், கேதோடில் எலக்ட்ரான் கற்றை பெறும் மின்னழுத்த
ஆற்றலானது அது ஆனோடை அடையும் போது பெற்றுள்ள இயக்க ஆற்றலுக்குச் சமமாகும். ஆனோடிற்கும்
கேதோடிற்கும் இடையேயான மின்னழுத்த வேறுபாடு V எனில், எலக்ட்ரானின் மின்னழுத்த ஆற்றல்
eV. எனவே, ஆற்றல் மாறா தத்துவத்தின் படி

சமன்பாடு (8.1)ல் உள்ள திசைவேகத்தின் மதிப்பை
மேலே உள்ள சமன்பாட்டில் பிரதியிட, நமக்குக் கிடைப்பது

E, B மற்றும் V, மதிப்புகளைப் பிரதியிட, மின்னூட்ட
எண்ணின் மதிப்பு
e/m = 1.7×1011 C kg−1
எனக் கண்டறியப்பட்டுள்ளது
(iii)
சீரான மின்புலத்தினால் மட்டும் மின் துகளின் பாதையில் உருவாகும் விலக்கம்
காந்தப்புலத்தை நிறுத்திய பிறகு, மின்புலத்தால் மட்டுமே விலக்கம் ஏற்படுகிறது. இந்த விலக்கம் மின் விசைக்கு நேர்த்தகவில் இருக்கும்.

m என்பது எலக்ட்ரானின் நிறை எனில், நியூட்டனின்
இரண்டாம் இயக்க விதிப்படி, எலக்ட்ரானின் முடுக்கம்

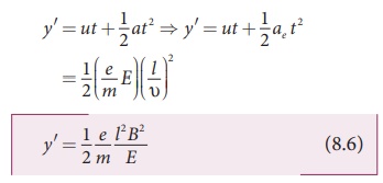
சமன்பாடு (8.3) ஐ சமன்பாடு (8.4) ல் பிரதியிட

படம் 8.5 சீரான மின்புலத்தை நிறுவுவதால் எலக்ட்ரானின்
பாதையில் ஏற்படும் விலக்கம்
திரையில் எலக்ட்ரான் கற்றை முதலில் வீழ்ந்த
நிலையில் இருந்து, தற்போது அது அடைந்துள்ள விலக்கம் y என்க. (படம் 8.5) மேலும் இக்கே
தோடு கதிர்கள் இணையாகவுள்ள மின்புலத் தகடுகளை அடையும் முன்னர் அதன் மேல்நோக்கிய தொடக்க
திசைவேகம் u = 0 ஆகும். இம்மின்புலத்தக்கடுகளின் நீளம் I எனில், மின்புலத்தை கடக்க
கேதோடு கதிர்கள் எடுத்துக் கொள்ளும் நேரம் t ஆனது,

எனவே, தகடுகளின் முடிவில் கேதோடு கதிர்கள்
அடையும் விலக்கம் (குறிப்பு: u = 0 மற்றும்

எனவே திரையில் ஏற்படும் விலக்கம்
y ∝ y′ ⇒ y = C y′
இங்கு C என்பது தகவு மாறிலி. இதன் மதிப்பு
மின்னிறக்கக் குழாயின் வடிவமைப்பைப் பொருத்து அமையும்.

சமன்பாடு (8.7) ஐ மாற்றியமைக்க

இச்சமன்பாட்டின் வலது பக்கம் மதிப்புகளைப்
பிரதியிட, மின்னூட்ட எண்ணின் மதிப்பு e/m =1.7x1011Ckg-1
(iv)
சீரான காந்தப் புலத்தால் மட்டும் உருவாகும் விலக்கம்
இப்போது மின்புலத்தை நிறுத்திவிட்டு, காந்தப்
புலத்தால் மட்டும் ஏற்படும் விலக்கத்தைக் கருதுவோம். எலக்ட்ரானின் பாதைக்கு செங்குத்தாக
உள்ள காந்தப்புலத்தால், எலக்ட்ரான் மீது செயல்படும் விசை
(எண்மதிப்பு அளவில்)
இவ்விசையானது எலக்ட்ரானுக்கு மைய நோக்கு விசையை
அளிப்பதால், எலக்ட்ரான் கற்றை அரைவட்டப் பாதையை மேற்கொள்கிறது. எனவே

இங்கு v என்பது காந்தப் புலத்தினுள் நுழையும்
போது எலக்ட்ரான் கற்றையின் திசைவேகம் மற்றும் R என்பது எலக்ட்ரான் கற்றை மேற்கொள்ளும்
அரைவட்டப் பாதையின் ஆரம் ஆகும்.

சமன்பாடு (8.1) ஐ சமன்பாடு (8.9)ல் பிரதியிட,

மின்புலம், காந்தப்புலம் மற்றும் வட்டப்பாதையின்
ஆரம் ஆகியவற்றின் மதிப்புகளை அறிந்தால் மின்னூட்ட எண்ணைக் கணக்கிடலாம். இம்முறையில்
கண்டறியப்படும் மதிப்பு மற்ற இரு முறைகளிலும் கண்டறியப்படும் மதிப்போடு பொருந்தி வருகின்றது,
குறிப்பு