வாயுக்கள் மூலம் மின்சார வெளியேற்றம் | இயற்பியல் - எலக்ட்ரானின் மின்னூட்ட மதிப்பு காணல் – மில்லிகனின் எண்ணெய்த்துளி ஆய்வு | 12th Physics : UNIT 9 : Atomic and Nuclear Physics
எலக்ட்ரானின் மின்னூட்ட மதிப்பு காணல் – மில்லிகனின்
எண்ணெய்த்துளி ஆய்வு
இயற்கையின் மிக முக்கிய அடிப்படை மாறிலிகளுள்
ஒன்றான எலக்ட்ரானின் மின்னூட்ட மதிப்பைக் காண உதவும் மில்லிகனின் எண்ணெய்த்துளி ஆய்வு,
நவீன இயற்பியலில் உள்ள சிறந்த செயல்முறை ஆய்வுகளில் ஒன்றாகும். (காண்க . படம் 8.6(அ)).
மின்புலத்தைத் தகுந்த முறையில் மாற்றுவதன்
மூலம் எண்ணெய்த் துளியின் இயக்கத்தைக் கட்டுப்படுத்தலாம், அதாவது, அதை மேல் நோக்கியோ
அல்லது கீழ்நோக்கியோ நகரச் செய்யலாம் அல்லது புலத்திலேயே நிலையாக இருத்தி அதிக நேரம்
அதைப் பார்க்கும் வண்ணமும் செய்யலாம்

படம் 8.6 மில்லிகனின் ஆய்வு (அ) உண்மையான கருவி
மற்றும் குறியீட்டுப் படம் (ஆ) பக்கவாட்டுப் படம்
இந்த ஆய்வின் செய்முறை அமைப்பு படம் 8.6 (ஆ)ல்
கொடுக்கப்பட்டுள்ளது. இதில் ஒவ்வொன்றும் 20cm விட்டம் கொண்ட கிடைத்தள , வட்டவடிவ உலோகத்தட்டுகள்,
1.5 cm இடைவெளியில் பிரித்து வைக்கப்பட்டுள்ளன. இவ்விரு வட்ட வடிவ உலோகத்தட்டுகளும்
கண்ணாடி சுவர்கள் கொண்ட கலனால் சூழப்பட்டுள்ளன. மேலும் இத்தட்டுகளுக்கிடையில் உயர்
மின்னழுத்த வேறுபாடு (கிட்டத்தட்ட 10 kV) அளிக்கப்படுவதால், செங்குத்தாக, கீழ்நோக்கிய
திசையில் மின்புலம் ஏற்படுகிறது. மேல் தட்டு A ல் ஒரு சிறிய துளை இடப்பட்டுள்ளது. எண்ணெயைத்
தெளிப்பதற்காக, சரியாக அத்துளைக்கு மேற்புரம் நுண்தெளிப்பான் (atomizer) ஒன்று வைக்கப்பட்டுள்ளது.
நுண்தெளிப்பான் உதவியுடன் கிளிசரின் (glycerine) போன்ற அதிக பாகுநிலை கொண்ட திரவம்
தெளிக்கப்படும்போது, சிறுதுளிகள் (droplets) உருவாகின்றன. ஈர்ப்பு விசையினால் அவைமேல்
தட்டிலுள்ள துளையின் வழியே கீழே விழுகின்றன.
காற்றுடன் ஏற்படும் உராய்வு அல்லது X- கதிர்களைக்
காற்றினூடே செலுத்துவதால் கலனிலுள்ள சில எண்ணெய்த் துளிகள் மின்னூட்டத்தைப் பெறுகின்றன.
மேலும் கிடைமட்டத் திசையில் கலன் ஒளியூட்டப்படுவதால், ஒளிக்கற்றைக்கு செங்குத்தாக வைக்கப்பட்டுள்ள
நுண்ணோக்கியின் மூலம் துளிகளைத் தெளிவாகக் காண முடியும். மின்புலத்தைத் தகுந்த முறையில்
மாற்றுவதன் மூலம் எண்ணெய்த் துளியின் இயக்கத்தைக் கட்டுப்படுத்தலாம் அதாவது, அதை மேல்நோக்கி
அல்லது கீழ்நோக்கி நகரச் செய்யலாம். அல்லது அந்தரத்திலேயே நிலையாக நிறுத்தலாம்.
எண்ணெய்த் துளியின் நிறை m எனவும், அதன் மின்னூட்டம்
q எனவும் கொள்க. எனவே, துளியின் மீது செயல்படும் விசைகள்
அ) புவிஈர்ப்பு விசை Fg = mg
ஆ) மின் விசை Fe = qE
இ) மிதப்பு விசை (buoyant force) Fb
மற்றும்
ஈ) பாகியல் விசை Fv

படம் 8.7 எண்ணெய்த் துளியின் தனித்த பொருள்
விசைப்படம் (அ) மின்புலம் அற்ற நிலையில் (ஆ) மின்புலம் உள்ள போது
(அ) எண்ணெய்த்துளியின்
ஆரம் காணல்
மின்புலம் இல்லாத நிலையில், எண்ணெய்த் துளி
கீழ்நோக்கி முடுக்கம் அடைகிறது. காற்றினால் ஏற்படும் பின்னிழு (பாகியல்) விசையினால்
எண்ணெய்த் துளி எளிதில் சீரான திசைவேகத்தை அடைகிறது. இது முற்றுத்திசை வேகம் எனப்படும்.
குறிப்பிட்ட தொலைவைக் கடக்க எண்ணெய்த் துளி எடுத்துக்கொள்ளும் நேரத்தில் இருந்து, அதன்
திசைவேகத்தை அளவிடலாம். படம் 8.7(அ ) இல் எண்ணெய்த் துளியின் தனித்த பொருள் விசைப்படம்
கொடுக்கப்பட்டுள்ளது. இந்நிலையில், பாகியல் மற்றும் மிதப்பு விசைகள் ஈர்ப்பு விசையை
சமன்செய்கின்றன.
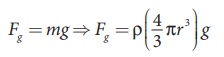
எண்ணெய்த் துளியின் மீது செயல்படும் புவியீர்ப்பு
விசை Fg = mg
எண்ணெய்த் துளி கோள வடிவம் கொண்டது எனக் கொள்வோம்.
எண்ணெய்த் துளியின் அடர்த்தி p மற்றும் அதன் ஆரம் r எனில், p = m/v. எனவே, அதன் நிறையானது,

இதன் மூலம், புவியீர்ப்பு விசையை பின்வருமாறு
எழுதலாம்.

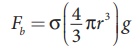
காற்றின் அடர்த்தி
எனில், எண்ணெய்த்
துளியினால் இடம் பெயர்ந்த காற்றினால் அதன் மீது செயல்படும் மேல்நோக்கிய விசை (மிதப்பு
விசை)

எண்ணெய்த் துளி முற்றுத்திசை வேகத்தை அடையும்
போது, அதன் மீது செயல்படும் பாகியல் விசையானது (எண்ணெய்த்துளி செல்லும் திசைக்கு எதிர்த்திசையில்
செயல்படும் விசை), கீழ்நோக்கிய நிகர விசைக்கு சமமாக இருக்கிறது. எனவே ஸ்டோக்ஸ் விதிப்படி,
பாகியல் விசை
Fv =6πrυη
எனவே படம் 8.7 (அ)ல் கொடுக்கப்பட்டுள்ள தனித்த
பொருள் விசைப்படத்தின் படி, விசைகளின் சமநிலைக்கான சமன்பாடு,

சமன்பாடு (8.11)ன் மூலம் எண்ணெய்த் துளியின்
ஆரத்தைக் கணக்கிடலாம்.
(ஆ) மின்னூட்ட
மதிப்பைக் காணல் :
எண்ணெய்த்துளிகளை சுற்றி மின் புலத்தை ஏற்படுத்தும்போது,
அதன் மீது ஒரு மேல்நோக்கிய மின் விசை (qE) செயல்படுகின்றது. எண்ணெய்த்துளிகளுள் ஏதேனும்
ஒரு குறிப்பிட்ட எண்ணெய்த்துளி ஒன்று நுண்ணோக்கியின் பார்வைப்புலத்தில் இருத்தப்படுகிறது.
மின்புலத்தின் வலிமையை சரிசெய்து, அத்துளியை நிலையாக (மேலேயும் போகாமல், கீழேயும் விழாமல்)
நிறுத்தி வைக்கவும் முடியும். இந்நிலையில், அத்துளியின் மீது செயல்படும் பாகியல் விசை
எதுவும் செயல்படாது. இந்நிலையில் தனித்த பொருள் விசைப்படம் படம் 8.7(ஆ)ன் படி, எண்ணெய்த்
துளியின் மீது செயல்படும் நிகர விசை

சமன்பாடு (8.11)ஐ சமன்பாடு (8.12)ல் பிரதியிட,

இந்த ஆய்வை பல முறை செய்து, எண்ணெய்த் துளிகளின் மின்னூட்ட மதிப்பைக் கணக்கிட்ட மில்லிகன், எந்தவொரு எண்ணெய்த் துளியின் மின்னூட்ட மதிப்பும் e=-1.6x10-19 C, என்ற அடிப்படை மதிப்பின் முழு மடங்குகளாக இருப்பதை கண்டறிந்தார். இந்த அடிப்படை மதிப்பே (e=-1.6x10-19C,) எலக்ட்ரானின் மின்னூட்ட மதிப்பு ஆகும்.