எடுத்துக்காட்டு கணக்குகள் | கணக்கு - துணையலகுச் சமன்பாடுகளால் வரையறுக்கப்பட்ட மாறிகளை வகையிடல் (Derivatives of variables defined by parametric equations) | 11th Mathematics : UNIT 10 : Differential Calculus: Differentiability and Methods of Differentiation
துணையலகுச் சமன்பாடுகளால் வரையறுக்கப்பட்ட மாறிகளை வகையிடல் (Derivatives of variables defined by parametric equations)
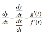
x = ƒ(t), y = g(t) என்ற சமன்பாடுகளைக் கருதுவோம்.
இச்சமன்பாடுகள் x மற்றும் y மாறிகளுக்கிடையே உள்ள சார்பு உறவைத் தருகின்றன. [a, b] எனும் ஏதேனும் ஒரு சார்பகத்தில் உள்ள ‘t' மதிப்பிற்கு x மற்றும் y கண்டறியலாம்.
x மற்றும் y என என இரு சார்புகள் தனித்தனியாக 't' எனும் பிறிதொரு மாறி மூலம் வரையறுக்கப்பட்டால் X மற்றும் y-க்கு உள்ள சார்புத் தொடர்பு துணையலகுத் தொடர்பு என்றும் பிறிதொரு மாறி துணையலகு எனவும் அழைக்கப்படுகிறது.
x மற்றும் y க்கு உள்ள நேரடித் தொடர்பைத் துணையலகு ‘t’ இன்றிக் காண்பது துணையலகு நீக்கல் என்பதாகும்.
எடுத்துக்காட்டாக, மையம் (0, 0) எனவும். ஆரம் r எனவும் உள்ள வட்டத்தின் சமன்பாடு x2 + y2 = r2 ஆகும். இந்தச் சமன்பாடு x மற்றும் y இரண்டிற்குமிடையே உள்ள தொடர்பை விவரிக்கிறது. r2 மற்றும் இதன் துணையலகுச் சமன்பாடுகள் x = r cost ; y = r sin t எனக் கிடைக்கும். மறுதலையாக t-ஐ நீக்கும்போது x2 + y2 = r2 எனப்பெறலாம்.
y -ஐ x -இன் சார்பாகக் கருதினால், 
x -ஐ y-இன் சார்பாகக் கொண்டால் y-ஐ பொறுத்து x-இன் வகையிடல்

வட்டத்தைப் பொறுத்தவரை dy/dx என்பது வட்டத்தின் தொடுகோட்டின் சாய்வாக,
ஆக அமையும்.
