Posted On : 10.02.2024 01:47 am
11 வது கணக்கு : அலகு 10 : வகை நுண்கணிதம் வகைமை மற்றும் வகையிடல் முறைகள் DIFFERENTIABILITY AND METHODS OF DIFFERENTIATION
அடிப்படைச் சார்புகளின் வகைக்கெழு (Derivatives of basic elementary functions) - வகையிடல் விதிகள் (Differentiation Rules)
அனைத்து அடிப்படைச் சார்புகளின் வகையிடல் முறையை காண்போம். முதலில் மாறிலிச் சார்பினை எடுத்துக் கொள்வோம்.
அடிப்படைச் சார்புகளின் வகைக்கெழு (Derivatives of basic elementary functions)
அனைத்து அடிப்படைச் சார்புகளின் வகையிடல் முறையை காண்போம். முதலில் மாறிலிச் சார்பினை எடுத்துக் கொள்வோம்.
(1) மாறிலிச் சார்பின் வகையிடல் பூஜ்ஜியமாகும்

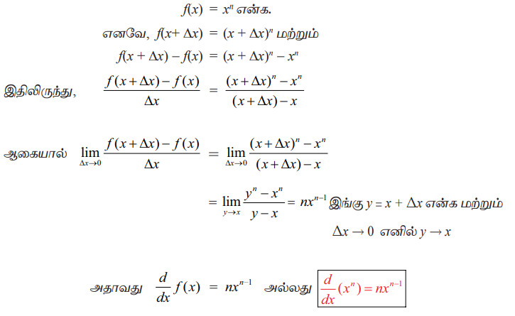
(2) y= x" எனும் அடுக்குச் சார்பு, n > 0 என்பது ஒரு முழு எண்

கிளைத்தேற்றம் 10.1

கிளைத்தேற்றம் 10.2
a என்பது ஏதேனும் ஒரு மெய்யெண் எனில், d/dx(xa) = axa-1
சில உதாரணங்கள்





11th Mathematics : UNIT 10 : Differential Calculus: Differentiability and Methods of Differentiation : Derivatives of basic elementary functions - Differentiation Rules in Tamil : 11th Standard
Tamil Medium School Samacheer Book Back Questions and answers, Important Question with Answer.
11 வது கணக்கு : அலகு 10 : வகை நுண்கணிதம் வகைமை மற்றும் வகையிடல் முறைகள் DIFFERENTIABILITY AND METHODS OF DIFFERENTIATION : அடிப்படைச் சார்புகளின் வகைக்கெழு (Derivatives of basic elementary functions) - வகையிடல் விதிகள் (Differentiation Rules) - : 11 ஆம் வகுப்பு
புத்தகம் கேள்விகள் மற்றும் பதில்கள்.