வாண்டர் வால்ஸ் மாறிலிகளிலிருந்து நிலைமாறு மாறிலிகளை தருவித்தல்
'n' மோல் வாயுவிற்கான வாண்டர் வால்ஸ் சமன்பாடு,
[ P + (an2 / V2) ] (V - nb) = nRT ---------- (6.22)
1 மோல் வாயுவிற்கு,
[ P + (a / V2) ] (V - b) = RT ---------- (6.23)
மேற்கண்டுள்ள சமன்பாட்டிலிருந்து, நிலைமாறு மாறிலிகள் PC, VC மற்றும் TCன் மதிப்புகளை வாண்டர் வால்ஸ் மாறிலிகள் a மற்றும் b ன் வாயிலாக தருவிக்கலாம். மேற்கண்டுள்ள சமன்பாட்டினை விரிவாக்க,
PV + (a / V) – Pb – (ab / V2) – RT = 0 ---------- (6.24)
சமன்பாடு (6.24) ஐ V2 / Pஆல்பெருக்குக

இச்சமன்பாடானது (6.26) Vல் அமைந்த முப்படிச் சமன்பாடாகும். இச்சமன்பாட்டினைத் தீர்க்கும் போது நாம் மூன்று தீர்வுகளைப் பெறலாம். நிலைமாறு நிலையில் Vன் இம்மூன்று மதிப்புகளும் நிலைமாறு கனஅளவு VCக்குச் சமம். மேலும் அழுத்தம் மற்றும் வெப்பநிலைகள் PC மற்றும் TC.க்குச் சமம்.
i.e., V = VC
V - VC = 0
(V - VC)3 = 0
V2 - 3VCV2 + 3VC2 V - VC3 = 0 ---------- (6.27)
(6.26) ஆனது (6.27) ஆகிய இருசமன்பாடுகளும் ஒன்றே என்பதால், (6.26) மற்றும் (6.27)ல் உள்ள V2, V ஆகியவற்றின் குணகங்கள் மற்றும் மாறிலி மதிப்புகளை நாம் சமப்படுத்தலாம்.

−3VCV2 = - [ (RTC / PC) + b ] V2
3VC = (RTC / PC) + b ---------- (6.28)
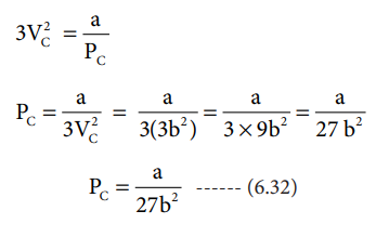
3VC2 = a / PC ---------- (6.29)
VC3 = ab / PC ---------- (6.30)
சமன்பாடு (6.30) ஐ சமன்பாடு (6.29) ஆல்வகுக்க
VC3 / 3VC2 = (ab / PC) / (a / PC)
VC / 3 = b
i.e. VC = 3b ---------- (6.31)
VC ன் மதிப்பினை (6.2ல் பிரதியிட)

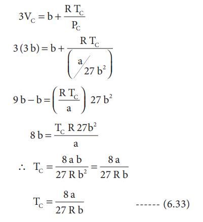
VC மற்றும் PC ன் மதிப்புகளைச் சமன்பாடு (6.28)ல் பிரதியிட
3VC = b + (RTC / PC)
3 (3b) = b + [ (RTC) / (a / 27b2) ]
9b – b = (RTC / a) 27b2
8b = (TCR 27b2) / a
∴ TC = 8ab / 27Rb2 = 8a / 27Rb
TC = 8a / 27Rb ---------- (6.33)

நிலைமாறு மாறிலிகளின் மதிப்பினைப் பயன்படுத்தி வாண்டர் வால்ஸ் மாறிலிகளையும், வாண்டர் வால்ஸ் மாறிலிகளைப் பயன்படுத்தி நிலைமாறு மாறிலிகளின் மதிப்புகளையும் கண்டறியலாம்.
a = 3V2C PC மற்றும் b = VC / 3