வரையறை, தேற்றம், நிரூபணம், எடுத்துக்காட்டு கணக்குகள் | பூச்சியமற்ற கோவை அணியின் நேர்மாறு (Inverse of a Non−Singular square matrix) - ஒரு சதுர அணியின் நேர்மாறு அணி (Definition of inverse matrix of a square matrix) | 12th Maths : UNIT 1 : Applications of Matrices and Determinants
2. ஒரு சதுர அணியின் நேர்மாறு அணி (Definition of inverse matrix of a square matrix)
ஒரு சதுர அணியின் நேர்மாறு அணியை வரையறுப்போம்.
வரையறை 1.2
A என்பது ஒரு n வரிசையுடைய சதுர அணி என்க. AB = BA = In எனுமாறு B என்ற ஒரு சதுர அணி இருப்பின், B ஆனது A−இன் நேர்மாறு அணி எனப்படும்.
தேற்றம் 1.2
ஒரு சதுர அணிக்கு நேர்மாறு இருப்பின் அது ஒருமைத்தன்மை வாய்ந்ததாகும்.
நிரூபணம்
A என்பது நேர்மாறு காணத்தக்க n வரிசையுடைய ஓர் அணி என்க. முடியுமானால் B மற்றும் C என்ற இரு அணிகள் A−இன் நேர்மாறு எனக்கொள்வோம். வரையறைப்படி AB = BA = In மற்றும் AC = CA = In ஆகும்.
இச்சமன்பாடுகளைப் பயன்படுத்துவதன் மூலம் கிடைப்பது
C = C In = C (AB) = (CA) B = In B = B.
எனவே நேர்மாறு ஒருமைத்தன்மை வாய்ந்ததாகும்.
குறியீடு: A − இன் நேர்மாறு A−1 எனக் குறிப்பிடப்படுகின்றது.
குறிப்பு:
AA−1 = A−1A = In.
தேற்றம் 1.3
A என்பது n வரிசையுடைய சதுர அணி என்க. A−1 காண்பதற்குத் தேவையான மற்றும் போதுமான நிபந்தனையானது, A பூச்சியமற்ற கோவை அணியாக இருக்க வேண்டும்.
நிரூபணம்
A என்ற அணிக்கு A−1 காண முடியும் என்க. எனவே AA−1 = A−1A = In.
அணிக்கோவைகளின் பெருக்கல் விதியைப் பயன்படுத்தக் கிடைப்பது, det (AA−1) = det(A) det(A−1) = det(A−1) det(A) = det(In) = 1, எனவே |A| = det(A) ≠ 0. எனவே A ஆனது பூச்சியமற்றக் கோவை அணியாக இருக்கும். மறுதலையாக, A என்பது பூச்சியமற்றக் கோவை அணி என்க. எனவே |A| ≠0.
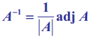
தேற்றம் 1.1 மூலம் கிடைப்பது A(adj A) = (adj A)A = |A |In.
இச்சமன்பாட்டை | A| ஆல் வகுக்கக் கிடைப்பது, 
இதன் மூலம், AB = BA = In எனுமாறு
என்ற அணி காண முடிகிறது.
எனவே, A −இன் நேர்மாறு
ஆகும்.
குறிப்புரை
பூச்சியக்கோவை அணியின் அணிக்கோவை மதிப்பு 0. எனவே பூச்சியக் கோவை அணிக்கு நேர்மாறு காண இயலாது.
எடுத்துக்காட்டு 1.2
A =
என்ற பூச்சியமற்றக் கோவை அணிக்கு A−1 காண்க.
தீர்வு
முதலில் சேர்ப்பு அணி காண்போம்.
வரையறைப்படி, adj A = 
A ஆனது பூச்சியமற்றக் கோவை அணி, எனவே |A| = ad – bc ≠ 0.

எடுத்துக்காட்டு 1.3
என்ற அணியின் நேர்மாறு காண்க.
தீர்வு
= 2 (7) + (−12) + 3 (−1) = −1 ≠ 0
எனவே, A−1 காண இயலும்.
