நிலை மின்னியல் - கூலூம் விதி - தீர்க்கப்பட்ட எடுத்துக்காட்டு சிக்கல்கள் | 12th Physics : UNIT 1 : Electrostatics
படத்தில் இரு புள்ளி மின்துகள்கள் q1 மற்றும் q2 நிலையாக உள்ளன.

அவை 1 m இடைவெளியில் பிரித்து வைக்கப்பட்டுள்ளன. பின்வரும் நேர்வுகளுக்கு அவற்றுக்கு இடையே செயல்படும் விசையை கணக்கிடுக.
(அ) q1 = +2μC மற்றும் q2= +3 μC
(ஆ) q1= +2μC மற்றும் q2 =-3μC
(இ) q1 = +2μC மற்றும் q2 = -3μC நீரில் (∈r = 80)
வைக்கப்படும்போது

(அ) q1 = +2 µC, q2 = +3 μC மற்றும் r = 1m. இங்கு இரண்டுமே நேர் மின் துகள்கள். ஆதலால், இவற்றிற்கு இடையே விலக்கு விசை செயல்படும்.
மின்துகள் q1 ஆல் மின்துகள் q2 உணரும் விசை

இங்கு r^12 என்பது q1 லிருந்து q2 ஐ நோக்கிய திசையிலுள்ள ஓரலகு வெக்டர். q1 க்கு வலது பக்கத்தில் q2உள்ளதால்,


நியூட்டனின் மூன்றாம் விதிப்படி, மின்துகள் q2 ஆல் q1 உணரும் விசை 

மற்றும்
ஆகியவற்றின் திசைகள் படத்தில் (நேர்வு (அ)) காட்டப்பட்டுள்ளது.
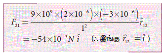
(ஆ) q1 = +2 μC, q2 =-3 μC மற்றும் r = 1m. இவை வேறின மின் துகள்களாதலால் இவற்றிற்கிடையே கவரும் விசை செயல்படும். மின்துகள் q1 ஆல் q2 உணரும் விசை

எனவே, மின்துகள் q2 ஆனது q1ஐ நோக்கிய திசையில் (அதாவது எதிர்க்குறிx திசையில்) ஒரு கவரும் விசையை உணரும்.
நியூட்டனின் மூன்றாம் விதிப்படி, மின்துகள் q2 ஆல் q1 உணரும் விசை
அதாவது

மற்றும்
ஆகிய விசைகளின் திசை படத்தில் (நேர்வு - ஆ) காட்டப்பட்டுள்ளது.
(இ) இரு மின்துகள்களும் நீருக்குள் வைக்கப்பட்டால் q2 உணரும் விசை

குறிப்பு
இரு மின்துகள்களுக்கிடையே வெற்றிடத்தில் செயல்படும் விசையை விட அவை நீருக்குள் வைக்கப்படும்போது செயல்படும் விசை 1/80 பங்காகக்குறைந்துள்ளதைக் கவனிக்கவும். சாதாரண உப்பை (NaCl) நீரில் இடும்போது, நீரின் அதிக மதிப்புடைய சார்பு விடுதிறனால் (€r = 80), Na மற்றும் CI அயனிகளுக்கு இடையே நிலவும் நிலைமின் விசை குறைந்து விடுகிறது. இதனால் தான் நீர் ஒரு சிறந்த கரைப்பானாக உள்ளது.
ஒவ்வொன்றும் 1g நிறையுடைய, சிறிய உருவளவு கொண்ட, இரு ஒரே மாதிரியான கோளங்கள் சமநிலையில் உள்ளவாறு, படத்தில் காட்டப்பட்டுள்ளன. நூலின் நீளம் 10 cm மற்றும் செங்குத்துத் திசையுடன் நூல் உருவாக்கும் கோணம் 30o எனில் கோளம் ஒவ்வொன்றிலும் உள்ள மின்னூட்டத்தைக் கணக்கிடுக. (g= 10 ms-2 என எடுத்துக்கொள்க)

கோளங்கள் இரண்டும் மின்னூட்டம் அற்றவையாக இருந்தால், அவை தொங்கவிடப்படும்போது அவற்றுக்கு இடையே உருவாகும் கோணம் 00 ஆக இருக்கும். ஆனால் அவை நேர் மின்னூட்டம் பெற்ற கோளங்கள் ஆதலால், அவற்றுக்கிடையே விலக்கு விசை செயல்பட்டு, செங்குத்து திசைக்கு 30oகோணத்தில் அவை சமநிலைக்கு வருகின்றன.சமநிலையில் ஒவ்வொரு கோளமும் உணரும் நிகர விசை சுழியாகும். அவற்றுள் ஏதேனும் ஒரு கோளத்திற்கான தனித்த பொருள் விசைப்படத்தை நாம் வரைந்து, செங்குத்து மற்றும் கிடைமட்டத் திசைகளில் நியூட்டனின் இரண்டாம் விதியைப் பயன்படுத்துவோம்.

நேர்க்குறி x - திசையில் கோளத்தின் நிகர முடுக்கம் சுழி.

இங்கு T என்பது நூலினால் கோளத்தின் மீது செலுத்தப்படும் இழுவிசை மற்றும் Fe என்பது இரு கோளங்களுக்கு இடையிலான நிலைமின் விசை
y - திசையிலும் கூட, கோளத்தின் நிகர முடுக்கம் சுழி. எனவே

சமன்பாடு (1) ஐ (2) ஆல் வகுக்க,

இரு கோளங்களும் சம மின்னூட்டம் பெற்றுள்ளதால், நிலைமின் விசையின் எண்மதிப்பு

ஹைடிரஜன் அணுவில் உள்ள புரோட்டானுக்கும் எலக்ட்ரானுக்கும்இடையேயான நிலைமின் விசை மற்றும் ஈர்ப்பு விசையைக்கணக்கிடுக. அவற்றின் இடைத்தொலைவு 5.3x 10-11 m. எலக்ட்ரான் மற்றும் புரோட்டான் இவையிரண்டிற்கும்மின்னூட்டமதிப்பு 1.6x10-19 C. எலக்ட்ரானின் நிறை me = 9.1 x 10-31 kg மற்றும் புரோட்டானின் நிறை mp = 1.6 x 10-27 kg.
புரோட்டானும் எலக்ட்ரானும் ஒன்றையொன்று கவருகின்றன. இவ்விரு மின் துகள்களுக்கும் இடையேயான நிலைமின் விசையின் எண்மதிப்பு

புரோட்டான் மற்றும் எலக்ட்ரானுக்கு இடையேயான புவியீர்ப்பு விசையும்கவர்விசையே. இவ்விரு துகள்களுக்கும் இடையே நிலவும் ஈர்ப்பு விசையின் எண்மதிப்பு

இவ்விரு விசைகளுக்குமான விகிதம்

புரோட்டானுக்கும் எலக்ட்ரானுக்கும் இடையேயான நிலைமின் விசையானது அவற்றுக்கிடையே நிலவும் ஈர்ப்பு விசையைவிட பல மடங்கு மிகப்பெரியது. எனவே, சிறிய நிறை கொண்ட பொருள்கள் மற்றும் அணுநிலை அளவுகள் (atomic domain) உள்ளிட்ட பல சூழ்நிலைகளில் நிலைமின் விசையை ஒப்பிடுகையில் ஈர்ப்பு விசை புறக்கணிக்கத்தக்கதே. இதனால் தான், மின்னூட்டமற்ற சிறு காகிதத்துண்டு ஒன்று புவியின் ஈர்ப்பு விசையினால் கவரப்பட்டாலும் அதைவிட அதிக வலிமையுடன் மின்னூட்டம் பெற்ற சீப்பு ஒன்றினால் (அக்காகிதத்துண்டை) கவர முடிகிறது.

இரு புள்ளி மின் துகள்களுக்கு இடையே ஏற்படும் இடைவினையை கூலூம் விதி விளக்குகிறது. இரண்டிற்கு மேற்பட்ட மின் துகள்கள் இருந்தால், ஒவ்வொரு மின்துகளின் மீதும் மற்ற அனைத்து மின் துகள்களும் செலுத்தும் விசையைக் கணக்கிட வேண்டும். இத்தகைய சூழ்நிலைகளுக்கு கூலூம் விதியினால் மட்டுமே விசை காண இயலாது. பல மின்துகள் அமைப்புகளில் ஏற்படும் இடைவினைகளைப் பற்றி மேற்பொருந்துதல் தத்துவம் விளக்குகிறது.
மேற்பொருந்துதல் தத்துவத்தின் படி, ஒரு குறிப்பிட்ட மின்துகள் மீது செயல்படும் மொத்த விசையானது மற்ற அனைத்து மின் துகள்கள் அதன்மீது செயல்படுத்தும் விசைகளின் வெக்டர் கூடுதலுக்குச் சமமாகும்
q1, q2, q3……..qn ஆகிய மின்னூட்ட மதிப்புகளையுடைய n மின் துகள்களை உள்ளடக்கிய அமைப்பு ஒன்றைக் கருதுக. q1ன் மீது q2செலுத்தும் விசை

இங்கு r^21 q1 என்பது q2 விலிருந்து q1 ஐ இணைக்கும் கோட்டின் திசையில் அமையும் ஓரலகு வெக்டர் மற்றும் r21 என்பது அவை இரண்டிற்குமான இடைத்தொலைவு ஆகும். இவ்விருமின்துகள்களுக்கு இடையேயான விசை, சுற்றி அமைந்துள்ள மற்ற மின்துகள்களால் மாற்றப்படுவதில்லை.
q1 ன் மீது q3 செலுத்தும் விசை

இதேபோல், q1 ன் மீது மற்ற அனைத்து மின்துகள்களாலும் செலுத்தப்படும் மொத்த நிலைமின் விசை

குறிப்பு
இரு மின்துகள்களை விட அதிக எண்ணிக்கையில் உள்ள மின்துகள் அமைப்புகளில், மேற்பொருந்துதல்தத்துவத்தைப் பயன்படுத்தாமல் கூலூம் விதி முழுமை பெறாது. மேற்பொருந்துதல் தத்துவம் மற்றும் கூலூம் விதி ஆகியவை நிலை மின்னியலின் அடிப்படைத் தத்துவங்களாகும். நிலை மின்னியலில் காணப்படும் அனைத்து நிகழ்வுகளையும் இவ்விரண்டு தத்துவங்கள் விளக்குகின்றன. ஆனாலும் இவ்விரண்டு தத்துவங்களையும் ஒன்றிலிருந்து மற்றொன்றைத்தருவிக்க இயலாது.
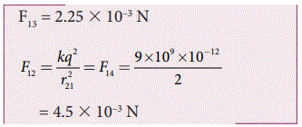
ஆரம் 1 m கொண்ட வட்டத்திலுள்ள நான்கு புள்ளிகளில் நான்கு சமமான மின்னூட்டம் கொண்டமின்துகள்கள் q1, q2, q3 மற்றும் q4=q=+1 μC வைக்கப்பட்டுள்ளன [பார்க்க படம்). மின்துகள் q1 ன் மீது மற்ற அனைத்து மின்துகள்களாலும் செலுத்தப்படும் மொத்த விசையைக் கணக்கிடுக.

தீர்வு
மேற்பொருந்துதல் தத்துவத்தின்படி, q1, ன் மீது செலுத்தப்படும் மொத்த நிலைமின் விசையானது மற்ற மின் துகள்களால் அதன் மீது செலுத்தப்படும் தனித்தனி விசைகளின் வெக்டர் கூடுதலுக்குச் சமம்.

q1ன் மீது செயல்படும் விசை ஒவ்வொன்றின் திசையும் பின்வரும் படத்தில் காட்டப்பட்டுள்ளது.

q2 மற்றும் q4 ஆகிய மின்துகள்கள் q1 லிருந்து சம தொலைவில் உள்ளன. எனவே, திசையினால் வேறுபட்டாலும்
மற்றும்
விசைகளின் எண்மதிப்பு சமமாகும். இதனால் தான் அவற்றைக் குறிப்பிடப் பயன்படுத்திய வெக்டர்கள் சமநீளமுடன் வரையப்பட்டுள்ளன. ஆனால் q2 மற்றும் q4 ஆகியவற்றைக் காட்டிலும் அதிக தொலைவில் மின்துகள் q3 உள்ளது. தொலைவு கூடினால் நிலைமின் விசையின் வலிமை குறையும். ஆதலால், விசைகள்
மற்றும்
ஆகியவற்றை விட
ன் எண்மதிப்பு குறைவு. இதனால் தான் விசைகள்
மற்றும்
ஆகியவற்றின் நீளத்தை விட விசை
ன் நீளம் குறைவாக வரையப்பட்டுள்ளது.


படத்திலிருந்து, θ = 45o. இந்த விசைகள் அவற்றின் வெக்டர் கூறுகளைக் கொண்டு பின்வருமாறு எழுதப்படுகிறது.

எனவே q1ன் மீது செயல்படும் மொத்த விசை


இச்சமன்பாட்டில் மதிப்புகளைப் பிரதியிட,

தொகுபயன் விசையா்னது நேர்க்குறி x – அச்சு திசையில் அமைகி்றது