வரையறை, தேற்றம், நிரூபணம், எடுத்துக்காட்டு கணக்குகள் - ஒரு கலப்பெண்ணின் இணைக் கலப்பெண் (Conjugate of a Complex Number) | 12th Maths : UNIT 2 : Complex Numbers
ஒரு கலப்பெண்ணின் இணைக் கலப்பெண் (Conjugate of a Complex Number)
இப்பாடப்பகுதியில் நாம் ஒரு கலப்பெண்ணின் இணைக் கலப்பெண், அதனை வரைபடத்தில் குறித்தல், மேலும் அதன் பண்புகளைப் பொருத்தமான உதாரணங்களுடன் காண்போம்.
வரையறை 2.3
x + iy என்ற கலப்பெண்ணின் இணைக் கலப்பெண் x − iy என வரையறுக்கப்படுகின்றது.
z என்ற கலப்பெண்ணின் இணைக்கலப்பெண்
என குறிப்பிடப்படுகின்றது. z −ன் இணைக்கலப்பெண்ணை பெறுவதற்கு i−க்குப் பதிலாக −i −ஐ z −ல் பிரதியிட வேண்டும். உதாரணமாக 2 − 5i என்ற கலப்பெண்ணின் இணைக்கலப்பெண் 2 + 5i ஆகும். ஒரு கலப்பெண்ணையும் அதன் இணைக் கலப்பெண்ணையும் பெருக்க ஒரு மெய் எண் கிடைக்கும். உதாரணமாக,
(i) (x + iy)(x − iy) = x2 − (iy)2 = x2 + y2
(ii) (1 + 3i)(1 − 3i) = (1)2 − (3i)2 = 1 + 9 = 10.
வரைபடத்தின் வாயிலாக ஒரு கலப்பெண் z−ன் இணைக் கலப்பெண்ணினை மெய் அச்சின் மீது z−ன் பிரதிபலிப்பு எனலாம்.

குறிப்பு
x + iy மற்றும் x − iy என்ற இரு கலப்பெண்கள் ஒன்றுக்கொன்று இணை ஆகும். இணை எண்கள் கலப்பெண்களை வகுக்கும் போது பயன்படுகிறது. ஒரு கலப்பெண்ணின் பகுதியில் மெய் எண்ணைப் பெற தொகுதி மற்றும் பகுதிகளை பகுதியில் உள்ள கலப்பெண்ணின் இணை எண்ணால் பெருக்க வேண்டும். இதனை பகுதியில் உள்ள விகிதமுறா மூலத்தை விகிதமுறு எண்ணாக்கும் முறையுடன் ஒப்பிடலாம்.

இவற்றில் சில பண்புகளை நிறுவுவோம்.
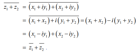
பண்பு
ஏதேனும் இரு கலப்பெண்கள் z1 மற்றும் z2 −விற்கு
என பெறலாம்.
நிரூபணம்
z1 = x1 + iy1, z2 = x2 + iy2, மற்றும் x1, x2, y1 மற்றும் y2 ∈ ℝ என்க.

இதனை கணிதத் தொகுத்தறிதல் மூலம் முடிவுற்ற எண்ணிக்கையிலான கலப்பெண்களுக்கும் இதனை விரிவுபடுத்தலாம். 
பண்பு
இங்கு x1, x2, y1 மற்றும் y2 ∈ ℝ .
நிரூபணம்
z1 = x1 + iy1 மற்றும் z2 = x2 + iy2, என்க.
ஆகவே, z1z2 = (x1 + iy1) (x2 + iy2) = (x1x2 – y1y2) + i(x1y2 + x2y1).

பண்பு
z ஒரு முழுவதும் கற்பனை எண் என இருந்தால், இருந்தால் மட்டுமே z = −
.
நிரூபணம்
z = x + iy என்க. வரையரையின்படி
= x − iy ஆகும்.
எனவே, z = −![]()
⇔ x + iy = − (x − iy)
⇔ 2x = 0 ⇔ x = 0
⇔ z ஒரு முழுவதும் கற்பனை எண்.
இதுபோலவே, இணைக் கலப்பெண்களின் மற்ற பண்புகளையும் நிறுவலாம்.
எடுத்துக்காட்டு 2.3
−ஐ x + iy வடிவில் எழுதுக. இதிலிருந்து மெய் மற்றும் கற்பனை பகுதிகளைக் காண்க.
தீர்வு
−ன் மெய் மற்றும் கற்பனை பகுதிகளைக் காண இதனை x + iy என செவ்வக வடிவில் எழுத வேண்டும். இந்த பின்னத்தினை சுருக்க தொகுதி மற்றும் பகுதிகளை பகுதியிலுள்ள கலப்பெண்ணின் இணை கலப்பெண்ணால் பெருக்கி பகுதியில் உள்ள i−ஐ நீக்கலாம்.

எடுத்துக்காட்டு 2.4
ஐ செவ்வக வடிவில் சுருக்குக.
தீர்வு

எடுத்துக்காட்டு 2.5
எனில், கலப்பெண் z −ஐ செவ்வக வடிவில் காண்க.
தீர்வு
என்பதால்
⇒ 2(z + 3) = (1 + 4i)( z − 5i)
⇒ 2z + 6 = (1 + 4i) z + 20 − 5i
⇒ (2 – 1 − 4i)z = 20 – 5i − 6
⇒ z = (14− 5i)/(1−4i) = [(14 − 5i)(1 + 4i)] / [(1 − 4i)(1 + 4i)] = (34 + 5li)/17 = 2 + 3i.
எடுத்துக்காட்டு 2.6
z1 =3 − 2i மற்றும் z2 = 6 + 4i எனில் z1 / z2 −ஐ செவ்வக வடிவில் காண்க.
தீர்வு
z1 மற்றும் z2 ஆகியவற்றின் மதிப்புகளை பிரதியிட,

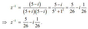
எடுத்துக்காட்டு 2.7
z = (2 + 3i)(1 − i) எனில் z−1 −ஐக் காண்க.
தீர்வு
z = (2 + 3i)(1 − i) = (2 + 3) + (3 − 2)i = 5 + i
⇒ z−1 = 1/z = 1/(5 + i)
தொகுதி மற்றும் பகுதியை பகுதியின் இணை எண்ணால் பெருக்க

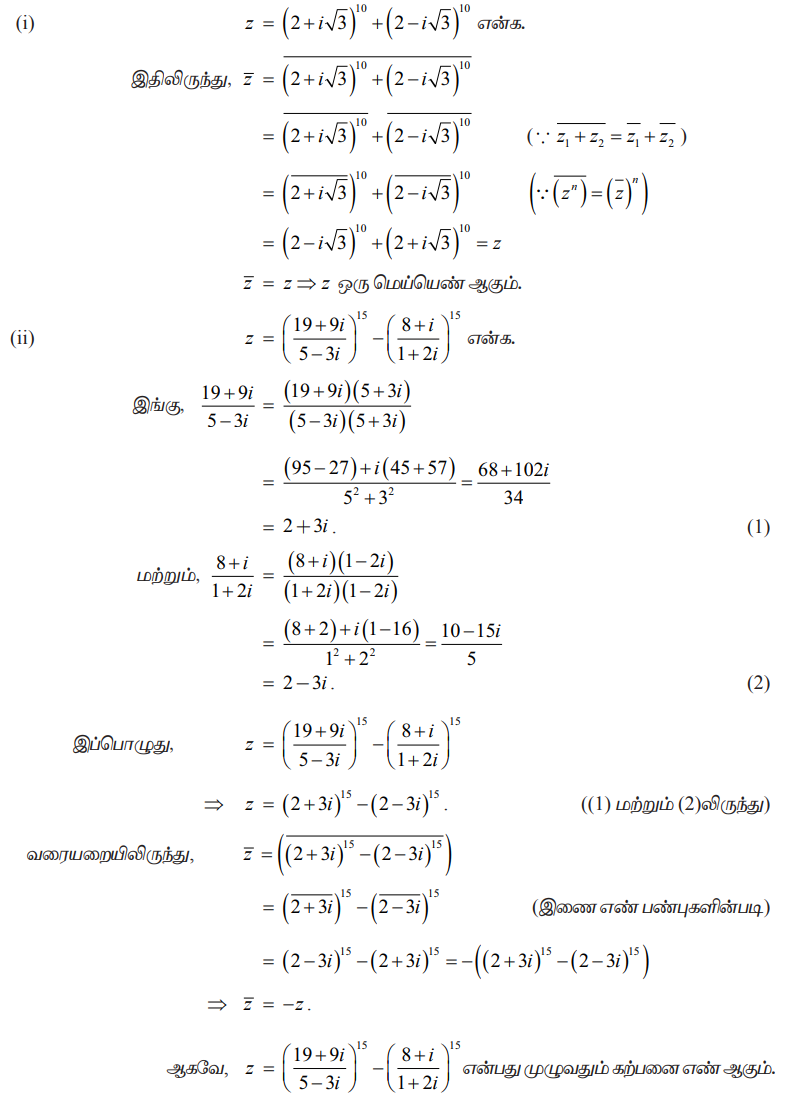
எடுத்துக்காட்டு 2.8
நிறுவுக (i) (2 + i√3)10 + (2 − i√3)10 ஒரு மெய் எண் மற்றும்
(ii) [(19 + 9i)/(5 − 3i)]15 − [(8 + i)/(1 + 2i)]15 என்பது முழுவதும் கற்பனை எண்
தீர்வு
(i) z = (2 + i√3)10 + (2 − i√3)10 என்க.
