அலை ஒளியியல் | இயற்பியல் - பயிற்சி கணக்குகள் | 12th Physics : UNIT 7 : Wave Optics
IV. பயிற்சி கணக்குகள்
1. ஒரு குறுக்கீட்டு விளைவு வடிவமைப்பில் பெரும மற்றும் சிறும செறிவுகளுக்கு இடையேயான விகிதம் 36:1, எனில் குறுக்கிடும் இரு அலைகளின் வீச்சுகளுக்கு இடையேயான விகிதம் எவ்வளவு?
தீர்வு. கொடுக்கப்பட்டவை:
குறுக்கீட்டு விளைவு வடிவமைப்பில் பெரும & சிறும செறிவுகளுக்கு = 36 : 1 இடையேயான விகிதம்
கண்டறிய:
வீச்சுகளுக்கு இடையேயான விகிதம், α1 : α2 = ?
I பெருமம் = (α1 + α2 )2 ...... (1)
I சிறுமம் = (α1 - α2 )2 ...... (2)
36/1 = (α1 + α2 )2 / (α1 - α2 )2
வர்க்க மூலம் காணும்போது,

ஃ வீச்சுகளுக்கு இடையேயான விகிதம் α1 : α2 = 7:5
n2 = 62 × 5893 / 4359
ஃ n2 = 83.8 ⇒ 84
[விடை: 7:5]
2. யங் இரட்டைப் பிளவு ஆய்வில், 5893 Å அலைநீளம் கொண்ட சோடிய ஒளியினால் இரட்டைப் பிளவுகளை ஒளியூட்டும்போது கண்ணுக்குப் புலப்படும் பகுதியில் 62 பட்டைகள் தெரிகின்றன. சோடிய ஒளிக்குப் பதிலாக 4359 Å அலை நீளம் கொண்ட ஊதா ஒளியினைப் பயன்படுத்தினால், எத்தனை பட்டைகள் திரையில் தெரியும்?
தீர்வு:
N1 λ1 = N2 λ2
62 × 5893 Å = n2 × 4358 Å

n2 ≅ 84
[விடை: 84]
3. 600 nm அலைநீளம் கொண்ட ஒளி இரட்டைப்பிளவின் மீது விழும்போது திரையில் உருவாகும் குறுக்கீட்டு விளைவில் இரு அடுத்தடுத்த பொலிவு வரிகளுக்கான இடைவெளி 7.2 mm. இதே அமைப்பைக் கொண்டு 8.1 mm இடைவெளியில் இரு அடுத்தடுத்த பொலிவு வரிகள் ஏற்படுமாறு செய்ய பயன்படுத்தப்பட வேண்டிய வேறொரு ஒளியின் அலைநீளம் எவ்வளவு?
தீர்வு. கொடுக்கப்பட்டவை:
ஒளியின் அலைநீளம், λ1 = 600 nm
= 600 × 10-9 m
பொலிவு வரிகளுக்கான இடைவெளி x1 = 7.2 mm
அடுத்து வரும் பொலிவு வரிகளுக்கான இடைவெளி, x2 = 8.1 mm
கண்டறிய:
மற்றொரு ஒளியின் அலைநீளம், λ2 = ?

λ2 = 675 nm
8.1 mm இடைவெளியில், பொலிவு வரிகள் ஏற்பட, தேவையான ஒளியின் அலை நீளம் 675 nm ஆகும்.
[விடை: 675 nm]
4. அதிக தொலைவில் உள்ள ஒரு மூலத்திலிருந்து வெளியாகும் 600 nm அலைநீளம் கொண்ட ஒளிக்கற்றை, 1 mm அகலம் உடைய ஒற்றைப் பிளவின் மீது விழுகிறது. இதனால் உருவாகும் விளிம்பு விளைவின் வடிவமைப்பு 2 m தொலைவிலுள்ள திரையில் பார்க்கப்படுகிறது. மையப் பொலிவு வரிக்கு இருமருங்கிலும் காணப்படும் முதல் கருமை வரிகளுக்கு இடையேயான தொலைவு எவ்வளவு?
தீர்வு. கொடுக்கப்பட்டவை:
ஒளியின் அலைநீளம் λ = 600 nm
= 600 × 10-9 மீ
ஒளிமூலத்திற்கும், பிளவிற்கும் இடையேயான தொலைவு D = 2 மீ
பிளவின் அகலம் d = 1 மிமீ = 1 × 10-3 மீ
கண்டறிய:
மையப் பொலிவு வரியின் இரண்டு பக்கங்களிலும் தோன்றும் முதல் கருமை வரிகளுக்கு இடையே உள்ள தொலைவு = ?
ஒற்றைப்பிளவு சோதனை முறையில் விளிம்பு விளைவுப் பட்டையின் அகலம் = β = λD / d

= 1200 × 10-3 mm
= 1.2 × 103 × 10-3 mm
β = 1.2 mm
மையப் பொலிவு வரியின் இருபக்கங்களிலும் தோன்றும் கருமை வரிகளுக்கு இடையேயான தொலைவு = 2 × 1.2 = 2.4 மி.மீ.
[விடை: 2.4 mm]
5. 2.5 µm அகலம் கொண்ட ஒற்றைப் பிளவு ஒன்றின் வழியே 5000 Å அலைநீளம் உடைய ஒளி செல்வதால் விளிம்பு விளைவு ஏற்படுகின்றது. இதனால் உருவாகும் விளிம்பு விளைவு வடிவமைப்பின் பெரும வரிசை என்ன?
தீர்வு. கொடுக்கப்பட்டவை:
ஒளியின் அலைநீளம், λ =
5000 Å
= 5000 × 10-10
m = 5 × 10-7 m
ஒற்றைப் பிளவின் அகலம்,
α = 2.5 µm = 2.5 ×
10-6 m
கண்டறிய:
விளிம்பு விளைவு வடிவமைப்பின் பெரும வரிசை,
nபெருமம் = ?
இங்கு, θ = 90°
ஃ a sinθ = nλ
⇒ a sin 90° = nλ ⇒ a= nλ [sin 90° = 1]

ஃ விளிம்பு விளைவு வடிவமைப்பின் பெரும வரிசை nபெருமம் = 5
[விடை: 5]
6. ஒன்றுக்கொன்று செங்குத்தாகவுள்ள அச்சுகளைக் கொண்ட இரு குறுக்குத் தளவிளைவாக்கிகளுக்கு இடையே நிலவும் ஒளியின் செறிவு I0. அவற்றிற்கு இடையில் மூன்றாவது தளவிளைவாக்கி நுழைக்கப்படுகிறது. இந்த மொத்த அமைப்பிலிருந்து பெரும ஒளி வெளியேற வேண்டும் எனில், முதல் மற்றும் புதிதாக நுழைக்கப்பட்ட தளவிளைவாக்கிகளின் அச்சுகளுக்கு இடையில் உள்ள கோணம் எவ்வளவு?
தீர்வு. கொடுக்கப்பட்டவை:

P1 & P2 என்பவை குறுக்குத் தளவிளைவாக்கிகள் என்க.
P2 தளவிளைவாக்கியிலிருந்து ஒளி ஊடுருவல் இருக்காது.
P1 வழியே ஒளியின் செறிவு = I0
P1 மற்றும் P2 -இவற்றுக்கிடையே, P1 இல் இருந்து θ கோணத்தில் P3 நுழைக்கப்படுவதாகக் கொள்க.
ஃ P3 வழியே ஒளியின் செறிவு-
I1 = I0 cos2 θ
இந்த ஒளி I3 மீண்டும் P2 வழியே சென்றால்,
I2 = I1 cos2(90°- θ)
[P2 மற்றும் P3 இவற்றிற்கிடையே உள்ள கோணம் 90°- θ]
= I1 Sin2 θ
I 2 = I0 cos2 θ sin2 θ
= I0 (cos2 θ sin θ)2

I 2 - இன் பெரும மதிப்பு
sin 2 θ = ±1 ⇒ 20 = 90°
θ = 90°/2 = 45°
ஆகவே, மொத்த அமைப்பிலிருந்து பெரும ஒளி வெளியேற வேண்டுமெனில், P1 மற்றும் P3 -க்கு இடையில் உள்ள கோணம் 45° ஆக இருக்க வேண்டும்.
[விடை: 45°]
7. மூன்று தளவிளைவாக்கிகள் வைக்கப்பட்டுள்ள ஒரு வரிசையில் முதல் மற்றும் கடைசி தளவிளைவாக்கிகளின் அச்சுகளுக்கு இடைப்பட்ட கோணம் 90°. இவற்றின் வழியே 32 Wm–2 செறிவுடைய தளவிளைவு அடையாத ஒளி செலுத்தப்படுகிறது. முதல் மற்றும் நடு தளவிளைவாக்கிகளின் அச்சுகளுக்கு இடையில் என்ன கோணம் இருந்தால், வெளிப்படும் ஒளியின் செறிவு 3 Wm–2 ஆக இருக்கும்?
தீர்வு. கொடுக்கப்பட்டவை:
P1லிருந்து வெளிப்படும் ஒளியின் செறிவு
I1 = I0
/ 2
P2 லிருந்து வெளிப்படும் ஒளியின் செறிவு
I2 = I1 cos2 θ
இங்கு θ என்பது P1 மற்றும் P2
என்பதற்கு இடையே உள்ள கோணம்.
P2 மற்றும் P3 என்பதற்கிடையே உள்ள கோணம் 90° - θ
மேலும் P3 லிருந்து வெளிப்படும் ஒளியின் செறிவு,

முதல் தளவிளைவாக்கிக்கு பின்னர் உள்ள செறிவு = 32 / 2 = 16 Wm-2
θ என்பது முதல் மற்றும் இரண்டாவது தளவிளைவாக்கிகளுக்கு இடையே
உள்ள கோணம்.
ஃ செறிவு I = 16cos2 θ
இரண்டாவது மற்றும் மூன்றாவது தளவிளைவாக்கிகளுக்கு இடையே உள்ள கோணம் 90o - θ.
ஃ செறிவு I = 3 = 16cos2 θ. cos2
(90o - θ)
3 = 16cos2
θ sin2 θ
3 = 16 (cos θ sin θ)2

ஆகவே முதல் மற்றும் நடு தளவிளைவாக்கிகளுக்கு இடையே உள்ள கோணம் 30° ஆகும்.
[விடை: Ans: 30°]
8. தளவிளைவு அடையாத ஒளி அடர்மிகு ஊடகம் ஒன்றிற்கு வரையப்பட்ட செங்குத்துக் கோட்டுடன் 60° கோணத்தில் படும்போது எதிரொளிக்கப்பட்ட ஒளி முழுவதும் தளவிளைவு அடைந்ததாகக் காணப்படுகிறது. ஒளிவிலகல் கோணம் மற்றும் அடர்மிகு ஊடகத்திலிருந்து அடர்குறை ஊடகத்தில் ஏற்படும் முழு அக எதிரொளிப்பின் மாறுநிலைக் கோணம் ஆகியவற்றைக் கணக்கிடுக.
தீர்வு. கொடுக்கப்பட்டவை:
தளவிளைவுக் கோணம், ip = 60°
ஒளி விலகல் கோணம் rp என்க.
rp = 90o
– i
= 90o –
60o
ஒளி விலகல் கோணம் rp = 30o
முழு அக எதிரொளியின் மாறுநிலைக் கோணம் = θc என்க.
n = 1/sin θc
புருஸ்டர் விதியின்படி, n = tan ip
tan ip = 1/sin θc
sin θc
= 1 / tan ip
தளவிளைவுக் கோணம் ip = 60°
sin θc
= 1 / tan 60o = 1/ √3 = 0.5773
θc = sin-1
(0.5774) = 35.26o ≈ 35o15
θc =
35.15o
[விடை: 30°, 35.15°]
9. ஒரு நபரின் அண்மைப்புள்ளி 50 cm மற்றும் சேய்மைப்புள்ளி 500 cm. 25 cm தொலைவில் உள்ள ஒரு புத்தகத்தைப் படிக்க அவர் அணிய வேண்டிய லென்சின் திறனைக் கணக்கிடுக. இந்த லென்சினைக் கொண்டு அவரால் தெளிவாகக் காணக்கூடிய பெருமைத் தொலைவு எவ்வளவு?
தீர்வு.
vn = - 50 cm = -0.5 m
vf = -
500 cm = -5 m
u = 25 cm = -0.25 m
கண்டறிய:
(i) லென்ஸின் திறன் P = ?
(ii) பெருமத் தொலைவு umax = ?
(i) லென்ஸின் திறன்:

(ii) பெருமத் தொலைவு (umax)
தொலைவில் உள்ள பொருட்களைப் பார்க்க

இந்த லென்சினைக் கொண்டு அந்த நபரால் தெளிவாகக் காணக்கூடிய பெருமத் தொலைவு = 45.45 cm
[விடை: 2D, 45.45 cm]
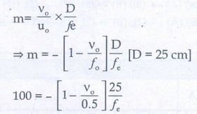
10. ஈறிலாத் தொலைவில் பிம்பம் தோன்றும் கூட்டு நுண்ணோக்கியின் உருப்பெருக்கத்திறன் 100. பொருளருகு லென்சின் குவியத்தூரம் 0.5 cm மற்றும் குழலின் நீளம் 6.5 cm என இருந்தால், கண்ணருகு லென்சின் குவியத்தூரத்தின் மதிப்பு என்ன?
தீர்வு:

vo + fe = 6.5 cm ------------------(1)

100 fe = −(1 − 2vo) × 25
2vo − 4fe = 1 ------------------(2)
(1) மற்றும் (2) சமன்பாட்டினை சீரமைத்தபின்
vo = 4.5 cm மற்றும் fe = 2 cm
[விடை: 3.25 cm]
(குறிப்பு: உருப்பெருக்கம் என்பது உருப்பெருக்கத்திறன் என்றும் அழைக்கப்படுகிறது).