ஒளியியல் கருவிகள் | இயற்பியல் - ஆற்றல் குவாண்டமாக்கல் பற்றிய கருத்து | 12th Physics : UNIT 8 : Dual Nature of Radiation and Matter
ஆற்றல் குவாண்டமாக்கல் பற்றிய கருத்து
அலைக்கொள்கையின்
தோல்வி
மாக்ஸ்வெல்லின் கொள்கையிலிருந்து, ஒளி என்பது
3x 108 ms-1திசைவேகத்தில் செல்லக்கூடிய பிணைக்கப்பட்ட மின் மற்றும்
காந்த அலைவுகளைக் கொண்டுள்ள மின்காந்த அலைகளால் ஆனது என்பதையும், இவை அலைப்பண்பைக்
கொண்டிருக்கும் என்பதையும் கற்றோம் (பார்க்க: தொகுதி 1 அலகு 5). ஒளியின் அலைப்பண்பினைப்
பயன்படுத்தி ஒளிமின் விளைவு சோதனை முடிவுகளை விவரிக்க நாம் முயல்வோம்.
i) உலோக இலக்கின் மீது ஒளிபடும்போது, உலோகத்தில்
உள்ள எலக்ட்ரான்களுக்கு ஆற்றல் தொடர்ச்சியாக அளிக்கப்படுகிறது. அலைக் கொள்கையின்படி,
அதிக செறிவுள்ள ஒளியானது உமிழப்படும் எலக்ட்ரான்களுக்கு அதிக இயக்க ஆற்றலைத் தரவேண்டும்
(இங்கு ஒளிச்செறிவு என்பது ஓரலகு நேரத்தில் ஓரலகு பரப்பில் தரப்படும் ஆற்றலாகும்).
ஆனால் இவ்விதம் நடைபெறவில்லை . ஒளி எலக்ட்ரான்களின்
பெரும இயக்க ஆற்றலானது ஒளியின் செறிவினைப் பொருத்தது அல்ல என சோதனையின் முடிவுகள் காட்டுகின்றன.
ii) அலைக்கொள்கையின்படி, உலோகப் பரப்பின் மீது
போதுமான செறிவுள்ள ஒளிக்கற்றை படும் போது, ஒளிக்கற்றையின் அதிர்வெண் எவ்வளவு குறைவாக
இருந்தாலும், உலோகப் பரப்பிலிருந்து எலக்ட்ரான்கள் உமிழப்படும்.
ஆனால் சோதனைகளின்படி, குறிப்பிட்ட அதிர்வெண்ணிற்கு
கீழே ஒளிமின் உமிழ்வு ஏற்படுவதில்லை. எனவே அலைக் கொள்கையினால் பயன்தொடக்க அதிர்வெண்ணின்
இருப்பை விவரிக்க இயலவில்லை .
iii) ஒளியின் ஆற்றலானது அலைமுகப்பு முழுவதும்
பரவி இருக்கும் என்பதால், இந்த ஆற்றலை மிக அதிக எண்ணிக்கையிலான எலக்ட்ரான்கள் பெறுகின்றன.
ஒவ்வொரு எலக்ட்ரானும் வெளியேற்று ஆற்றலை விட அதிகமான அளவு ஆற்றலைப் பெறுவதற்கு கணிசமான
(சில மணி நேரம்) அளவு நேரத்தை எடுத்துக்கொள்ளும்.
ஆனால் ஒளிமின் விளைவு என்பது உடனடி நிகழ்வு
என்பதை சோதனைகள் காட்டியுள்ளன. (பரப்பு ஒளியூட்டப்படுவதற்கும் எலக்ட்ரான் வெளியேறுவதற்கும்
இடையே உள்ள கால இடைவெளி 10-9 வினாடிக்கும் குறைவாக இருக்கும்). இதனை அலைக்கொள்கையால்
விவரிக்க இயலவில்லை .
எனவே அலைக்கொள்கையின் அடிப்படையில் ஒளிமின்
விளைவுக்கான சோதனை முடிவுகளை விவரிக்க முடியவில்லை .
எடுத்துக்காட்டு
7.1
சீசியத்தில் ஏற்படும் ஒளிமின் உமிழ்வில், அலைக்
கொள்கையானது பின்வரும் முடிவுகளை கணிக்கிறது என்பதைக் காண்பிக்கவும்.
i) ஒளிஎலக்ட்ரான்களின் பெரும இயக்க ஆற்றலானது
(Kபெருமம்) படுஒளியின் செறிவைச் (I) சார்ந்துள்ளது.
ii) பெரும இயக்க ஆற்றல் (Kபெருமம்)
ஆனது படுஒளியின் அதிர்வெண்ணைச் சார்ந்து அமையாது மற்றும்
iii) ஒளி படுவதற்கும் ஒளிஎலக்ட்ரான்கள் உமிழப்படுவதற்கும்
இடைப்பட்ட கால இடைவெளி மிக அதிகமாக அமையும்.
(தரவுகள்: சீசியத்தின் ஒளிமின் வெளியேற்று
ஆற்றல் 2.14 eV மற்றும் அதில் அளவிடக்கூடிய ஒளிமின்னோட்டத்தை உருவாக்குவதற்கு ஓரலகு
பரப்பில் உட்கவரப்படும் திறன் மதிப்பு 1.60x10-6Wm-2 ஆகும்)
தீர்வு
i) அலைக்கொள்கையின்படி, ஒளி ஆற்றலானது அலைமுகப்பு
முழுவதிலும் சீராகவும், தொடர்ச்சி யாகவும் பரவியிருக்கும். எளிமைக்காக பின்வரும் யூகங்கள்
மேற்கொள்ளப்படுகின்றன.
அ) ஒளியானது உலோகத்தின் மேல் அடுக்கில் உள்ள
அணுக்களால் உட்கவரப்படுகிறது.
ஆ) கொடுக்கப்படும் தனிமத்தில், ஒவ்வொரு அணுவும்
சம அளவு ஆற்றலை உட்கவர்கின்றன. இந்த ஆற்றலானது அவற்றின் குறுக்கு வெட்டுப்பரப்பு A
விற்கு நேர்த்தகவில் அமையும்.
இ) ஒவ்வொரு அணுவும் இந்த ஆற்றலை தங்கள் எலக்ட்ரான்களில்
ஒரு எலக்ட்ரானுக்கு அளிக்கிறது.
t கால அளவில் ஒவ்வொரு எலக்ட்ரானும் உட்கவரும்
ஆற்றல் E ஆனது

இந்த ஆற்றலை உட்கவர்ந்து, எலக்ட்ரான்கள் பரப்பு
அரண் அல்லது வெளியேற்று ஆற்றலைக் (Ø0.) கடந்து வெளியேறுகின்றன. வெளிவரும்
எலக்ட்ரானின் பெரும் ஆற்றல் Kபெருமம் பின்வரும் சமன்பாட்டால் குறிக்கப்படுகிறது.

எனவே அலைக்கொள்கையின்படி ஓரலகு காலத்தில்,
குறைந்த ஒளிச்செறிவில் IA<Ø0
எனும் போது, எலக்ட்ரான்கள் உமிழப்படுவதில்லை . அதிக ஒளிச்செறிவில் IA ≥ Ø0எனும் போது, எலக்ட்ரான்கள் உமிழப்படுகின்றன.
இதிலிருந்து ஒளிச்செறிவு அதிகரிக்கும் போது Kபெருமம் அதிகரிக்கும் எனத்
தெரிகிறது.
ஆனால், மிகக் குறைந்த மற்றும் மிக அதிகமான
ஒளிச் செறிவுகளில் செய்யப்பட்ட பரிசோதனைகளின் முடிவுகளுக்கு அலைக் கொள்கையின் கணிப்புகள்
முரணாக அமைந்துள்ளன.
கொடுக்கப்பட்ட சூழ்நிலைகளில், Kபெருமம்
மதிப்பானது செறிவினை மட்டும் சார்ந்துள்ளது. ஒளிச்செறிவினை உரிய முறையில் அதிகரிக்கும்
போது, ஒளியின் அதிர்வெண் பயன்தொடக்க அதிர்வெண்ணை விட குறைவாக இருக்கும் நிலைகளில் கூட
ஒளிமின் விளைவை ஏற்படுத்த முடியும். எனவே அலைக்கொள்கையில், பயன்தொடக்க அதிர்வெண் எனும்
கருத்து இடம் பெறவில்லை.)
ii) அலைக்கொள்கையின்படி, ஒளி அலையின் செறிவானது
மின்புல வீச்சின் இருமடிக்கு (E02) நேர்த்தகவில் அமையும். ஒளிச்செறிவு
அதிகரிக்கும் போது மின்புலத்தின் வீச்சு அதிகரித்து, எலக்ட்ரானின் முடுக்கத்தையும்
இயக்க ஆற்றலையும் அதிகரிக்கிறது.
இப்போது சமன்பாடு (1) இல் I என்பதற்கு பதிலாக,
(E02) க்கு நேர்த்தகவில் உள்ள ஒரு அளவினைக் கொண்டு மாற்றுவோம்.
அதாவது Kபெருமம் ஆனது அதிர்வெண்ணைச் சார்ந்து அமைவதில்லை என்பது அலைக்கொள்கையின்
முடிவு ஆகும்.
[இது மீண்டும் பரிசோதனை முடிவுகளுக்கு முரண்படுகிறது.]
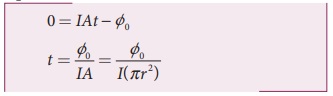
iii) ஒளிமின் வெளியேற்று ஆற்றலைக் கடப்பதற்கு
தேவையான ஆற்றலை மட்டும் ஒளியிலிருந்து எலக்ட்ரான் பெறுவதாகக் கொள்வோம் எனில், அணுவிலிருந்து
இந்த எலக்ட்ரான் சுழி இயக்க ஆற்றலுடன் வெளியேறுகிறது. எனவே (1) எனும் சமன்பாட்டிலிருந்து

அணுவின் ஆரம் r =1.0x10-10 m, I
மற்றும் Ø0. மதிப்புகளைப் பிரதியிட்டு, கால இடைவெளி t இன் மதிப்பைக் கணக்கிடலாம்.

எனவே அலைக் கொள்கையானது ஒளி அலைகள் படுவதற்கும்
ஒளி எலக்ட்ரான்கள் உமிழ்ப்படுவதற்கும் இடையே அதிக கால இடைவெளி உள்ளது எனக் கணிக்கிறது.
[ஆனால் பரிசோதனை முடிவுகள் ஒளிமின் உமிழ்வு
ஒரு உடனடி நிகழ்வு எனக் காட்டியுள்ளன.)
ஆற்றல்
குவாண்டமாக்கல் பற்றிய கருத்து
1900 இல் மேக்ஸ் பிளாங்க் என்பவர் கரும்பொருளிலிருந்து
உமிழப்படும் வெப்பக் கதிர்வீச்சு மற்றும் அதன் கதிர்வீச்சு வரைபடங்களின் வடிவங்களை
விவரிக்க குவாண்டம் கொள்கையை எடுத்துரைத்தார்.
பிளாங்க் கொள்கைப்படி, ஒரு பொருளானது அதிக
எண்ணிக்கையிலான வெவ்வேறு அதிர்வெண்ணில் அதிர்வடையும் துகள்களைக் (அணுக்களைக்) கொண்டிருக்கும்.
தமது சிறப்பியல்பு அதிர்வெண்ணில் அதிர்வுறும் ஒவ்வொரு அணு அலையியற்றியும், அதே அதிர்வெண்
கொண்ட மின்காந்தக் கதிர்வீச்சை உமிழும் அல்லது உட்கவரும். மேலும்,
i) v எனும் அதிர்வெண்ணில் அலையியற்றி ஒன்று
அதிர்வுறுகிறது எனில், அதன் ஆற்றலானது குறிப்பிட்ட தொடர்ச்சியற்ற (தனித்தனியான) மதிப்புகளை
மட்டுமே பெற்றிருக்கும். அவை பின்வரும் சமன்பாட்டினால் தரப்படுகின்றன

இங்கு h என்பது ஒரு மாறிலி ஆகும். இது பிளாங்க்
மாறிலி ஆகும்.
ii) அலையியற்றிகள் ஆற்றலை குவாண்டா எனும் ஆற்றல் சிப்பங்களாக உமிழும் அல்லது உட்கவரும். ஒவ்வொரு சிப்பத்தின் ஆற்றல் E = hv ஆகும்.
இதன் மூலம் நாம் அறிவது, அலைக் கொள்கையில்
விவரிக்கப்பட்டதைப் போல அலையியற்றியின் ஆற்றலானது தொடர்ச்சியாக இல்லாமல், குவாண்டமாக
உள்ளது - அதாவது, தொடர்ச்சியற்ற (தனித்தனியான) சிறு சிறு சிப்பங்களாக உள்ளது. இதுவே
ஆற்றல் குவாண்டமாக்கல் எனப்படும்.