துகள்களாலான அமைப்பு மற்றும் திண்மப் பொருட்களின் இயக்கம் - சரியான விடையைத் தேர்ந்தெடுத்து எழுதுக | 11th Physics : UNIT 5 : Motion of System of Particles and Rigid Bodies
துகள்களாலான அமைப்பு மற்றும் திண்மப் பொருட்களின் இயக்கம்
சரியான விடையைத் தேர்ந்தெடுத்து எழுதுக
1. துகள்களால் ஆன அமைப்பின் நிறை மையம் சாராதிருப்பது
(a) துகள்களின் நிலை
(b) துகள்களுக்கிடையே உள்ள தொலைவு
(C) துகள்களின் நிறை
(d) துகளின் மீது செயல்படும் விசை
விடை: d) துகளின் மீது செயல்படும் விசை
2. இரட்டை உருவாக்குவது.
(a) சுழற்சி இயக்கம்
(b) இடப்பெயர்ச்சி இயக்கம்
(c) சுழற்சி மற்றும் இடப்பெயர்ச்சி
(d) இயக்கமின்மை
விடை : a) சுழற்சி இயக்கம்
3. துச்சுக்கு ஆங்கிகெ என் துகள் ஒன்று மாறாத திசைவேகத்துடன் X அச்சுக்கு இணையான நேர்க்கோட்டின் வழியே இயங்கி கொண்டிருக்கிறது. ஆதியைப் பொருத்து எண்ணளவில் அதன் கோண உந்தம்.
(a) சுழி
(b) X ஜப் பொருத்து அதிகரிக்கிறது
(c) X ஜப் பொருத்து குறைகிறது
(d) மாறாதது
விடை : d) மாறாதது
4. 3 Kg நிறையும் 40 cm ஆரமும் கொண்ட உள்ளீடற்ற உருளையின் மீது கயிறு ஒன்று சுற்றப்பட்டுள்ளது. கயிற்றை 30N விசையை கொண்டு இழுக்கப்படும் போது உருளையின் கோண முடுக்கத்தை காண்க.
(a) 0.25 rad s-2
(b) 25 rad s-2
(c) 5m s-2
(d) 25 ms-2
விடை : b) 25 rad s-2
தீர்வு :

τ = Iα ;
F × R = MR2α
30 × 0.4 = 3(0.4)2 α
12 = 3 × 0.16 α
400 = 16 α
α = 25 rad s-2
5. உருளை வடிவக் கலனில் பகுதியாக நீர் நிரப்பப்பட்டு மூடி வைக்கப்பட்டுள்ளது. கலனிற்கு செங்குத்து இரு சம வெட்டியின் வழிச்செல்லும் அச்சைப்பற்றி கிடைத் தளத்தில் சுழலும் போது அதன் நிலைமத் திருப்புத்திறன்.
(a) அதிகரிக்கும்
(b) குறையும்
(c) மாறாது
(d) சுழலும் திசையைச் சார்ந்தது
விடை : a) அதிகரிக்கும்
6. திண்பொருள் ஒன்று கோண உந்தம் L உடன் சுழல்கிறது இதன் இயக்க ஆற்றல் பாதியானால் கோண உந்தமானது
(a) L
(b) L/2
(c) 2L
(d) L / √2
விடை : d) L / √2
தீர்வு :
L2 = 2I(KE) ;
KE = Half
L2 = 2I (KE / 2)
L2 = L2 / 2
L2 = 2I × [ L2 / 2I ] × [ 1/2 ]
L = √[L2 / 2]
L = L / √2
7. துகள் ஒன்று சீரான வட்ட இயக்கத்திற்கு உட்படுகிறது. கோண உந்தம் எதைப் பொருத்து மாறாது
a) வட்டத்தின் மையத்தை
b) வட்டப்பரிதியில் ஏதேனும் ஒரு புள்ளியை
(c) வட்டத்தின் உள்ளே ஏதேனும் ஒரு புள்ளியை
d) வட்டத்தின் வெளியே ஏதேனும் ஒரு புள்ளியை
விடை : a) வட்டத்தின் மையத்தை
8. ஒரு நிறையானது நிலையான புள்ளியைப் பொருத்து ஒரு தளத்தில் சுழலும் போது, அதன் கோண உந்தத்தின் திசையானது.
(a) சுழலும் தளத்திற்கு செங்குத்துத் திசையில் செல்லும் கோட்டின் வழியாக இருக்கும்.
(b) சுழலும் தளத்திற்கு 45° கோணத்தில் செல்லும் கோட்டின் வழியாக இருக்கும்.
(c) ஆரத்தின் வழியாக இருக்கும்.
(d) பாதையின் தொடுகோட்டு திசையின் வழியாக இருக்கும்.
விடை : a) சுழலும் தளத்திற்கு செங்குத்துத் திசையில் செல்லும் கோட்டின் வழியாக இருக்கும்.
9. சமமான நிலைமத் திருப்புத்திறன் கொண்ட வட்டத்தட்டுகள், மையம் வழியே வட்டத்தட்டுகளின் தளத்திற்கு செங்குத்தாக செல்லும் அச்சைப் பற்றி ω1, மற்றும் ω2 என்ற கோண திசைவேகங்களுடன் சுழல்கின்றன. இவ்விரு வட்டத்தட்டுகளின் அச்சுகளை ஒன்றிணைக்குமாறு அவை ஒன்றுடன் ஒன்று பொருத்தப்படுகின்றன எனில், இந்நிகழ்வின் போது ஆற்றல் இழப்பிற்கான கோவையானது.
(a) 1/4 I (ω1- ω2)2
(b) I (ω1- ω2)2
(c) 1/8 I (ω1- ω2)2
(d) 1/2 I (ω1- ω2)2
விடை : (a) 1/4 I (ω1- ω2)2
தீர்வு :
Δ KE = 1/2 ([I1 I2] / [I1 + I2]) (ω1 – ω2)2
= 1/2 (I 2 / (2I)) (ω1 – ω2)2
= 1/4 I (ω1 – ω2)2
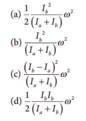
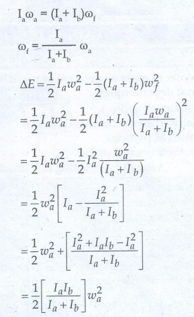
10. Ia நிலைமத் திருப்புத்திறன் கொண்ட வட்டத்தட்டு மாறாத கோண திசைவேகம் ω வுடன் கிடைத்தளத்தில் சமச்சீரான அச்சைப் பற்றி சுழல்கிறது. ஓய்வு நிலையிலுள்ள மற்றொரு வட்டத்தட்டின் Ib என்ற நிலைமத்திருப்புத்திறனுடன் சுழலும் வட்டத்தட்டின் மீது அச்சுழலும் அச்சிலேயே விடப்படுகிறது. இதனால் இரு வட்டத்ததட்டுகளும் மாறா கோண வேகத்தில் சுழல்கிறது. இந்நிகழ்வில் உராய்வினால் ஏற்படும் ஆற்றல் இழப்பு.

விடை : d d) 1/2 { [IbIb] / (Ia + Ib) } ω2
Li = Lf
Iaωa = Ifωf
Iaωa = (Ia+Ib)ωf

11. M நிறையும் R ஆரமும் கொண்ட திண்மக் கோணமானது θ கோணம் உள்ள சாய்தளத்தில் கீழ்நோக்கி நழுவாமல் உருளுதலின் போதும் உருளாமல் சறுக்குதலின் போதும் பெற்றிருக்கும் முடுக்கங்களின் விகிதம்.
(a) 5:7
(b) 2:3
(c) 2:5
(d) 7:5
விடை : a) 5:7
தீர்வு :
a1 = [ g sin θ ] / [ 1 + K2/r2 ]
a2 = g sin θ
a1 / a2 = 1 / { 1 + K2/r2 } = 1 / { 1 + 2/5} = 5 / 7 = 5 : 7
12. மையத்தை தொட்டுச் செல்லும் R விட்ட முடைய வட்டத்தட்டு வெட்டி எடுக்கப்படுகிறது. மீதமுள்ள பகுதியின் தளத்திற்கு செங்குத்தான அச்சைப் பொருத்து நிலைமத் திருப்புத் திறனானது.
a) 15MR2/32
b) 13MR2/32
c) 11MR2/32
d) 9MR2/32
விடை : b) 13MR2/32
தீர்வு :
Ir = 1/2 MR2
M1 = [ M / 4πR2 ] × 4π(R/2)2 = M / 4
IR = [ 1/2 M1(R/2)2 ] + [ M1(R/2)2 ]
= [ 1/2 M/4 R2/4 ] + [ MR2 / 16 ] = 3/32 MR2
IRemain = Ir − IR = 1/2 MR2 – 3/32 MR2 = 13/32 MR2
13. திண்மக்கோளம் ஒன்று சறுக்காமல் உச்சியிலிருந்து கீழ்நோக்கி அமைதி நிலையிலிருந்து h குத்துயரம் கொண்ட சாய்தளத்தை கடக்கும்போது அதன் வேகம்.

விடை : a
விடை : a / b) √[ (4 / 3) gh ] / √[ (10 / 7) gh ]
14. கிடைத்தளத்தில் உருளும் சக்கரம் ஒன்றின் மையத்தின் வேகம் v0 சக்கரத்தின் பரியில் மையப்புள்ளிக்கு இணையான உயரத்தில் உள்ள புள்ளி இயக்கத்தின் போது பெற்றிருக்கும் வேகம்.
(a) சுழி
(b) vo
(c) √2vo
(d) 2vo
விடை : (c) √2vo
தீர்வு : v = √[ V02 + V2 ]
v = √[2V02]
v = √2 V0
15. சாய்தளத்தில் M நிறையும் R ஆரமும் கொண்ட உருளை வடிவப்பொருள் நழுவாமல் கீழ்நோக்கி உருள்கிறது. அது உருளும் உராய்வு விசையானது.
(a) இயக்க ஆற்றலை வெப்ப ஆற்றலாக மாற்றும்.
(b) சுழற்சி இயக்கத்தை குறைக்கும்.
(c) சுழற்சி மற்றும் இடப்பெயர்ச்சி இயக்கங்களை குறைக்கும்.
(d) இடப்பெயர்ச்சி ஆற்றலை சுழற்சி ஆற்றலாக மாறும்.
விடை : d) இடப்பெயர்ச்சி ஆற்றலை சுழற்சி ஆற்றலாக மாறும்.
விடைகள்:
1) d 2) a 3) d 4) b
5) a 6) d 7) a 8) a
9) a 10) d 11) a 12) b
13) a 14) c 15) d