பல்வேறு வினாக்களுக்கான கேள்வி பதில்கள் - சரியான விடையினைத் தேர்வு செய்க | 11th Chemistry : UNIT 11 : Fundamentals of Organic Chemistry
மதிப்பீடுக
சரியான விடையினைத் தேர்வு செய்க
1. ஒரே ஒரு π பிணைப்பை கொண்டுள்ள சேர்மத்தை தேர்ந்தெடுக்கவும்.
அ) CH3 – CH = CH - CH3
ஆ) CH3 – CH = CH - CHO
இ) CH3 – CH = CH - COOH
ஈ) இவை அனைத்தும்
[விடை : அ) CH3 – CH = CH - CH3]
2. 7CH3 - 6CH2 - 5CH = 4CH - 3CH2 - 2C ≡ 1CH என்ற ஹைட்ரோ கார்பனில், கார்பன் 1, 2, 3, 4 மற்றும் 7 ல் உள்ள இனக்கலப்பு நிலை கீழ்க்கண்டவரிசையில் அமைகிறது.
அ) sp, sp, sp3, sp2, sp3
ஆ) sp2, sp, sp3, sp2, sp3
இ) sp, sp, sp2, sp, sp3
ஈ) இவை அனைத்தும்
[விடை : அ) sp, sp, sp3, sp2, sp3]
3. ஆல்காடையீன்களின் பொதுவான வாய்பாடு
அ) Cn H2n
ஆ) Cn H2n-1
இ) Cn H2n-2
ஈ) Cn Hn-2
[விடை : இ) Cn H2n-2]
4. 5, 6 -டைமெத்தில் ஹெப்ட் - 2- ஈன் என்ற IUPAC பெயர் கொண்ட சேர்மத்தின் அமைப்பு

ஈ) இவை அனைத்தும்
[விடை : அ)]
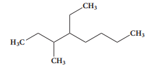
5.
என்ற சேர்மத்தின் IUPAC பெயர்
அ) 2, 3 -டை மெத்தில்ஹெப்டேன்
ஆ) 3-மெத்தில் - 4 - எத்தில் ஆக்டேன்
இ) 5-எத்தில் - 6- மெத்தில்ஆக்டேன்
ஈ) 4 - எத்தில் -3 மெத்தில்ஆக்டேன்.
[விடை : ஈ) 4 - எத்தில் -3 மெத்தில்ஆக்டேன். ]
6. கீழ்க்கண்டுள்ள பெயர்களுள் எது உண்மையான பெயருடன் பொருந்தவில்லை?
அ) 3 - மெத்தில் -3-ஹெக்ஸனோன்
ஆ) 4-மெத்தில் -3- ஹெக்ஸனோன்
இ) 3 - மெத்தில் -3- ஹெக்ஸனால்
ஈ) 2 - மெத்தில் சைக்ளோ ஹெக்ஸனோன்
[விடை : அ) 3 - மெத்தில் -3-ஹெக்ஸனோன்]
7. CH3-CH = CH – C ≡ CH என்ற சேர்மத்தின் IUPAC பெயர்
அ) பென்ட் - 4 - ஐன் -2-ஈன்
ஆ) பென்ட் -3-ஈன் -1-ஐன்
இ) பென்ட் - 2 -ஈன் -4 - ஐன்
ஈ) பென்ட் - 1 - ஐன் -3 –ஈன்
[விடை : ஆ) பென்ட் -3-ஈன் -1-ஐன்]
8.
இன் IUPAC பெயர்
அ) 3,4,4-ட்ரைமெத்தில் ஹெப்டேன்.
ஆ) 2 - எத்தில் -3, 3- டைமெத்தில் ஹெப்டேன்
இ) 3, 4, 4 - ட்ரை மெத்தில்ஆக்டேன்
ஈ) 2 - பியூடைல் - 2 மெத்தில் -3 - எத்தில் -பியூடேன்.
[விடை : இ) 3, 4, 4 - ட்ரை மெத்தில்ஆக்டேன்]
9.
ன் IUPAC பெயர்
அ) 2,4,4 - ட்ரைமெத்தில் பென்ட் -2-ஈன்
ஆ) 2,4,4 - ட்ரை மெத்தில்பெண்ட்-3-ஈன்
இ) 2,2,4 - ட்ரைமெத்தில் பென்ட் -3-ஈன்
ஈ) 2,2,4 - ட்ரைமெத்தில் பென்ட் -2-ஈன்
[விடை : அ) 2,4,4 - ட்ரைமெத்தில் பென்ட் -2-ஈன்]
10.
என்ற சேர்மத்தின் IUPAC பெயர்
அ) 3 - எத்தில் -2- ஹெக்ஸீன்
ஆ) 3 - புரப்பைல் -3- ஹெக்ஸீன்
இ) 4 - எத்தில் 4-ஹெக்ஸீன்
ஈ) 3 –புரப்பைல்-2-ஹெக்ஸீன்
[விடை : அ) 3 - எத்தில் -2- ஹெக்ஸீன் ]
11.
என்ற சேர்மத்தின் IUPAC பெயர்
அ) 2 - ஹைட்ராக்சி புரப்பியோனிக் அமிலம்
ஆ) 2 - ஹைட்ராக்சி புரப்பனோயிக் அமிலம்
இ) புரப்பேன் -2-ஆல்-1-ஆயிக் அமிலம்
ஈ) கார்பாக்சி எத்தனால்.
[விடை : ஆ) 2 - ஹைட்ராக்சி புரப்பனோயிக் அமிலம்]
12.
IUPAC பெயர்
அ) 2 - புரோமோ -3 – மெத்தில் பியூட்டனாயிக் அமிலம்
ஆ) 2 - மெத்தில் - 3 – புரோமோ பியூட்டனாயிக் அமிலம்
இ) 3 - புரோமோ - 2 – மெத்தில் பியூட்டனாயிக் அமிலம்
ஈ) 3 - புரோமோ - 2, 3 - டைமெத்தில் புரோப்பனாயிக் அமிலம்.
[விடை : இ) 3 - புரோமோ - 2 – மெத்தில் பியூட்டனாயிக் அமிலம்]
13. கரிமச் சேர்மத்தில் காணப்படும் ஐசோபியூட்டைல் தொகுதியின் அமைப்பு

[விடை : இ)]
14. 1, 2 - டை ஹைட்ராக்சி சைக்ளோ பென்டேனில் காணப்படும் புறவெளி மாற்றிய அமைப்புகளின் எண்ணிக்கை.
அ) 1
ஆ) 2
இ) 3
ஈ) 4
[விடை : இ) 3]
15. பின்வருவனவற்றுள் எது ஒளிசுழற்றும் பண்புடையது?
அ) 3 - குளோரோபென்டேன்
ஆ) 2 குளோரோ புரப்பேன்
இ) மீசோ டார்டாரிக் அமிலம்
ஈ) குளூக்கோஸ்
[விடை : ஈ) குளூக்கோஸ்]
16. எத்தனாலின் மாற்றியம்
அ) அசிட்டால்டிஹைடு
ஆ) டை மெத்தில் ஈதர்
இ) அசிட்டோன்
ஈ) மெத்தில் கார்பினால்
[விடை : ஆ) டை மெத்தில் ஈதர்]
17. C3H6O என்ற மூலக்கூறு வாய்பாட்டிற்கு சாத்தியமான வளைய மற்றும் திறந்த அமைப்புடைய மாற்றியங்களின் எண்ணிக்கை யாது?
அ) 4
ஆ) 5
இ) 9
ஈ) 10
[விடை : இ) 9 ]
18. பின்வருவனவற்றுள் எதில் வினைச்செயல் தொகுதி மாற்றியம் காணப்படுகிறது?
அ) எத்திலீன்
ஆ) புரப்பேன்
இ) எத்தனால்
ஈ) CH2Cl2
[விடை : இ) எத்தனால்]
19.
ஆகியவை
அ) உடனிசைவு அமைப்புகள்
ஆ) இயங்கு சமநிலை மாற்றியம்
இ) ஒளி சுழற்றும் மாற்றமைப்பு
ஈ) வசஅமைப்புக்கள்
[விடை : ஆ) இயங்கு சமநிலை மாற்றியம்]
20. ஒரு கரிமச் சேர்மத்தில் உள்ள நைட்ரஜனை கண்டறிய லாசிகன் சோதனை நிகழ்த்தப்படுகிறது. இவ்வினையில் நீல நிறம் உருவாவதற்க்கான காரணம்.
அ) Fe3 [Fe(CN)6]2
ஆ) Fe4 [Fe(CN)6]3
இ) Fe4 [Fe(CN)6]2
ஈ) Fe3 [Fe(CN)6]3
[விடை : ஆ) Fe4 [Fe(CN)6]3]
21. பின்வரும் எச்சேர்மத்திற்கு லாசிகன் சோதனையை பயன்படுத்தி நைட்ரஜனை கண்டறிய இயலாது?
அ) H2N - CO - NH.NH2 .HCl
ஆ) NH2 - NH2.HCl
இ) C6H5 – NH - NH2 . HCl
ஈ) C6H5 CONH2
[விடை : இ) C6H5 – NH - NH2 . HCl]
22. பின்வருவனவற்றுள் எந்த சேர்ம இணையானது அவற்றை தனித்தனியே லாசிகன் ஆய்விற்கு உட்படுத்தும்போது முறையே நீலநிறம்/ வீழ்படிவு மற்றும் வெண்ணிற வீழ்படிவினைத் தருகிறது.
அ) NH2 NH2 HCl மற்றும் ClCH2 -CHO
ஆ) NH2 CS NH2 மற்றும் CH3 – CH2Cl
இ) NH2 CH2 COOH மற்றும் NH2 CONH2
ஈ) C6H5 NH2 மற்றும் ClCH2 - CHO.
[விடை : ஈ) C6H5 NH2 மற்றும் ClCH2 - CHO.]
23. சோடியம் நைட்ரோபுருசைடு, சல்பைடு அயனியுடன் வினைப்பட்டு ஊதா நிறத்தை தோற்றுவிப்பதற்கான காரணம்.
அ) [Fe(CN)5 NO]3-
ஆ) [Fe(NO)5 CN]+
இ) [Fe(CN)5 NOS]4-
ஈ) [Fe (CN)5 NOS]3-
[விடை : இ) [Fe(CN) 5 NOS]4-]
24. 0.15g எடையுள்ள கரிமச்சேர்மம், காரியஸ்முறையில் 0.12g சில்வர் புரோமைடை தருகிறது எனில் அச்சேர்மத்தில் உள்ள புரோமினின் சதவீதம்.
அ) 46%
ஆ) 34%
இ) 3.4%
ஈ) 4.6%
[விடை : ஆ) 34%]
25. 0.5 கி கரிம சேர்மம் கெல்டால் முறைப்படி அளந்தறியப்படுகிறது. அம்முறையில் வெளிப்பட்ட அம்மோனியா 50ml 0.5M H2SO4 ஆல் உறிஞ்சப்படுகிறது.
அம்மோனியாவால் நடுநிலையாக்கப்பட்ட பின்னர் எஞ்சியுள்ள அமிலத்தை நடுநிலையாக்க 80 mL 0.5M NaOH தேவைப்படுகிறது எனில் சேர்மத்திலுள்ள நைட்ரஜனின் சதவீதம்
அ) 14%
ஆ) 28%
இ) 42%
ஈ) 56 %
[விடை : ஆ) 28%]
26. கரிம சேர்மத்தில் உள்ள பாஸ்பரஸ் ஆனது பின்வருமாறு அளந்தறியப்படுகிறது
அ) Mg2P2O7
ஆ) Mg3 (PO4) 2
இ) H3PO4
ஈ) P2O5
[விடை : அ) Mg2P2O7]
27. ஆர்தோ மற்றும் பாரா நைட்ரோபீனால் கலவையை பிரித்தெடுக்க பயன்படும் முறை
அ) கொதிநிலைமாறா வாலை வடித்தல்
ஆ) சிதைத்து வடித்தல்
இ) நீராவி வாலை வடித்தல்
ஈ) பிரிக்க முடியாதது
[விடை : இ) நீராவி வாலை வடித்தல்]
28. கரிமச்சேர்மத்தின் தூய்மையை நிர்ணயிக்க பயன்படும் முறை
அ) வண்ணப்பிரிகை
ஆ) படிகமாக்கல்
இ) உருகுநிலை (அல்லது) கொதிநிலை
ஈ) (அ) மற்றும் (இ)
[விடை : ஈ) (அ) மற்றும் (இ)]
29. கொதி நிலையில் சிதைவடையும் நீர்மத்தை தூய்மையாக்க பயன்படும் முறை
அ) வளி மண்டல அழுத்தத்தில் வாலை வடித்தல்
ஆ) குறைந்த அழுத்தத்தில் வாலை வடித்தல்
இ) பின்னவாலை வடித்தல்
ஈ) நீராவி வாலை வடித்தல்
[விடை : ஆ) குறைந்த அழுத்தத்தில் வாலை வடித்தல்]
30. கூற்று:
என்பது 3-கார்பீத்தாக்சி – 2 - பியூட்டீனாயிக் அமிலம்
காரணம்: முதன்மை வினைசெயல் தொகுதியை தொடர்ந்து இரட்டை பிணைப்பு, அல்லது முப்பிணைப்புகள் குறைந்த எண்களைப்பெறும்.
(அ) கூற்று மற்றும் காரணம் ஆகிய இரண்டும் சரி, மேற்சொன்ன கூற்றிற்கான சரியான காரணம் விளக்கப்பட்டுள்ளது.
(ஆ) கூற்று மற்றும் காரணம் ஆகிய இரண்டும் சரி. ஆனால் கூற்றிற்கான சரியான காரணம் விளக்கப்படவில்லை.
(இ) கூற்றுசரி ஆனால் காரணம் தவறு.
(ஈ) கூற்று மற்றும் காரணம் இரண்டும் தவறு.
[விடை : (அ) கூற்று மற்றும் காரணம் ஆகிய இரண்டும் சரி, மேற்சொன்ன கூற்றிற்கான சரியான காரணம் விளக்கப்பட்டுள்ளது.]