அணிகள் மற்றும் அணிக்கோவைகளின் பயன்பாடுகள் - பயிற்சி 1.8: சரியான விடையைத் தேர்ந்தெடுக்க | 12th Maths : UNIT 1 : Applications of Matrices and Determinants
பயிற்சி 1.8
கொடுக்கப்பட்ட நான்கு விடைகளிலிருந்து சரியான அல்லது மிகப் பொருத்தமான விடையைத் தேர்ந்தெடுக்க.
1. |adj (adj A)| = |A|9 எனில், சதுர அணி A −யின் வரிசையானது
(1) 3
(2) 4
(3) 2
(4) 5
விடை: (2) 4

2. A என்ற 3 × 3 பூச்சியமற்றக் கோவை அணிக்கு AAT =ATA மற்றும் B = A−1AT என்றவாறு இருப்பின், BBT =
(1) A
(2) B
(3) I3
(4) BT
விடை: (3) I3

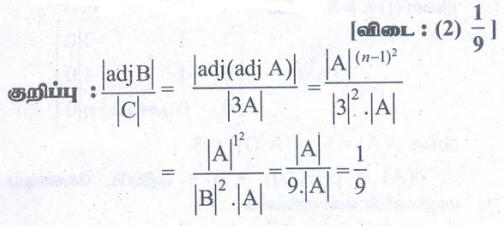
3. A =
, B = adj A மற்றும் C = 3A எனில், |adj B| / |C| =
(1) 1 / 3
(2) 1 / 9
(3) 1 / 4
(4) 1
விடை: (2) 1 / 9

4.
எனில், A =

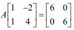
விடை: (3)

5. A =
எனில், 9I2 – A =
(1) A −1
(2) A −1 / 2
(3) 3 A−1
(4) 2 A−1
விடை: (4) 2 A−1

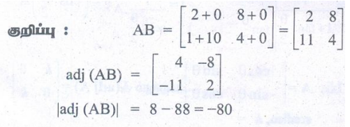
6.
எனில், |adj (AB)| =
(1) −40
(2) −80
(3) −60
(4) −20
விடை: (2) −80

7. P =
என்பது 3 × 3 வரிசையுடைய அணி A −ன் சேர்ப்பு அணி மற்றும் |A| = 4 எனில், x ஆனது
(1) 15
(2) 12
(3) 14
(4) 11
விடை: (4) 11

8.
எனில், a23 −ன் மதிப்பானது
(1) 0
(2) −2
(3) −3
(4) −1
விடை: (4) −1

9. A, B மற்றும் C என்பன நேர்மாறு காணத்தக்கவாறு ஏதேனுமொரு வரிசையில் இருப்பின் பின்வருவனவற்றில் எது உண்மையல்ல?
(1) adj A = |A| A−1
(2) adj (AB) = (adj A) (adj B)
(3) det A−1 = (det A)−1
(4) (ABC)−1 = C−1B−1A−1
விடை: (2) adj (AB) = (adj A) (adj B)
10. (AB)−1 =
எனில், B−1 =

விடை: (1)

11. ATA−1 ஆனது சமச்சீர் எனில், A2 =
(1) A−1
(2) (AT)2
(3) AT
(4) (A−1)2
விடை: (2) (AT)2

12. A என்பது பூச்சியமற்றக் கோவை அணி மற்றும் A −1 =
எனில், (AT)−1 =

விடை: (4)

13. A =
மற்றும் AT = A−1 எனில், x −ன் மதிப்பு
(1) −4 / 5
(2) −3 / 5
(3) 3 / 5
(4) 4 / 5
விடை: (1) −4 / 5

14.
மற்றும் AB = I2 எனில், B =
(1) (cos2(θ/2)) A
(2) (cos2(θ/2)) AT
(3) (cos2 θ) I
(4) (sin2 (θ / 2)) A
விடை: (2) (cos2(θ/2)) AT

15. A =
மற்றும் A (adj A) =
எனில், k =
(1) 0
(2) sin θ
(3) cos θ
(4) 1
விடை: (4) 1

16. A =
மற்றும் λA−1 = A எனில், λ −ன் மதிப்பு
(1) 17
(2) 14
(3) 19
(4) 21
விடை: (3) 19

17. adj
எனில், adj (AB) ஆனது
விடை: (2)

18.
−ன் அணித்தரம்
(1) 1
(2) 2
(3) 4
(4) 3
விடை: (1) 1

19. xayb = em, xcyd = en‚
எனில், x மற்றும் y –ன் மதிப்புகள் முறையே,
(1) e(Δ2 / Δ1) , e(Δ3 / Δ1)
(2) log (Δ1 / Δ3), log (Δ2 / Δ3)
(3) log (Δ2 / Δ1), log (Δ3 / Δ1)
(4)) e(Δ1 / Δ3) , e(Δ2 / Δ3)
விடை: (4)) e(Δ1 / Δ3) , e(Δ2 / Δ3)

20. பின்வருபனவற்றுள் எவை / எவைகள் உண்மையானவை?
(i) ஒரு சமச்சீர் அணியின் சேர்ப்பு அணி சமச்சீராக இருக்கும்.
(ii) ஒரு மூலைவிட்ட அணியின் சேர்ப்பு அணி மூலை விட்ட அணியாக இருக்கும்.
(iii) A என்பது n வரிசையுடைய ஒரு சதுர அணி மற்றும் λ என்பது ஒரு திசையிலி எனில் adj (λA) = λn adj (A) .
(iv) A (adj A) = (adj A) A = |A| I
(1) (i) மட்டும்
(2) (ii) மற்றும் (iii)
(3) (iii) மற்றும் (iv)
(4) (i), (ii) மற்றும் (iv)
விடை: (4) (i), (ii) மற்றும் (iv)
21. ρ (A) = ρ ([A | B]) எனில், AX = B என்ற நேரியச் சமன்பாடுகளின் தொகுப்பானது
(1) ஒருங்கமைவுடையது மற்றும் ஒரே ஒரு தீர்வு பெற்றிருக்கும்
(2) ஒருங்கமைவுடையது
(3) ஒருங்கமைவுடையது மற்றும் எண்ணற்ற தீர்வுகள் பெற்றிருக்கும்
(4) ஒருங்கமைவற்றது
விடை: (2) ஒருங்கமைவுடையது
22. 0 ≤ θ ≤ π மற்றும் x + (sin θ)y − (cos θ)z = 0, (cos θ)x − y + z = 0, (sin θ)x + y – z = 0 மற்றும் தொகுப்பானது வெளிப்படையற்றத் தீர்வு பெற்றிருப்பின், θ −ன் மதிப்பு
(1) 2π / 3
(2) 3π / 4
(3) 5π / 6
(4) π / 4
விடை: (4) π / 4

23. ஒரு நேரியச் சமன்பாட்டுத் தொகுப்பின் விரிவுபடுத்தப்பட்ட அணியானது
மற்றும் தொகுப்பானது எண்ணற்ற தீர்வுகள் பெற்றிருக்கும் எனில்,
(1) λ =7, μ ≠ −5
(2) λ = −7, μ = 5
(3) λ ≠ 7, μ ≠ −5
(4) λ = 7, μ = −5
விடை: (4) λ = 7, μ = −5

24.
என்க. A −ன் நேர்மாறு B எனில், x −ன் மதிப்பு
(1) 2
(2) 4
(3) 3
(4) 1
விடை: (4) 1

25.
எனில் adj (adj A) −ன் மதிப்பு

விடை: (1)
