31. கரிம சேர்மங்களின் பொதுப்பண்புகளைத் தருக.
விடை
1. கார்பனின் சகப்பிணைப்புச் சேர்மங்களாகும்.
2. பொதுவாக நீரில் கரைவதில்லை.
3. பென்சீன், டொலுவின், ஈதர், குளோரோபார்ம் போன்ற கரிமக்கரைப்பான்களில் எளிதில் கரைகின்றன.
4. பெரும்பாலான கரிமச் சேர்மங்கள் எளிதில் தீப்பற்றி எரியக்கூடியவை (CCl4 ஐத்தவிர).
5. இவைகளின் சகப்பிணைப்புத் தன்மையினால் குறைவான உருகுநிலை மற்றும் கொதிநிலையினைப் பெற்றுள்ளன.
6. கரிமச் சேர்மங்கள் அவற்றின் வினை செயல் தொகுதியால் இயல்பு அறியப்படுகின்றன.
7. கரிமச் சேர்மங்கள் மாற்றியம் எனும் பண்பினைப் பெற்றுள்ளன.
32. கரிமச்சேர்மங்களை அவற்றின் அமைப்பின் அடிப்படையில் வகைப்படுத்தலை விவரி.
விடை

33. ஓரினவரிசை (அ) படிவரிசை பற்றி குறிப்பெழுதுக.
விடை
படிவரிசைச் சேர்மங்கள்
● ஒரு தனித்த வினை செயல் தொகுதியினைப் பெற்றுள்ள இரு அடுத்தடுத்த சேர்மங்களின் மூலக்கூறு வாய்பாடு CH2 என்ற தொகுதியால் வேறுபடும் தொடர்ச்சியான கரிமச் சேர்மங்கள் படிவரிசைச் சேர்மங்கள் எனப்படும்.
● ஆல்கேன்கள் : மீத்தேன் (CH4). ஈத்தேன் (C2H6 ), புரப்பேன் (C3H8) முதலியன.
● ஆல்கஹால்கள் : மெத்தனால் (CH3OH), எத்தனால் (C2H5OH), புரப்பனால் (C3H7OH) முதலியன.
● படிவரிசைச் சேர்மங்கள் ஒரு பொதுவான வாய்ப்பாட்டால் குறிப்பிடப்படுகின்றன. ஆல்கேன்கள், CnH2n+2 ஆல்கீன்கள் CnH2n ஆல்கைன்கள் CnH2n-2 மேலும் இவைகளை பொதுவான முறைகளில் தயாரிக்கலாம். இவைகளின் இயற்பண்புகளின் சீரான மாறுபாடு காணப்படுகின்றது. மேலும் ஏறத்தாழ அனைத்து சேர்மங்களும் ஒரே மாதிரியான வேதிப் பண்பினைப் பெற்றுள்ளன.
34. வினை செயல் தொகுதி என்றால் என்ன? பின்வரும் சேர்மங்களில் உள்ள வினைச்செயல் தொகுதியினை கண்டறிக.
(அ) அசிட்டால்டிஹைடு
(ஆ) ஆக்சாலிக் அமிலம்
(இ) டைமெத்தில் ஈதர்
(ஈ) மெத்தில் அமீன்.
விடை
எந்த கரிம மூலக்கூறில் காணப்படுகிறது என்பதைப் பொருத்து அமையாத, தனித்த வழியில் வினைபுரியும் இயல்பினைப் பெற்றுள்ள ஒரு கரிம மூலக்கூறில் காணப்படும் குறிப்பிட்ட அணு அல்லது ஒரு குறிப்பிட்ட பிணைப்பினால் பிணைக்கப்பட்ட அணுக்கள் அடங்கியத் தொகுதி வினைச் செயல் தொகுதி எனப்படும். பெரும்பாலான நேர்வுகளில் கரிமச் சேர்மங்களில் வினையானது வினைசெயல் தொகுதியில் நடைபெறும்.

35. பின்வரும் கரிமச்சேர்ம வகைகளின் பொதுவான வாய்ப்பாட்டினைத் தருக
(அ) அலிபாடிக் மோனோ ஹைட்ரிக் ஆல்கஹால்
(ஆ) அலிபாடிக் கீட்டோன்கள்
(இ) அலிபாடிக் அமீன்கள்.
விடை
(அ) அலிபாடிக் மோனோ ஹைட்ரிக் ஆல்கஹால் - ROH
(ஆ) அலிபாடிக் கீட்டோன்கள் 
(இ) அலிபாடிக் அமீன்கள். – R – NH2
36. நைட்ரோ ஆல்கேன் படி வரிசையில் உள்ள முதல் ஆறு சேர்மங்களின் மூலக்கூறு வாய்ப்பாட்டினை எழுதுக.
விடை
1. CH3NO2
2. CH3 – CH2 – NO2
3. CH3 – CH2 – CH2 – NO2

37. கார்பாக்ஸிலிக் அமிலங்களின் முதல் நான்கு படிவரிசைச் தொடர் சேர்மங்களின் மூலக்கூறு வாய்பாடு மற்றும் சாத்தியமுடைய அமைப்பு வாய்பாடுகளைத் தருக.
விடை

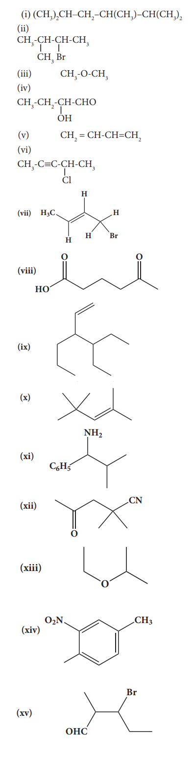
38. பின்வரும் சேர்மங்களுக்கு IUPAC முறையில் பெயரிடுக.

விடை

39. பின்வரும் சேர்மங்களுக்கு வடிவமைப்பை எழுதுக.
i. 3-எத்தில் -2-மெத்தில்-1-பென்டீன்
ii. 1, 3, 5- ட்ரைமீத்தைல் சைக்ளோஹெக்ஸ் -1-ஈன்
iii. முவிணைய பியூட்டைல் அயோடைடு
iv. 3-குளோரோபியூட்டனல்
v. 3-குளோரோ பியூட்டனால்
vi. 2-குளோரோ-2-மித்தைல் புரப்பேன்
vii. 2,2-டைமெத்தில் - 1-குளோரோபுரப்பேன்
viii. 3-மீத்தைல்பியூட்-1-ஈன்
ix. பியூட்டன்-2, 2-டையால்
x. ஆக்டேன்-1, 3-டையீன்
xi. 1,3-டைமீத்தைல் சைக்ளோஹெக்ஸேன்
xii. 3-குளோரோபியூட்-1-ஈன்
xiii. 3 - மீத்தைல்பியூட்டன்-2-ஆல்
xiv. அசிட்டால்டிஹைடு
விடை

40. லாசிகன் முறையில் கரிமச்சேர்மங்களில் காணப்படும் நைட்ரஜனைக் கண்டறிவதில் நடைபெறும் வேதிவினைகளை விளக்குக.
விடை
Na + C + N → NaCN
(கரிம சேர்மங்களிலிருந்து)
FeSO4 + 2 NaOH → Fe(OH)2 + Na2SO4
(அதிக சோடியத்திலிருந்து)
6NaCN + [Fe(OH)2] → Na4 [Fe(CN)6]+
சோடியம் பெர்ரோசயனைடு 2NaOH
3Na4 [Fe(CN)6] + FeCl3 → Fe4 [Fe(CN)6]3 + 12 NaCl
பெரிக் பெர்ரோசயனைடு பிரஷ்யன் நீலம் அல்லது பச்சை நிற வீழ்படிவு
41. கேரியஸ் முறையில் கரிமச்சேர்மங்களில் உள்ள ஹாலஜன்களை எடையறியும் முறையின் தத்துவத்தினை விளக்குக.
விடை
ஹாலஜன்களை அளந்தறிதல் : காரியஸ் முறை எடை அறிந்த கரிமச்சேர்மம், HNO3 புகையும் மற்றும் AgNO3 வுடன் சேர்த்து வெப்பப்படுத்தப்படுகிறது. C, H மற்றும் S முறையே CO2, H2O மற்றும் SO2 ஆக ஆக்ஸிஜனேற்றப்படுகிறது. ஹாலஜன்கள் AgNO3வுடன் சேர்ந்து வெள்ளி ஹாலைடுகளாக வீழ்படிவாகின்றன.

AgX வீழ்படிவு வடிக்கட்டப்பட்டு கழுவி, உலர்த்தி எடையறியப்படுகிறது. AgXன் மற்றும் கரிமச்சேர்மத்தின் எடை ஆகியவற்றில் இருந்து ஹாலஜன்களின் சதவீதம் கணக்கிடப்படும்.
42. பின்வருவனவற்றின் தத்துவங்களை சுருக்கமாக விளக்குக
i. பின்ன வடிகட்டுதல்
ii. குழாய் வண்ணப்பிரிகை முறை
விடை
i) பின்ன வடிகட்டுதல்
● மிகச்சிறிய கொதிநிலை வேறுபாடு கொண்ட நீர்மங்கள் அடங்கிய கலவையிலிருந்த நீர்மங்களை தூய்மைப்படுத்தி, பிரித்தெடுக்கப்பட இம்முறை பயன்படுகிறது.
● பின்ன காய்ச்சி வடித்தலில், பிரிகை அடுக்கு, காய்ச்சி வடிக்கும் கலன் மற்றும் குளிர்விப்பான் ஆகியவற்றோடு இணைக்கப்படுகிறது.
● குளிர்விப்பானின் வாய்புறத்தில் இருக்குமாறு வெப்பநிலைமானி ஒன்று பிரிகை அடுக்கில் பொருத்தப்படுகிறது.
● இவ்வமைப்பு குளிர்விப்பானின் வழியே செல்லும் ஆவியின் வெப்பநிலையை குறித்துக் கொள்ள உதவுகிறது.
● நீர்மக்கரைசலில் கலந்துள்ள பகுதிப் பொருள்களை அவற்றின் ஆவியாகப் பிரித்தெடுத்து பின் குளிர்வித்து பிரித்தெடுக்கும் முறைக்கு பின்ன வடிகட்டுதல் என்று பெயர்.
● தேவைக்கேற்ப பின்ன வடிகட்டுதல் மீண்டும் மீண்டும் நிகழ்த்தப்படுகிறது.
● இம்முறை பெட்ரோலியம், நிலக்கரித்தார் மற்றும் கச்சா எண்ணெய் ஆகியவற்றை காய்ச்சி வடிக்க பெருமளவில் பயன்படுகிறது.
ii) குழாய் வண்ணப்பிரிகை முறை :
● ஒரு நீண்ட கண்ணாடி குழாயின் வழியே நிகழ்த்தப்படும் ஒரு எளிய வண்ணப்பிரிகை முறை.
● மேலும் குழாயில், நன்கு பொதிந்து வைக்கப்பட்டுள்ள பரப்புக்கவர் பொருள் வழியே (நிலையான நிலைமை) கலவையினை செலுத்தி பிரித்தெடுத்தலை இம்முறை உள்ளடக்கியது.
● பரப்புக்கவர் துகளை தாங்கியிருக்க ஏதுவாக குழாயின் அடியில் பஞ்சு அல்லது கண்ணாடி இழை வைக்கப்பட்டுள்ளது. (கிளிர்வுற்ற அலுமினியம் ஆக்ஸைடு (அலுமினா), மெக்னீசியம் ஆக்ஸைடு, ஸ்டார்ச்) போன்ற தகுந்த பரப்புக்கவர் பொருளால் குழாயானது சீராக பொதிந்திருக்குமாறு செய்யப்படுகிறது.
● இந்த பரப்புக்கவர் பொருள் குழாயின் மேற்புறம் தூய்மை செய்யப்பட வேண்டிய கலவை வைக்கப்படுகிறது.
● திரவ நிலையில் உள்ள அல்லது திரவக்கலவையால் ஆன நகரும் நிலைமை ஆனது குழாயின் வழியே கீழ் நோக்கி நகரும் வகையில் சேர்க்கப்படுகிறது.
● எந்த அளவிற்கு பரப்புக் கவரப்பட்டுள்ளது என்பதன் அடிப்படையில் வெவ்வெறு பகுதிப் பொருள்கள் முழுமையாக பிரித்தெடுக்கப் படுகின்றன. அதிக அளவில் எளிதாக பரப்புக்குவரும் பொருள் குழாயின் மேற்புறமும், மற்றவை கீழ்புறமும் நகர்வதால் குழாயின் வெவ்வேறு இடங்களில் சேதாரமாகின்றன.
43. தாள் வண்ணப்பிரிகை முறையினை விளக்குக
விடை
● இது பங்கீட்டு வண்ணப்பிரிகை முறைக்கு ஒரு எடுத்துக்காட்டு ஆகும்.
● ஒரு காகிதத் துண்டு பரப்புக்கவர் பொருளாக செயல்படுகிறது.
● இம்முறையில் நிலையான மற்றும் நகரும் நிலைமைகளுக்கிடையே வெவ்வேறு விகிதங்களில் பகுதிப்பொருள்கள் பங்கிடப்படுகின்றன.
● இம்முறையில் 'வண்ணப்பிரிகை காகிதம்' எனப்படும் தனித்துவமிக்க காகிதம் நிலையான நிலைமையாக பயன்படுத்தப்படுகிறது.
● ஒரு வண்ணப்பிரிகை தாள் துண்டின் அடிப்பகுதியில் கலவைக் கரைசல் ஒரு புள்ளியாக வைக்கப்படுகிறது.
● இது தகுந்த கரைப்பானில் தொட்டுக் கொண்டிருக்குமாறு தொங்கவிடப்படும் போது, நகரும் நிலைமையாக செயல்படும் கரைப்பான் மேல்நோக்கி கலவையின் வழியே நகர்கிறது.
● பகுதிப்பொருள்கள் பங்கிடப்படுவதன் அடிப்படையில் காகிதமானது குறிப்பிட்ட சில பகுதிப்பொருள்களை தேங்கியிருக்கச் செய்கிறது.
● வண்ணப் பிரிகையின் துவக்கத்தில் புள்ளி இடப்பட்ட இடத்திலிருந்து வெவ்வேறு பகுதிப்பொருள்களின் நிலை வெவ்வேறு தூரங்களில் அமையும்.
● நிறமற்ற பகுதிப்பொருள்களை uv ஒளிக் கொண்டோ அல்லது தகுந்த தெளிப்புக் காரணியைக் கொண்டோ அறிந்துணர முடியும்.
44. கரிமச்சேர்மங்களில் காணப்படும் பல்வேறு கட்டமைப்பு மாற்றியங்களை விளக்குக.
விடை

இவ்வகை மாற்றியங்கள் ஒரே மூலக்கூறு வாய்ப்பாட்டினையும், பிணைப்பு இடம் பெற்றிருக்கும் வரிசையமைப்பில் மாறுபட்டும் காணப்படும்.
a) சங்கிலித் தொடர் மாற்றியம்:
கார்பன் அணுக்கள் கார்பன் சங்கிலியில் ஒன்றோடொன்று எவ்வாறு பிணைக்கப்பட்டுள்ளன என்பதைப் பொறுத்து இவ்வகை மாற்றியங்கள் வேறுபடுகின்றன.

b) இட அமைவு மாற்றியம் : ஒரே படிவரிசைத் தொடரைச் சார்ந்த இரு வேறு சேர்மங்கள் ஒரே மூலக்கூறு வாய்பாடு மற்றும் கார்பன் சங்கிலித் தொடரையும் பெற்றிருந்து, பதிலிகள் அல்லது வினைச்செயல் தொகுதிகள் அல்லது நிறைவுறாப்பிணைப்பு இடம் பெற்றிருக்கும், இட அமைவு மாறுபடுவதால் வேறுபட்ட அமைப்பு வாய்ப்பாடுகளைப் பெற்றுள்ள மாற்றியங்கள் இட அமைவு மாற்றியங்கள் எனப்படுகின்றன.
மூலக்கூறு வாய்ப்பாடு C5H10
CH3 -CH2 -CH2 –CH = CH2 பென்ட் 1 ஈன் மற்றும்
CH3 –CH2 – CH = CH - CH3 பென்ட் 2 ஈன்
c) வினைச்செயல் தொகுதி மாற்றியம்:
ஒரே மூலக்கூறு வாய்ப்பாட்டினையும் வெவ்வேறு வினைச்செயல் தொகுதிகளைப் பெற்றிருக்கும் வெவ்வேறு சேர்மங்கள் வினைச்செயல் தொகுதி மாற்றியங்கள் எனப்படும்.
எடுத்துக்காட்டு :

d) இணைமாற்றியம் [மெட்டாமெரிசம்]:
ஒரு வினைச்செயல் தொகுதியின் இருபுறமும் இணைக்கப்பட்டுள்ள கார்பன் அணுக்களின் எண்ணிக்கை மாறுபடுவதால் ஏற்படும் ஒரு சிறப்பு வகை மாற்றியம் மெட்டாமெரிசம் எனப்படும்.
(அ) ஒரே மூலக்கூறு வாய்ப்பாட்டினை பெற்றுள்ள சேர்மங்களின், வினைச்செயல் தொகுதியுடன் இணைக்கப் பட்டுள்ள ஆல்கைல் தொகுதிகள் மாறுபடுவதால் ஏற்படும் மாற்றியம் மெட்டாமெரிசம் எனப்படும்.

e) இயங்கு சமநிலை மாற்றியம் [டாட்டாமெரிசம்] இதில் ஒரு சேர்மம், எளிதில் ஒன்றுக்கொன்று மாற்றமடையும் இரு வேறு வடிவமைப்புகளில் குறைந்தபட்சம் ஒரு அணு, பொதுவாக ஹைட்ரஜனின் அமைவிடம் மாற்றமடைந்திருக்கும். இவ்விரு வடிவங்களும் டாட்டாமெர்கள் எனப்படுகின்றன.
H – C ≡ N(ஹைட்ரஜன் சயனைடு) ↔ H-N ≡ C (ஹைட்ரஜன் ஐசோசயனைடு)
45. ஒளிசுழற்சி மாற்றியத்தை எடுத்துக்காட்டுடன் விளக்குக.
விடை
ஒரே இயற் மற்றும் வேதிப் பண்புகளை பெற்றிருந்து, தள முனைவுற்ற ஒளியின் தளத்தினை சுழற்றுவதில் மட்டும் மாறுபட்டு காணப்படும் சேர்மங்கள் ஒளிச்சுழற்சி மாற்றியங்கள் எனப்படும். இந்நிகழ்வு ஒளிச்சுழற்சி மாற்றியம் எனப்படும்.
எ.கா :

d - லாக்டிக் அமிலம் l - லாக்டிக் அமிலம்
● தள முனைவுற்ற ஒளியின் தளத்தினை சுழற்றும் இயல்பினைப் பெற்றுள்ள சேர்மங்கள் ஒளி சுழற்றும் தன்மை கொண்ட சேர்மங்கள் எனவும் இப்பண்பு ஒளி சுழற்றும் தன்மை எனவும் அழைக்கப்படுகின்றது.
● தள முனைவுற்ற ஒளியின் தளத்தினை வலஞ்சுழியாக அதாவது கடிகார முள் நகரும் திசையில் ஒரு ஒளி சுழற்சி மாற்றியம் திருப்புமாயின் அது வலஞ்சுழற்சி எனப்படும். இச்சேர்மம் (+) குறியீட்டால் குறிக்கப்பெறும்.
● அதே நேரத்தில் கடிகார முள் சுழலும் திசைக்கு எதிர் திசையில் தள முனைவு கொண்ட ஒளி சுழற்றப்படின் அச்சேர்மம் இடஞ்சுழற்சி எனப்படும். இது (-) எனக் குறிக்கப் பெறும்.
46, 2-பியூட்டீனை எடுத்துக்காட்டாக கொண்டு வடிவ மாற்றியங்களை விளக்குக.
விடை
● கார்பன் - கார்பன் இரட்டைப் பிணைப்பு அமைப்பினை சுழல இயலாத் தன்மையினால் புறவெளியில் வெவ்வேறு வடிவமைப்புகளை பெற்றுள்ள புறவெளி மாற்றியங்கள் வடிவ மாற்றியங்கள் எனப்படுகின்றன.
● கார்பன் - கார்பன் இரட்டைப் பிணைப்பின் வழியே சுழற்சித் தடையின் காரணமாகவோ அல்லது வளையச் சேர்மங்களில் ஒற்றைப் பிணைப்பின் வழியே ஏற்படும் சுழற்ச்சித் தடையினாலோ இவ்வகை மாற்றியங்கள் ஏற்படுகின்றன.

● இரட்டைப் பிணைப்பால் பிணைக்கப்பட்டுள்ள கார்பனுடன் இணைக்கப்பட்டுள்ள இரு தொகுதிகளும் ஒத்திருப்பின் அவை சிஸ் மாற்றியம் எனவும், இரு ஒத்தத் தொகுதிகளும் இரட்டைப் பிணைப்பின் எதிர்எதிர் பக்கங்களில் காணப்படின் அம்மாற்றியங்கள் டிரான்ஸ் மாற்றியங்கள் எனவும் அழைக்கப்படுகின்றன.
47. 0.30g கரிமச்சேர்மம் 0.88g கார்பன்டைஆக்ஸைடு மற்றும் 0.54g நீரினைத் தருகிறது. அச்சேர்மத்தில் உள்ள கார்பன் மற்றும் ஹைட்ரஜனின் சதவீதத்தினைக் காண்க.
விடை
கரிம சேர்மத்தின் நிறை (w) = 0.30g
H2O ன் எடை (x) = 0.54g
CO2 ன் எடை (y) = 0.88g
கார்பனின் சதவிகிதம் = 12/44 × y/w × 100

48. கெல்டால் முறையில் 0.20g கரிமச் சேர்மத்திலிருந்து வெளிப்படும் அம்மோனியா 15 ml N/20 கந்தக அமிலக் கரைசலால் நடுநிலையாக்கப்படுகிறது. நைட்ரஜனின் சதவீதத்தினைக் காண்க.
விடை
நைட்ரஜன் சதவிகிதம் = 1.4 × அமிலத்தின் நார்மாலிட்டி × அமிலத்தின் கன அளவு / கரிமச் சேர்மத்தின் எடை
அல்லது
N2 ன் % = 1.4 × N1 V1 / w
= 1.4 × 0.05 ×15 / 0.20 = 5.25%

49. 0.32g கரிமச் சேர்மத்தினை புகையும் நைட்ரிக் அமிலம் மற்றும் பேரியம் நைட்ரேட் படிகத்துடன் ஒரு மூடப்பட்ட குழாயில் வெப்பப்படுத்தும் போது, 0.466g பேரியம் சல்பேட் கிடைக்கிறது. அச்சேர்மத்தில் உள்ள கந்தகத்தின் சதவீதத்தினைக் கண்டறிக.
விடை
கரிம சேர்மத்தின் நிறை (w) = 0.32g
BaSO4 நிறை (x) = 0.466g
S ன் சதவிகிதம் = 32/233 × x/w × 100
= 32/233 × 0.466/0.32 × 100 = 20.02%

50. காரியஸ் முறையில், 0.24g கரிமச்சேர்மம் 0.287g சில்வர் குளோரைடைத் தருகிறது. அச்சேர்மத்தில் உள்ள குளோரினின் சதவீதத்தினைக் காண்க.
விடை
கரிம சேர்மத்தின் நிறை (w) = 0.24g
AgCl ன் நிறை (x) = 0.287g
Cl ன் சதவிகிதம் = 35.5/143.5 × x/w × 100
= 35.5/143.5 × 0.287/0.24 × 100 = 29.58%
51. டுமாஸ் முறையை பயன்படுத்தி நைட்ரஜனை அளவிடும்போது. 0.35g கரிமச்சேர்மமானது 150° C மற்றும் 760mm Hg அழுத்தத்தில் 20.7mL நைட்ரஜனை தருகிறது. அச்சேர்மத்தில் காணப்படும் நைட்ரஜனின் சதவீதத்தினைக் காண்க.
விடை
நைட்ரஜனின் சதவிகிதம்
= 28 / 22400 × STP ல் N2 கனஅளவு / கரிமச் சேர்மத்தின் எடை × 100
= 28 / 22400 × 0.7 / 0.35 × 100 = 7.39%