சமன்பாடு, அதன் பயன்பாடுகளும் - பெர்னௌலியின் தேற்றம் | 11th Physics : UNIT 7 : Properties of Matter
பெர்னௌலியின் தேற்றம்
தொடர்மாறிலிச் சமன்பாடு
ஒரு குழாயின் வழியே செல்லும் நீர்ம நிறையின் வீதத்தை அறிய நீர்மம் பாய்வது சீராக இருப்பதாகக் கருதவேண்டும். நீர்மம் பாய்வது சீராக இருக்க வேண்டுமெனில் பாயும் நீர்மத்தின் ஒவ்வொரு புள்ளியிலும் திசைவேகமானது நேரத்தைப் பொறுத்து மாறிலியாக அமைய வேண்டும். இந்த நிபந்தனையில் நீர்மத்தின் ஓட்டமானது வரிச்சீர் ஓட்டமாக அமையும்.
சீரற்ற குறுக்கு வெட்டுப்பரப்பு a1 மற்றும் a2 அதாவது a1 > a2. கொண்ட AB என்ற குழாயைக் கருதுக. பாகுநிலையற்ற அமுக்க இயலாத நீர்மம் சீராக v1 மற்றும் v2 என்ற திசைவேகத்தில் முறையே a1 மற்றும் a2 பரப்புகள் வழியே படம் 7.32 இல் உள்ளவாறு பாய்ந்து செல்கிறது.

Δt என்ற கால அளவில் A என்ற பகுதியின் வழியே செல்லும் நீர்மத்தின் நிறை m1 எனில் m1 = (a1v1 Δt) ρ
Δt என்ற கால அளவில் B என்ற பகுதியின் வழியே செல்லும் நீர்மத்தின் நிறை m2 எனில், m2 = (a2v2 Δt) ρ
அமுக்க இயலாத நீர்மத்தில் நிறை மாறாது m1 = m2
a1 v1 Δt ρ = a2 v2 Δt ρ

இதுவே தொடர்மாறிலிச் சமன்பாடு எனப்படும். இது, பாயும் பாய்மங்களின் நிறையானது மாறாமல் இருப்பதைக் காட்டுகிறது. பொதுவாக av = மாறிலி, இதன் பொருள் பருமப்பாயம் அல்லது பாயும் வீதம் குழாய் முழுவதும் மாறிலி என்பதாகும். மாறாக குறுக்குவெட்டுப்பரப்பு குறைவாக இருப்பின் பாய்மத்தின் திசைவேகம் அதிகமாக இருக்கும்.
எடுத்துக்காட்டு 7.14
ஒரு சாதாரண மனிதனுக்கு பெருநாடி வழியாக இரத்தம் செல்லும் வேகம் 0.33 ms-1. (ஆரம் r = 0.8 cm) பெருநாடியில் இருந்து 0.4 cm ஆரம் கொண்ட 30 எண்கள் உள்ள பெரும் தமனிகளுக்கு இரத்தம் செல்கிறது. தமனிகளின் வழியே செல்லும் இரத்தத்தின் வேகத்தைக் கணக்கிடுக.
தீர்வு
a1v1 = 30 a2 v2 ⇒ π r12v1 = 30 π r22v2

நீர்மங்களின் அழுத்த, இயக்க மற்றும் நிலை ஆற்றல்
சீராகப் பாயும் நீர்மத்திற்கு மூவகையான ஆற்றல்கள் உண்டு. அவை 1) இயக்க ஆற்றல் 2) நிலை ஆற்றல் மற்றும் 3) அழுத்த ஆற்றல் ஆகும்.
1. இயக்க ஆற்றல் : m நிறையும் v திசைவேகமும் கொண்ட நீர்மத்தின் இயக்க ஆற்றலானது

ஓரலகு நிறைக்கான இயக்க ஆற்றல் =

இதேபோல், ஓரலகு பருமனுக்கான இயக்க ஆற்றல்

2. நிலைஆற்றல்: தரைமட்டத்திலிருந்து h உயரத்திலுள்ள m நிறைகொnண்ட நீர்மத்தின் நிலையாற்றல்
PE = mgh
ஓரலகு நிறைக்கான நிலையாற்றல்

இதேபோல் ஓரலகு பருமனுக்கான நிலையாற்றல்

3. அழுத்த ஆற்றல்: நீர்மத்தின்மீது அழுத்தத்தைச் செலுத்துவதால்

எனவே அழுத்த ஆற்றல் EP = PV
ஓரலகு நிறைக்கான அழுத்த ஆற்றல்

இதேபோல் ஓரலகு பருமனுக்கான அழுத்த ஆற்றல்

1738 ஆம் ஆண்டு சுவிஸ் நாட்டு அறிவியல் அறிஞர் டேனியல் பெர்னெளலி என்பவர் வெவ்வேறு குறுக்குவெட்டுப் பரப்புள்ள குழாய்கள் வழியே செல்லும் நீர்மத்தின் வரிச்சீர் ஓட்டத்திற்கான தொடர்பை வகுத்தார். ஆற்றல் மாறா விதியின் அடிப்படையில் அவர் நீர்மத்தின் வரிச்சீர் ஓட்டத்திற்கான தொடர்பைத் தருவித்தார்.
பெர்னெளலியின் தேற்றம்
பெர்னெளலியின் தேற்றத்தின்படி வரிச்சீர் ஓட்டத்தில் உள்ள அமுக்க இயலாத, பாகுநிலையற்ற, ஓரலகு நிறையுள்ள நீர்மத்தின் அழுத்த ஆற்றல், இயக்க ஆற்றல் மற்றும் நிலையாற்றல் ஆகியவற்றின் கூட்டுத்தொகை எப்போதும் மாறிலியாகும். கணிதமுறைப்படி

இதுவே பெர்ளெலியின் சமன்பாடாகும்.
நிரூபித்தல் :

படம் 7.33 இல் உள்ளவாறு AB என்ற குழாயின் வழியாக நீர்மம் பாய்வதாகக் கொள்வோம். இங்கு V என்பது முனை A வழியாக t காலத்தில் நுழையும் நீர்மத்தின் பருமன் எனில், முனை B வழியாக அதே காலத்தில் வெளியேறும் நீர்மத்தின் பருமனும் V ஆகும். aA, vA மற்றும் PA என்பவை A ல் முறையே குழாயின் குறுக்குவெட்டுப்பரப்பு, நீர்ம திசைவேகம் மற்றும் நீர்ம அழுத்தம் எனக் கொள்க.
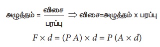
A இல் உள்ள நீர்மம் செயல்படுத்தும் விசை
FA = PAaA
t கால அளவில் நீர்மம் கடந்த தொலைவு
d = vA t
எனவே செய்யப்பட்ட வேலை
W = FAd = PAaAvA t
ஆனால் aAvAt = aAd =V, A இல் நுழையும் நீர்மத்தின் பருமனாகும். எனவே செய்யப்பட்ட வேலையானது A இல் அழுத்த ஆற்றலாக இருக்கும்.
W = FAd = PAV
A இல் ஓரலகு பருமனுக்கான அழுத்த ஆற்றல்

A இல் ஓரலகு நிறைக்கான அழுத்த ஆற்றல் =

இங்கு m என்பது கொடுக்கப்பட்ட நேரத்தில் A இல் நுழையும் நீர்மத்தின் நிறை. எனவே A இல் நீர்மத்தின் அழுத்த ஆற்றல்

A இல் நீர்மத்தின் நிலையாற்றல்
PEA = mg hA,
A இல் நீர்ம ஓட்டத்தின் காரணமாக நீர்மத்தின் இயக்க ஆற்றல்

எனவே A இல் நீர்ம ஓட்டத்தினால் மொத்த ஆற்றல்

இதேபோல் aB, vB, மற்றும் PB என்பவை முறையே B இல் குழாயின் குறுக்குவெட்டுப்பரப்பு, நீர்ம திசைவேகம் மற்றும் நீர்ம அழுத்தம் என்க.
B இல் மொத்த ஆற்றல்

ஆற்றல் மாறா விதியிலிருந்து

மேலே உள்ள சமன்பாட்டை இவ்வாறும் எழுதலாம்.
மேலே உள்ள சமன்பாடானது ஆற்றல் மாறா விதியின் விளைவாகும். உராய்வினால் ஆற்றல் இழப்பு ஏற்படாதவரை இச்சமன்பாடு மெய்யானதாகும். ஆனால் இங்கு , நீர்மத்தின் ஏடுகள் வெவ்வேறு திசைவேகங்களில் செல்வதால் அவற்றிற்கிடையே ஏற்படும் உராய்வு விசையினால் ஆற்றல் இழப்பு உருவாகிறது. இத்தகைய ஆற்றல் இழப்பானது பொதுவாக வெப்ப ஆற்றலாக மாற்றப்படுகிறது. எனவே பெர்னெளலி தொடர்பானது, சுழி பாகுநிலையுள்ள அல்லது பாகுநிலையற்ற நீர்மங்களுக்கு மட்டுமே பொருந்தும். குறிப்பாக நீர்மமானது கிடைத்தளக்குழாய் வழியே வெளியேறினால்
(அ) சூறைக்காற்றில் கூரைகள் தூக்கி எறியப்படுதல்
முற்காலங்களில் வீடுகள் அல்லது குடிசைகளின் மேற்கூரைகள் படம் 7.34 இல் உள்ளவாறு சாய்வாக வடிவமைக்கப்பட்டன. இங்கு முக்கியமான அறிவியல் காரணம் பெர்னெளலியின் தத்துவத்தின்படி அமைவதால் வீடுகள் சூறைக்காற்று அல்லது புயலில் இருந்து பாதுகாக்கப்படுகின்றன.

புயல்காற்று வீசும்போது மற்ற பகுதிகளுக்கு சேதம் ஏற்படாவண்ணம் குடிசைகளின் கூரைகள் தூக்கி எறியப்படும். பெர்னெளலியின் தேற்றப்படி அதிவேகமாக வீசும் காற்றானது கூரைக்கு மேலே P1 என்ற குறைந்த அழுத்தத்தை ஏற்படுத்துகிறது. கூரைக்கு கீழேயுள்ள P2 என்ற அழுத்தம் அதிகமாகும். எனவே இந்த அழுத்த வேறுபாடு (P1 - P2) மேல்நோக்கிய உந்து விசையை உருவாக்கி கூரை மேலெழும்பி காற்றுடன் சேர்ந்து தூக்கி எறியப்படுகிறது.
(ஆ) விமான இறக்கை உயர்த்தல் (Aerofol lift)
வானூர்தியின் இறக்கைகளானது, மேல்பகுதி கீழ்பகுதியை விட அதிகமாக வளைந்தும், முன்பகுதியின் முனை பின்பகுதி முனையைவிட அகலமாகவும் இருக்குமாறு வடிவமைக்கப் பட்டுள்ளன. வானூர்தி இயங்கும் போது இறக்கையின் கீழுள்ள காற்றைவிட இறக்கையின் மேல் பகுதியில் உள்ள காற்று படம் 7.35 இல் உள்ளவாறு வேகமாக நகருகிறது.
பெர்னெளலியின் தத்துவப்படி இறக்கையின் கீழ்பகுதியில் உள்ள அழுத்தமானது, மேல்பகுதியைவிட அதிகமாக இருப்பதால் சக்தி வாய்ந்த உயர்த்தல் எனப்படும் மேல்நோக்கிய உந்துவிசை செயல்பட்டு அது வானூர்தியை மேல்நோக்கி உயரச் செய்கிறது.

(இ) புன்சன் சுடரடுப்பு
புன்சன் சுடரடுப்பில் எரிவாயு நுண்துளையின் வழியாக அதிக திசைவேகத்துடன் வெளிவருகிறது. இதனால் குழாயில் உள்ள அழுத்தம் குறைகிறது. எனவே வெளிக்காற்றானது வேகமாக அடுப்பினுள் காற்றுத் திறப்பின் வழியே நுழைந்து எரிவாயுவுடன் கலந்து படம் 7.36 இல் உள்ளவாறு நீல நிறச் சுடரைத் தருகிறது.

(ஈ) வென்சுரிமானி (Venturimeter)
இக்கருவியானது, ஒரு குழாயின் வழியே செல்லும் அமுக்க இயலாத நீர்மம் பாயும் வீதத்தை பாயும் வேகம்) அளவிட உதவுகிறது. இது பெர்னெளலியின் தேற்றத்தின் அடிப்படையில் செயல்படுகிறது. இது A மற்றும் A’ என்ற இரு அகன்ற குழாய்களைக் கொண்டுள்ளது (குறுக்கு வெட்டுப் பரப்பு A). அவை B என்ற குறுகலான (குறுக்குவெட்டுப்பரப்பு a) குழாய் மூலம் இணைக்கப்பட்டுள்ளன. U வடிவ அழுத்தமானியானது இவ்விரு அகன்ற மற்றும் குறுகலான குழாய்களுக்கிடையே படம் 7.37 இல் உள்ளவாறு இணைக்கப்பட்டுள்ளது. அழுத்தமானியில் உள்ள திரவத்தின் அடர்த்தி ‘ρm’

A இல் உள்ள அகலமான பகுதியிலுள்ள பாய்மத்தின் அழுத்தம் P1 என்க. ‘ρ’ அடர்த்தியுடன் ‘v1’ திசைவேகத்தில் பாய்மம் குழாயினுள்ளே பாய்வதால் குறுகலான பகுதியில் அதன் வேகம் ‘v2’ என அதிகரிக்கிறது எனக் கருதுக. பெர்னெளலியின் சமன்பாட்டின் இந்த வேக அதிகரிப்பானது B இல் உள்ள குறுகிய பகுதியில் பாய்மத்தின் அழுத்தமான P2 வைக் குறைக்கிறது. எனவே A க்கும், B க்கும் இடையே உள்ள அழுத்த வேறுபாடானது (ΔP = P1−P2) அழுத்தமானியில் உள்ள திரவத்தின் உயர வேறுபாட்டால் அளவிடப்படுகிறது.
தொடர்மாறிலிச் சமன்பாட்டின்படி
Av1 = a v2
அதாவது

பெர்னெளலியின் சமன்பாட்டைப் பயன்படுத்த

மேற்கண்ட சமன்பாட்டிலிருந்து அழுத்த வேறுபாடானது

எனவே அகன்ற குழாயின் A முனையில் திரவ ஓட்டத்தின் வேகம்

மற்றும் ஒரு வினாடியில் Aன் வழியாகப் பாய்ந்து செல்லும் திரவத்தின் பருமன்,

(உ) பிறபயன்பாடுகள்
பெர்னெளலியின் தேற்றமானது, முக்கியமாக தானியங்கி வாகனங்களில் கார்புரேட்டர், வடிகட்டி பம்புகள், தெளிப்பான்கள் ஆகியவற்றை வடிவமைக்கப் பயன்படுகிறது. உதாரணமாக கார்புரேட்டரில் குழாய்முனை (nozzle) எனப்படும். நுண்ணிய துளையின் வழியாக காற்றானது மிக வேகமாக உள்ளே வருகிறது. இந்நேர்வில் நுண்ணிய கழுத்துப்பகுதியில் அழுத்தம் குறைக்கப்பட்டு, பெட்ரோல் அல்லது எரிபொருள் உள்ளிழுக்கப்பட்டவுடன் கலனில் பற்றவைப்புக்கு சரியான அளவில் காற்றும் எரிபொருளும் கலக்கப்படுகிறது.
செயல்பாடு
ஒரு சாடியானது தெர்மோகோல் பந்துகளால் நிரப்பப்படுகிறது. ஒரு வளையக்கூடிய குழாயானது சாடியிலுள்ள பந்துகளினுள் மூழ்குமாறு வைக்கப்படுகிறது. திறந்துள்ள வெளி முனையை சுழற்றினால், தெர்மோகோல் பந்துகள் சுற்றிலும் தெளிக்கப்படுவதைக் காணலாம். இதுவே ஒரு தெளிப்பானின் தத்துவமாகும்.
உங்களுக்குத் தெரியுமா?
ஒரு சிலந்தி வலை நாம் எண்ணுவதை விட மிகவும் வலுவானதாகும். சிலந்தி வலையின் ஒரு தனி நூலானது அதன் நிறையைவிட பல ஆயிரம் மடங்கு நிறை கொண்ட பறக்கும் பூச்சிகளைத் தடுக்க இயலும். சிலந்தி வலையின் யங்குணகம் தோராயமாக 4.5×109Nm-2. இந்த மதிப்பை மரக்கட்டையின் யங் குணக மதிப்புடன் ஒப்பிடுக.
