தொகை நுண்கணிதத்தின் பயன்பாடுகள் - பெர்னோலி சூத்திரம் (Bernoulli's Formula) | 12th Maths : UNIT 9 : Applications of Integration
பெர்னோலி சூத்திரம் (Bernoulli's Formula)
u(x) என்பது பல்லுறுப்புக் கோவை சார்பாகவும் (அதாவது, u ( x) = a0 xn + a1 xn−1 + ---- + an ) V(x) என்பது எளிதில் தொடர்ச்சியாக தொகையீடு காணக்கூடியதாக சார்பாகவும் இருப்பின் ∫u (x) v ( x)dx என்ற வடிவில் உள்ள வரையறுக்கப்படாத தொகையிடுதலை எளிதில் மதிப்பிடலாம். இதை தொடர்படுத்தக்கூடிய சூத்திரமானது பெர்னோலி சூத்திரமாகும். இச்சூத்திரமானது உண்மையில் பகுதித் தொகையிடுதலின் (Integration by parts) விரிவாக்கம் ஆகும். இச்சூத்திரத்தை வருவிக்க பின்வரும் குறியீடுகளை நாம் பயன்படுத்துவோம்:

இதேபோல் தொடர நாம் பெறுவது,
∫ uvdx = uv(1) − u (1)v( 2) + u ( 2)v( 3) − u (3)v( 4) +… .
இச்சூத்திரமானது தொகையிடுதலில் இரு சார்புகளின் பெருக்கல் பெர்னோலி சூத்திரம் எனப்படும்.
குறிப்பு
u என்பது x -ன் பல்லுறுப்புக் கோவை சார்பு ஆதலால் u(m) என்பது ஒரு குறிப்பிட்ட m என்ற முழு எண்ணிற்கு பூச்சியத்தை அடைந்து விடுவதால் அதற்கு மேலே வகையிடல் செய்தால் மதிப்பு பூச்சியம் மட்டுமே கிடைக்கும். எனவே சூத்திரத்தின் வலது புறத்திலுள்ள உறுப்புகள் எண்ணிக்கை ஒரு முடிவுறு எண்ணாக இருக்கும்.
எடுத்துக்காட்டு 9.31
மதிப்பிடுக: π∫0 x2 cos nx dx , n என்பது ஓர் மிகை முழுக்கள் ஆகும் .
தீர்வு
u = x2 மற்றும் V = cos nx என எடுத்துக் கொண்டு பெர்னோலி சூத்திரத்தைப் பயன்படுத்த நாம் பெறுவது.

எடுத்துக்காட்டு 9.32
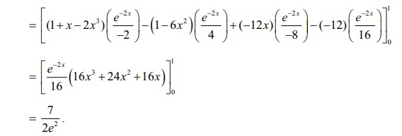
மதிப்பிடுக: 1∫0 e−2x (1 + x − 2x3 ) dx .
தீர்வு
u = 1 + x – 2x3 மற்றுமை v = e-2x என எடுத்துக்கொண்டு பெர்னோலி சூத்திரத்தைப் பயன்படுத்த நாம் பெறுவது.
I = 1∫0 e−2x (1+ x − 2x3 ) dx

எடுத்துக்காட்டு 9.33
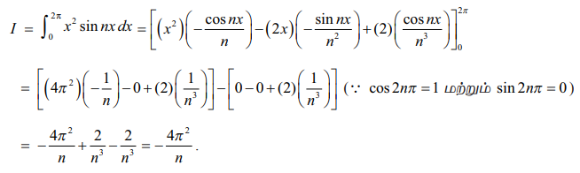
மதிப்பிடுக: 2π∫0 x2 sin nx dx, n என்பது ஓர் மிகை முழுக்கள் ஆகும்.
தீர்வு
u = x2 மற்றும் v = sin nx என எடுத்துக் கொண்டுபெர்னோலி சூத்திரத்தைப் பயன்படுத்த நாம் பெறுவது,

எடுத்துக்காட்டு 9.34
மதிப்பிடுக: 1∫−1 e− λx (1 − x2 ) dx .
தீர்வு
u =1- x2 மற்றும் v = e−λ x என்க. பெர்னோலி சூத்திரத்தைப் பயன்படுத்த நாம் பெறுவது
