எடுத்துக்காட்டு கணக்குகள் - எல்லைகளின் பயன்பாடு (Applications of limits) | 11th Mathematics : UNIT 9 : Differential Calculus Limits and Continuity
எல்லைகளின் பயன்பாடு (Applications of limits)
எடுத்துக்காட்டு 9.25
உடலில் உள்ள ஆல்கஹாலை நுரையீரல், சிறுநீரகம் போன்ற உறுப்புகளும் மற்றும் வேதி வினைமூலம் கல்லீரலும் வெளியேற்றுகின்றன. ஆல்கஹாலின் அடர்த்தி மிதமாக இருந்தால் அதை வெளியேற்றுகின்ற வேலையின் பெரும்பகுதியைக் கல்லீரலே செய்கின்றது. அதன் அளவில் 5% க்குக் குறைவாகவே நுரையீரலும், சிறுநீரகமும் வெளியேற்றுகின்றன. இரத்த ஓட்டத்தில் உள்ள ஆல்கஹாலை கல்லீரல் பிரித்தெடுக்கும் வீதம் r−க்கும் இரத்தத்தில் உள்ள ஆல்கஹாலின் அடர்த்தி x−க்கும் உள்ள தொடர்பு ஒரு விகிதமுறு சார்பாக
என உள்ளது. இங்கு α, β என்பன மிகை மாறிலிகள். ஆல்கஹாலினை வெளியேற்றும் மீப்பெரு வீதம் காண்க.
தீர்வு
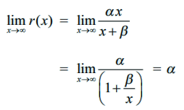
ஆல்கஹாலின் அடர்த்தி x அதிகரிக்கும் போது அதை வெளியேற்றும் வீதமும் அதிகரிக்கின்றது. எனவே, வெளியேற்றும் மீப்பெரு வீதம் என்பது
ஆகும்.
