வரையறை, தேற்றம், நிரூபணம், எடுத்துக்காட்டு கணக்குகள் | பூச்சியமற்ற கோவை அணியின் நேர்மாறு (Inverse of a Non−Singular square matrix) - சங்கேத மொழியியலில் அணிகளின் பயன்பாடுகள் (Application of matrices to Cryptography) | 12th Maths : UNIT 1 : Applications of Matrices and Determinants
5. சங்கேத மொழியியலில் அணிகளின் பயன்பாடுகள்
(Application of matrices to Cryptography)

பூச்சியமற்ற அணிகளின் ஒரு முக்கியமான பயன்பாடு சங்கேத மொழியியலில் (Cryptography) உள்ளது. சங்கேத மொழியியல் என்பது இரு நபர்களிடையே மற்றவர்களுக்குப் புரியாத வண்ணம் நடைபெறும் தகவல் பரிமாற்றமாகும். சங்கேத மொழியாக்கமும் மொழி மாற்றமும் என இரு காரணிகளை அடிப்படையாகக் கொண்டது. சங்கேத மொழியாக்கம் (Encryption) என்பது அனைவருக்கும் புரியும் மொழியில் உள்ள தகவலை எளிதில் புரியாத வண்ணம் (சங்கேத மொழி) ஆக்குதலாகும். மாறாக, சங்கேத மொழியாக்கப்பட்ட தகவலை மீண்டும் அனைவருக்கும் புரியும் மொழியில் மாற்றுவது மொழிமாற்றம் (Decryption) ஆகும். சங்கேத மொழியாக்கமும் மற்றும் மொழி மாற்றமும் தகவலை அனுப்புபவருக்கும் பெறுபவருக்கும் இடையே ஒரு இரகசிய முறை தேவைப்படுகிறது. இந்த இரகசிய முறை சங்கேத விளக்கக் குறிப்பு எனப்படும்.
இந்த இரகசியத்தை சாவி என்பார்கள். தகவலை அனுப்புபவர் சங்கேத மொழியாக்கம் செய்ய பூச்சியமற்ற அணியைப் பயன்படுத்துவது ஒரு முறையாகும். தகவலைப் பெறுபவர் தகவலை மொழிமாற்றம் செய்ய நேர்மாறு அணியைப் பயன்படுத்துகிறார். சங்கேத மொழியாக்கத்திற்குப் பயன்படுத்தப்படும் அணி சங்கேத மொழியாக்க அணி (Encoding matrix) எனவும் மொழிமாற்றம் செய்யப் பயன்படும் அணி சங்கேத மொழி மாற்ற அணி (Decoding matrix) எனவும் அழைக்கப்படுகிறது.
சங்கேத மொழியாக்கலையும் சங்கேத மொழிமாற்றலையும் விளக்க எடுத்துக்காட்டு ஒன்றினைக் காண்போம். அனுப்புபவரும் பெறுபவரும் மூலத் தகவல்களுக்கு ஆங்கில எழுத்துகள் A to Z மட்டும் பயன்படுத்துவதாகக் கொள்வோம்.
ஆங்கில எழுத்துகளை முறையே 1−26 எண்களுக்கு ஒதுக்கிடுவதாகவும், வெற்றிடத்தைக் குறிக்க 0 பயன்படுத்துவதாகவும் கொள்க. அனுப்புபவர் தனது சுயவிருப்பத்தின் அடிப்படையில் ஒரு மூவரிசை பூச்சியமற்ற கோவை அணியை பிந்தைய பெருக்கலுக்காக ஒரு சங்கேத மொழி சாவியாக பயன்படுத்துகிறார். அனுப்பியவர் பயன்படுத்திய அவ்வணியின் நேர்மாற்று அணியின் பிந்தையப் பெருக்கலாகப் பெறுபவர் பயன்படுத்துகிறார்.
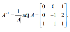
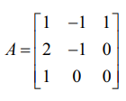
சங்கேத மொழியாக்குதலுக்காகப் பயன்படுத்தப்படும் அணி
என்க.
அனுப்பப்படும் செய்தி “WELCOME” என்க. மூவரிசை கொண்ட பூச்சியமற்ற சதுர அணியைப் பிந்தையப் பெருக்கலுக்காகப் பயன்படுத்தப்படுவதால் அனுப்பப்படும் செய்தி 3 அளவுள்ள துண்டுகளாக (WEL), (COM), (E), என பிரிக்கப்பட்டு 1 × 3 வரிசையுள்ள நிரையணிகளாக,
[23 5 12], [3 15 13], [5 0 0] என மாற்றப்படுகின்றது.
இறுதியாகப் பெறப்பட்ட நிரையணியில் இரு பூச்சியங்களை நாம் சேர்த்துள்ளதைக் கவனிக்கவும். 5 −ஐ முதல் உறுப்பாகக் கொண்ட ஒரு நிரையணிப் பெறவேண்டும் என்பதே இதன் காரணமாகும்.
ஒவ்வொரு நிரையணியுடன் சங்கேத மொழியாக்கு அணியால் பிந்தையப் பெருக்கல் செய்ய செய்தியினைப் பின்வருமாறு சங்கேத நிரையணிகளாக குறிமாற்றம் நிகழ்கிறது:

எனவே சங்கேத மொழியாக்கப்பட்ட செய்தி [45 –28 23] [46 −18 3] [5 –5 5] ஆகும்.
பெறுபவர் நேர்மாறு சாவியால் (A − ன் நேர்மாறின் பிந்தையப் பெருக்கலால்) சங்கேத மொழி மாற்றம் செய்கின்றார்.
சங்கேத மொழி மாற்றத்திற்கான அணி

பெறுபவர் சங்கேத மொழியாக்கப்பட்டச் செய்தியினைப் பின்வருமாறு சங்கேத மொழிமாற்றம் செய்கிறார்:

சங்கேத மொழி மாற்றம் செய்யப்பட்ட நிரை அணிகளின் வரிசை பின்வருமாறு
[23 5 12], [3 15 13], [5 0 0].
எனவே, 1 − 26 க்குச் சரியான ஆங்கில எழுத்துகளால் பொருத்த, பெறுபவர் தாம் பெற்ற சங்கேத செய்தியினை “WELCOME” எனப் படிக்கிறார்.