வரையறை, சமன்பாடுகள் சூத்திரம், தீர்க்கப்பட்ட எடுத்துக்காட்டு கணக்குகள், பயிற்சி | பகுமுறை வடிவியல் | கணிதம் - இரு நேர்க்கோடுகளுக்கு இடைப்பட்ட கோணம் | 11th Maths : UNIT 6 : Two Dimensional Analytical Geometry
இரு நேர்க்கோடுகளுக்கு இடைப்பட்ட கோணம்
(Angle between two straight lines)
ஒரு தளத்தில் இரண்டு கோடுகள் இணையாகவோ அல்லது ஒன்றியோ அல்லது ஒன்றையொன்று வெட்டிக்கொள்ளும்படியோ அமையலாம். இவ்விரு கோடுகள் வெட்டிக்கொள்ளும் புள்ளியில் இரு கோணங்கள் உருவாகுகிறது. அதில் ஒன்று குறுங்கோணம் (acute angle) மற்றொன்று விரிகோணம் (obtuse angle) அல்லது இரண்டும் சமகோணங்களாக இருக்கலாம்.
இவ்விரு கோணங்களும் மிகை நிரப்புக் கோணங்களாக (கோணங்களின் கூடுதல் 180°) இருக்கும். மேலும், வரையறையின்படி இரண்டு கோடுகளுக்கு இடைப்பட்ட கோணம் என்பது குறுங்கோணத்தை மட்டுமே குறிக்கும்.

ஒன்றையொன்று வெட்டிக் கொள்ளாமல், ஒரே தளத்தில் அமையும் இரு நேர்கோடுகள் இணைகோடுகளாகும்.
y = m1x + c1 மற்றும் y = m2x + c2
என்ற கோடுகள் இணை எனில், இக்கோடுகளுக்கு இடைப்பட்ட கோணம் பூஜ்ஜியம் அல்லது π.

செங்குத்து அல்லாத (non-vertical) கோடுகளின் சாய்வுகள் சமம் எனில் அக்கோடுகள் இணையாகும். எல்லா செங்குத்து கோடுகளும் இணைகோடுகள் ஆகும்.
a1x + b1y + c1 = 0 மற்றும் a2x + b2y + c2 = 0 என்ற கோடுகளின் பொது வடிவம் எனில், இவ்விரு கோடுகள் இணையாக இருப்பதற்கான நிபந்தனை

குறிப்பு: (i) ax + by + c = 0 என்ற கோட்டிற்கு இணையாக உள்ள கோடுகளின் வடிவம் ax + by = k
(ii) (x1, y1) என்ற புள்ளி வழியாக, ax + by + c = 0 என்ற கோட்டிற்கு இணையாக உள்ள நேர்க்கோட்டின் சமன்பாடு ax + by = ax1 + by1 ஆகும்.

மேலும், a1x + b1y + c1 = 0 மற்றும் a2x + b2y + c2 = 0 கோடுகளின் பொது வடிவம் எனில், இவ்விரு கோடுகள் செங்குத்தாக அமைவதற்கான நிபந்தனை
a1 a2 + b1b2 = 0
குறிப்பு: (i) ax + by + c = 0 என்ற கோட்டிற்குச் செங்குத்துக் கோட்டின் வடிவம் bx - ay = k
(ii) (x1, y1) என்ற புள்ளி வழியாகவும் ax + by + c = 0 என்ற கோட்டிற்குச் செங்குத்தாகவும் உடைய நேர்க்கோட்டின் சமன்பாடு, bx - ay = bx1 – ay1 ஆகும்.

முக்கியக் குறிப்பு
m1 m2 = -1 எனில், இரு கோடுகள் செங்குத்தாகும். ஆனால் இதன் மறுதலை மெய்யாகாது. ஏனெனில், ஆய அச்சுகளுக்கு இணையான கோடுகள் ஒன்றுக்கொன்று செங்குத்தானவை, எனினும் m1 m2 = -1 -ஐ பயன்படுத்த இயலாது.
ax + by + c = 0 (c ≠ 0) என்ற எந்த ஒரு கோடும் ஒரு தளத்தை இரண்டு பகுதிகளாகப் பிரிக்கிறது.
(i) ஒரு பகுதி ஆதியை உள்ளடக்கியதாக இருப்பின் அதனை ஒரு கோட்டின் ஆதிப்பக்கம் என்றும்
(ii) மற்றவை ஆதியை உள்ளடக்கியது அல்ல எனில் அப்பகுதியை ஆதி அல்லாத பக்கம் என்றும் அழைக்கலாம்.
ஒரு புள்ளி P(x1, y1) ஆனது ax + by + c = 0, (c ≠ 0), என்ற கோட்டிற்கு ஆதிப்பக்கமாகவோ அல்லது ஆதி அல்லாத பக்கத்திலோ இருந்தால் ax1 + by1 + c மற்றும் c முறையே ஒரே குறி அல்லது எதிர்க்குறிக்கு இணங்க அமையும்.
c > 0 எனில், P(x1, y1) என்ற புள்ளி ax + by + c = 0, என்ற கோட்டிற்கு ஆதிப்பக்கத்தின் மீது அல்லது ஆதி அல்லாத பக்கத்தில் அமையும் எனில், ax1 + by1 + c என்பன முறையே ஒரு மிகை அல்லது குறை ஆக அமையும்.
குறிப்பு: a1x + b1y + c1 = 0 மற்றும் a2x + b2y + c2 = 0 என்ற சமன்பாடுகளில் c1 > 0 மற்றும் c2 > 0 என மாற்றி அமைத்தபின்,
(i) a1a2 + b1b2 < 0 எனில், இக்கோடுகளுக்கு இடைப்பட்ட கோணம் குறுங்கோணம் ஆகும்.
(ii) a1a2 + b1b2 > 0 எனில் இவைகளுக்கு இடைப்பட்ட கோணம் ஒரு விரிகோணம் ஆகும்.
கீழ்க்கொடுக்கப்பட்டுள்ள
(i) இரண்டு புள்ளிகளுக்கு
(ii) ஒரு புள்ளியிலிருந்து ஒரு நேர்க்கோட்டிற்கு
(iii) இரு இணை கோடுகளுக்கு
இடைப்பட்ட தொலைவுகளைக் காணச் சூத்திரத்தை (வாய்ப்பாடுகளை) உருவாக்கலாம்.

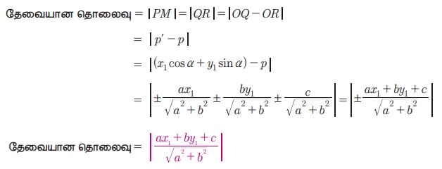
நிரூபணம்
AB என்பது கொடுக்கப்பட்ட கோடு ax + by + c = 0 என்க. (6.20)
கொடுக்கப்பட்ட புள்ளி P(x1, y1) வழியாக AB என்ற கோட்டிற்கு இணையாக CD என்ற கோட்டை வரைக. புள்ளி P(x1, y1) -லிருந்து AB-க்கு செங்குத்துக் கோடு வரைக. அக்கோடு AB -ஐ M -ல் சந்திக்கிறது. மேலும் ஆதியிலிருந்து AB -க்குச் செங்குத்துக் கோடு வரைக. அது AB -ஐ R-லும், CD -ஐ Q -லும் சந்திக்கிறது.
∠BOR = α என்க.
இதன் செங்குத்து வடிவம்
x cos α + y sin α = p, (p = OR) (6.21)
சமன்பாடுகள் (6.20) மற்றும் (6.21), ஒரே நேர்கோட்டை குறிக்கின்றன. எனவே, ஒத்த குணகங்கள் சமவிகிதத்தில் இருக்கும்.


கோடு CD -ன் செங்குத்து வடிவம்.
x cos α + y sin α = p', (p' = OQ) (6.21)
புள்ளி P (x1, y1,) வழியே செல்வதால்
⇒ p' = x1 cos α + y1 sin α (6.22)
P என்ற புள்ளி, நேர்க்கோடு AB -க்கு ஆதியை உள்ளடக்கிய பகுதியிலோ அல்லது ஆதியை உள்ளடக்காத பகுதியிலோ அமையலாம். ஆதலால்,

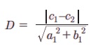
(iii) a1x + b1y + c1 = 0 மற்றும் a1x + b1y + c2 = 0 என்ற இரு இணை கோடுகளுக்கு இடையே உள்ள தொலைவு,

(புள்ளி (x1, y1) பதிலாக ஆதியைப் பயன்படுத்தி முன்பு நிரூபணம் செய்யப்பட்ட முடிவைப் போல் இந்தச் சூத்திரத்தையும் நிரூபிக்க இயலும்)
குறிப்பு:
பயன்பாட்டிற்கான சில முடிவுகள்
• P(x1, y1) என்ற புள்ளியிலிருந்து, ax + by + c = 0 என்ற கோட்டின் மீது அமையும் செங்குத்துக் கோட்டின் அடிப்புள்ளி Q -ன் ஆயத் தொலைவுகளை, (துணையலகு வடிவத்தைப் பயன்படுத்த)

• P(x1, y1) என்ற புள்ளியின் ax + by + c = 0 என்ற கோட்டைப் 6.38 பொறுத்துப் பிம்பப் புள்ளி
-ன் ஆயத் தொலைவுகளை,

எடுத்துக்காட்டு 6.22 3x + 4y = 7 என்ற நேர்க்கோட்டிற்கு (1, 2) என்ற புள்ளி வழியே செல்லக் கூடிய இணை கோடு மற்றும் செங்குத்து கோடுகளின் சமன்பாடுகளைக் காண்க.
தீர்வு
3x + 4y = 7 என்ற கோட்டிற்கு இணையான கோட்டின் சமன்பாடு
3x + 4y = 3x1 + 4y1
இங்கு (x1, y1) என்பது (1, 2) என்க.
⇒ 3x + 4y = 3(1) + 4(2)
3x + 4y = 11
மேலும், 3x + 4y = 7 என்ற கோட்டிற்குச் செங்குத்து கோட்டின் சமன்பாடு
4x - 3y = 4x1 - 3y1
மேற்கண்ட சமன்பாடு (x1, y1) = (1, 2) என்ற புள்ளி வழியே செல்கிறது எனில்
⇒ 4x - 3y = 4(1) + 3(2)
4x - 3y = -2
எனவே தேவையான இணைகோடு மற்றும் செங்குத்து கோடுகளின் சமன்பாடுகள் முறையே
3x + 4y = 11
4x - 3y = -2 ஆகும்.
எடுத்துக்காட்டு 6.23 கீழ்க்காண்பவற்றிற்கு தீர்வு காண்க.
(i) (5,4) மற்றும் (2,0) என்ற புள்ளிகளுக்கு இடையே உள்ள தூரம்
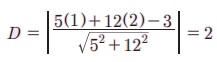
(ii) 5x + 12y – 3 = 0 என்ற கோட்டிற்கும் (1,2) புள்ளிக்கும் இடையே உள்ள தூரம்.
(iii) 3x + 4y = 12 மற்றும் 6x + 8y + 1 = 0 இடையே உள்ள தூரம்.
தீர்வு
(i) (x1, y1) மற்றும் (x2, y2) என்பதை (5, 4) மற்றும் (2, 0) என்க.
புள்ளிகளுக்கு இடைப்பட்ட தூரம்

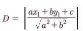
(ii) ax + by + c = 0 என்ற கோட்டிற்கும் (x1, y1) என்ற புள்ளிக்கும் இடையே உள்ள தூரம்

அதாவது, 5x + 12y – 3 = 0 என்ற கோட்டிற்கும் (1 , 2) என்ற புள்ளிக்கும் இடையே உள்ள தூரம்

(iii) a1x + b1y + c1 = 0 மற்றும் a1x + b1y + c2 = 0 இவ்விரு கோடுகளுக்கு இடையே உள்ள தூரம்

கொடுக்கப்பட்ட சமன்பாடுகளை 3x + 4y - 12 = 0 மற்றும் 3x + 4y + 1/2 = 0 என எழுதலாம்.
இங்கு, a1 = 3, b1 = 4, c1 = -12, c2, = 1/2

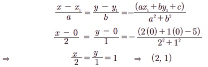
எடுத்துக்காட்டு 6.24 ஆதியிலிருந்து 2x + y = 5 என்ற கோட்டின் மீது மிக அண்மையில் அமைந்துள்ள புள்ளியைக் காண்க.
தீர்வு
ஆதியிலிருந்து 2x + y = 5 என்ற கோட்டிற்கு வரையும் செங்குத்துக் கோட்டின் அடிபுள்ளியே தேவையான புள்ளியாகும். ஆதிப்புள்ளி வழியே செல்லும் கொடுக்கப்பட்ட கோட்டிற்கு செங்குத்துக்கோடு x – 2y = 0.
2x + y = 5, x – 2y = 0 இக்கோடுகளின் தீர்வுகள் x = 2, y = 1 தேவையான கோட்டின் மீது, ஆதிக்கு அருகமைப்புள்ளி (2, 1) ஆகும்.
மாற்று முறை
கொடுக்கப்பட்ட (6.23) சூத்திரத்தைப் பயன்படுத்த,

எடுத்துக்காட்டு 6.25 3x + 4y + 2 = 0 மற்றும் 5x + 12y - 5 = 0 என்ற இரு கோடுகளுக்கு இடைப்பட்ட குறுங்கோணத்தின் இருசமவெட்டியின் சமன்பாட்டைக் காண்க.
தீர்வு
கொடுக்கப்பட்ட சமன்பாடுகள் 3x + 4y + 2 = 0 மற்றும் 5x + 12y - 5 = 0
முதலில், இரு சமன்பாடுகளின் மாறிலியை மிகையாக மாற்ற,
3x + 4y + 2 = 0 மற்றும் -5x -12y + 5 = 0 ஆகும்.
இரு கோடுகளின் இரு சமவெட்டியின் சமன்பாடு,

(நகரும் புள்ளி கோட்டிலிருந்து சமதூரத்தில் இருக்கும்)
a1a1 + b1b1 = -15 – 48 < 0, என்பதால்
இரு கோடுகளுக்கு இடைப்பட்ட குறுங்கோணத்தின் இரு சமவெட்டிகளின் சமன்பாடு,

⇒ 64 x + 112y + 1 = 0
எடுத்துக்காட்டு 6.26 x + y = 5 என்ற கோட்டின் மீது அமையும் 4x + 3y -12 = 0 என்ற கோட்டிலிருந்து 2 அலகுகள் தொலைவில் உள்ள புள்ளிகளை காண்க.
தீர்வு
x + y = 5 -ன் மீது அமைந்துள்ள எந்த ஒரு புள்ளியும் x = t, y = 5- t ஆகும்.
(t, 5 - t) என்ற புள்ளியிலிருந்து 4x + 3y -12 = 0 என்ற கோட்டுக்கு இடைப்பட்ட தொலைவு 2 அலகுகள் எனில்,

எனவே தேவையான புள்ளிகள் (-13, 18) மற்றும் (7, -2)
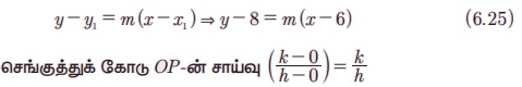
எடுத்துக்காட்டு 6.27 ஒரு நிலையான புள்ளி A(6, 8) வழியே செல்லுகின்ற நேர்க்கோட்டின் மேல், ஆதியிலிருந்து அக்கோட்டிற்கு வரையப்படும் செங்குத்துக் கோட்டின் அடிப்புள்ளியின் நியமப்பாதையைக் காண்க.
தீர்வு
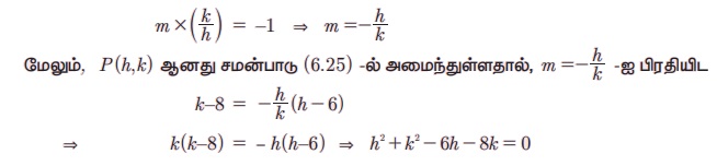
(x1, y1) = (6, 8) மற்றும் ஆதியிலிருந்து (O-லிருந்து) அக்கோட்டிற்கு வரையப்படும் செங்குத்துக் கோட்டின் அடிப்புள்ளியின் நியமப்பாதையிலுள்ள புள்ளி P(h,k) என்க.
நிலையான புள்ளி A (6, 8) -ன் வழியே, m என்ற சாய்வைக் கொண்ட நேர்கோடுகளின் சமன்பாடு

இங்கு OP என்பது சமன்பாடு (6.25) -க்கு செங்குத்தாக உள்ளது.

P(h,k) -ன் நியமப்பாதை
x2 + y2 – 6x - 8y = 0
ஒரு அரை வட்டத்தின் உள்ளமைக் கோணம், ஒரு செங்கோணம் என்ற உண்மை இதன் மூலம் அறியலாம்.
ஒரு குறிப்பிட்ட நிபந்தனையை நிறைவு செய்யும் அல்லது பின்பற்றும் எல்லா நேர்க்கோடுகளும், ஒரு நேர்க்கோட்டின் தொகுப்பு எனப்படும். கீழே கொடுக்கப்பட்டுள்ள எடுத்துக்காட்டுகள் மூலம் சில கோடுகளின் தொகுப்பைக் காணலாம்.
இங்கு m, k மற்றும் h என்பன மாறத்தக்க மாறிலிகள்

ax + by + c = 0 என்ற நேர்க்கோட்டின் பொது வடிவச் சமன்பாட்டில் a, b மற்றும் c என மூன்று மாறத்தக்க மாறிலிகள் இருப்பதாகத் தோன்றுகிறது. ஆனால் உண்மை அதுவல்ல. சமன்பாட்டை b ஆல் வகுக்க (அல்லது a, இவற்றில் எது பூச்சியமற்றதாக உள்ளதோ அதை எடுத்துக்கொள்க),

மேலே கண்ட சமன்பாட்டைச் சாய்வு மற்றும் வெட்டுத்துண்டு வடிவில் எழுத இயலும். இதிலிருந்து நேர்க்கோட்டின் சமன்பாடு இரண்டு மாறத்தக்க மாறிலிகளை கொண்டிருக்கும் எனவும், அந்த மாறத்தக்க மாறிலியின் எண்ணிக்கையை மேலும் குறைக்க இயலாது எனவும், தெளிவாகிறது. ஆகையால், எல்லா நேர்க்கோடுகளும் இரண்டு மாறத்தக்க மாறிலிகளை கொண்டிருக்கும். இதன் விளைவாக ஒரு நேர்க்கோட்டின் சமன்பாட்டை தீர்மானிக்க இரண்டு நிபந்தனைகள் தேவைப்படுகிறது.
நேர்க்கோட்டின் சமன்பாட்டில் ஒரு நிபந்தனையைப் பிரதியிடும்போது இரண்டு மாறத்தக்க மாறிலிகளுக்கு இடையே ஒரு தொடர்பு கிடைக்கும். இப்போது ஒரு மாறத்தக்க மாறிலி மற்ற மாறத்தக்க மாறிலியைத் தீர்மானிக்கும். எனவே, ஒரு நிபந்தனையை நிறைவு செய்யும் கோடுகள் ஒரு மாறத்தக்க மாறிலியை பெற்றிருக்கும். அத்தகைய கோடுகளின் தொகுப்பு ஒற்றைத் துணையலகு நேர்க்கோடுகளின் தொகுப்பு (one parameter family of lines) எனப்படும். மேலும், அந்த தெரியாத மாறத்தக்க மாறிலியானது துணையலகு (Parameter) என அழைக்கப்படுகிறது.
y = mx + b என்ற சமன்பாட்டைப் பயன்படுத்தி நேர்க்கோட்டு தொகுப்பின் மூன்று வகைகளை நாம் இங்கு விவாதிக்கலாம். முதல் இரண்டு வகைகள் ஒற்றைத் துணையலகு தொகுப்புகளாகும் (one parameter family of lines) மற்றும் மூன்றாவது வகை இரண்டு துணையலகுகள் கொண்ட தொகுப்புகளாகும் (two parameters family of lines).
(i) m என்பது மாறத்தக்க மாறிலி மற்றும் b என்பது ஒரு நிலையான மாறிலி.
(ii) b என்பது ஒரு மாறத்தக்க மாறிலி மற்றும் m என்பது ஒரு நிலையான மாறிலி.
(iii) m மற்றும் b இவ்விரண்டும் மாறத்தக்க மாறிலிகள்.
(i) m என்பது மாறத்தக்க மாறிலி மற்றும் b என்பது நிலையான மாறிலி என்க.
y = mx + b என்ற நேர்க்கோடு சமன்பாடுகளின் தொகுப்பில் b = 5 என்க. இங்கு m வெவ்வேறு மெய் மதிப்புகளை எடுத்துக் கொண்டால், 5 அலகுகள் உடைய y- அச்சு வெட்டுத் துண்டைக் கொண்ட கோடுகளின் தொகுப்பு கிடைக்கின்றது.

எடுத்துக்காட்டாக m - ன் மதிப்புகள் - 1, -2, 1/3, 1 மற்றும் 4 என இருக்கும் போது, நேர்க்கோடுகளின் தொகுப்பின் சில உறுப்புகளைப் (கோடுகளை) படத்தில் காணலாம்.
எடுத்துக்காட்டு 6.28 y = mx + 2 என்ற நேர்க்கோட்டுத் தொகுப்பிலுள்ள கோடுகளும், 2x + 3y = 0 என்ற நேர்க்கோடும் வெட்டிக்கொள்ளும் புள்ளியின் x -ன் ஆயத்தொலை மற்றும் சாய்வு m ஆகியன முழு எண்கள் எனில், அந்நேர்க்கோட்டுத் தொகுப்பில் உள்ள கோடுகளின் சமன்பாடுகளைக் காண்க.
தீர்வு
y = mx + 2 என்ற நேர்க்கோட்டுத் தொகுப்பில் உள்ள தேவையான கோடுகளின் சமன்பாடுகளைக் காண, துணையலகு m -ன் மதிப்புகளைக் காண வேண்டும்.
y = mx + 2 மற்றும் 2x + 3y = 10 ஆகிய இரு கோடுகள் வெட்டும் புள்ளி

இங்கு, சாய்வு m மதிப்பு மற்றும் x-ன் ஆயக்கூறுகள் முழுஎண்கள் என கொடுக்கப்பட்டுள்ளன.
எனவே x-ன் மதிப்பு 4/3m+2 என்பது ஒரு முழு எண் ஆகும்.
⇒ 3m+2 என்பது 4 -ஐ வகுக்கும் முழு எண்களாக இருக்கவேண்டும்.
(அதாவது, ±1, ±2 மற்றும் ±4)
எனவே 3m + 2 = ±1, 3m + 2 = ±2, 3m + 2 = ±4
இங்கு m என்பது ஒரு முழு எண், மேலுள்ள சமன்பாடுகளைத் தீர்ப்பதால்,
m = {-2, -1, 0} எனக் கிடைக்கும்.
தேவையான சமன்பாடுகள் y = - 2x + 2, y = x + 2 மற்றும் y = 2 ஆகும்.
(ii) b ஒரு மாறத்தக்க மாறிலி மற்றும் m ஒரு நிலையான மாறிலி என்க.
m என்ற நிலையான மாறிலியை m = - 2 எனக் கொண்டால் y = mx + b என்பது y = -2x + b என மாற்றமடையும். b - ன் பல்வேறு மெய் மதிப்புகளுக்குச் சாய்வு -2 உள்ள நேர்கோட்டு தொகுப்பினைப் பெறலாம். அவற்றில் சிலவற்றின் தொகுப்பைப் படத்தில் காணலாம். எடுத்துக்காட்டாக, b -ன் மதிப்பு -3, -1, 0, 1, 2, 3 மற்றும் 4 என இருக்கும் போது, நேர்க்கோடுகளின் தொகுப்பின் சில உறுப்புகளை (கோடுகளை) படத்தில் காணலாம்.

இணை கோடுகளின் தொகுப்பு மற்றும் செங்குத்துக் கோடுகளின் தொகுப்பு ஆகிய சிறப்பு வகைகளைக் காண்போம்.
இணைகோடுகளின் தொகுப்பு : ax + by + c = 0 என்ற கோட்டிற்குச் இணையாக உள்ள கோடுகளின் தொகுப்பு ax + by + λ = 0 என்ற வடிவில் இருக்கும்.
λ (lambda)-ன் வெவ்வேறு மதிப்புகளுக்கு ax + by + c = 0 - க்கு இணையான வெவ்வேறு கோடுகளைப் பெறலாம்.
செங்குத்துக் கோடுகளின் தொகுப்பு : ax + by + c = 0 என்ற கோட்டிற்குச் செங்குத்தாக உள்ள கோடுகளின் தொகுப்பு bx – ay + λ = 0 என்ற வடிவில் இருக்கும்.
λ -ன் வெவ்வேறு மதிப்புகளுக்கு ax + by + c = 0 என்ற கோட்டிற்குச் செங்குத்தான கோடுகளைப் பெறலாம்.
(iii) m மற்றும் b ஆகியவை மாறத்தக்க மாறிலிகள் என்க.
y = mx + b -ல் m மற்றும் b ஆகியவை மாறத்தக்க மாறிகளாகும். இத்தொகுப்பின் வரைபடத்தை எளிதில் வரைய இயலாது. ஆனால், m -ன் வெவ்வேறு மெய் மதிப்புகளுக்கு y - y1 = m (x – x1) என்ற தொகுப்பின் வரைபடத்தை வரைய இயலும். எடுத்துக்காட்டாக, x = x1 என்ற செங்குத்துக் கோட்டைத் தவிர (x1, y1) என்ற நிலையான புள்ளி வழிச்செல்லும் -2, -4, 7, 1 மற்றும் 3 ஆகிய m-ன் மதிப்புகளையுடைய கோடுகளைப் படத்தில் காணலாம்.

L1 = a1x + b1y + c1 = 0 மற்றும் L2 = a2x + b2y + c2 = 0 ஆகிய சமன்பாடுகளைக் கொண்ட கோடுகள் வெட்டும் புள்ளி வழிச் செல்லும் கோடுகளின் தொகுப்பின் சமன்பாடு
L1 + λ L2 = 0 ஆகும்.
(a1x + b1y + c1) + λ (a2x + b2y + c2) = 0
இங்கு λ (lambda) என்பது துணையலகு ஆகும். வெவ்வேறு λ-ன் மதிப்புக்களுக்கு வெவ்வேறு கோடுகளின் சமன்பாடுகள் கிடைக்கும்.

எடுத்துக்காட்டு 6.29 3x + 2y + 5 = 0 மற்றும் 3x – 4y + 6 = 0 ஆகிய கோடுகள் வெட்டும் புள்ளி வழியாகவும் (1, 1) என்ற புள்ளி வழியாகவும் செல்லும் கோட்டின் சமன்பாட்டைக் காண்க.
தீர்வு
இரண்டு கோடுகள் வெட்டும் புள்ளி வழிச் செல்லும் கோடுகளின் தொகுப்பின் சமன்பாடு
(a1x + b1y + c1) + λ (a2x + b2y + c2) = 0 என்ற அமைப்பில் இருக்கும்.
எனவே, (3x + 2y + 5) + (3x – 4y + 6) = 0
தேவையானகோடு (1, 1) வழி செல்வதால், மேலே உள்ள சமன்பாட்டை நிறைவு செய்யும்.
எனவே, {3+ 2 (1) + 5} + λ {3(1) - 4(1) + 6} = 0 ⇒ λ = -2
⇒ λ = -2 -ஐ மேலுள்ள சமன்பாட்டில் பிரதியிடக் கிடைக்கும் சமன்பாடு,
3x - 10y +7 = 0
(இரு புள்ளி வடிவத்தைப் பயன்படுத்தி இக்கணக்கைச் சரிபார்க்க)
எடுத்துக்காட்டு 6.30 A மற்றும் B ஆகிய இரு கிராமங்களுக்குச் சிறப்பான மின்சாரம் அளிக்க ஒரு துணை மின்நிலையத்தை l என்ற சாலையில் அமைப்பதற்காக அரசு திட்டமிட்டுள்ளது. A மற்றும் B -க்கு முறையே l என்ற சாலையில் P மற்றும் Q என்ற செங்குத்து அடிபுள்ளிகளுக்கு இடைப்பட்ட தொலைவுகள் முறையே 3 கிமீ மற்றும் 5 கிமீ ஆகும். P மற்றும் Q -க்கு இடையேயுள்ள தூரம் 6 கிமீ எனில்,

(i) இரு கிராமங்களைத் துணை மின்நிலையத்துடன் இணைக்கும் கம்பியின் மிகக் குறைந்த நீளம் காண்க. (கிராமங்களையும் துணை மின் நிலையங்களையும் இணைக்கும் சாலைகள்) மற்றும்
(ii) மின் கம்பி செல்லும் பாதையின் சமன்பாடுகள் ஆகியவற்றை காண்க.
தீர்வு
பிரதிபலிப்புத் தத்துவத்தைப் பயன்படுத்தி தீர்வு காணல்:
PQ-ஐ இணைக்கும் நேர்கோட்டை x -அச்சாகவும்,
PA-ஐ இணைக்கும் நேர்கோட்டை y-அச்சாகவும்,
P -ஐ ஆதிப்புள்ளியாகவும் கொள்க.
எனவே, P(0, 0), A(0, 3) மற்றும் B(6, 5) ஆகியவை கிடைக்கும்.


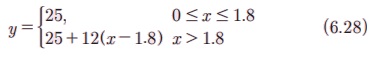
எடுத்துக்காட்டு 6.31 ஒரு மகிழுந்தில், முதல் 1.8 கிமீ வரை பயணம் செய்ய வாடகை ₹25 மற்றும் அதற்கு மேல் பயணத்திற்கு ஒவ்வொரு கிலோமீட்டருக்கும் ₹12 வாடகை வசூலிக்கப்படுகிறது. பயண தூரம் x கிலோ மீட்டருக்கும் அதன் வாடகை ₹y-க்கும் உள்ள தொடர்பின் சமன்பாட்டைக் காண்க. மேலும் 15 கிலோமீட்டர் பயணத்திற்கான வாடகை காண்க.
தீர்வு

1.8 கிலோமீட்டர் வரை மாறாத வாடகை ₹25. எனவே, அதன் சமன்பாடு y = 25, 0 ≤ x ≤ 1.8 (6.26)
கிலோமீட்டர் 1.8-க்கு மேல் ஒவ்வொரு கிலோமீட்டருக்கும் வாடகை ₹12. இதன் சமன்பாடு,
y = 25 + 12 (x - 1.8), x > 1.8 (6.27)
சமன்பாடுகள் (6.26) மற்றும் (6.27) ஆகியவற்றிலிருந்து,

x = 15 எனில், சமன்பாடு (6.27) -லிருந்து
y = 25 + 12 (15 - 1.8) = 183.40.
ஃ. 15 கிமீ பயணம் செய்ய வாடகை ₹183.40.

நீங்கள் இருக்கும் பகுதியில் வாடகை மகிழுந்து சேவை (call taxi) இருக்குமானால், உங்கள் கைபேசி மூலம் வாடகை மகிழுந்து ஒன்றினை அழைக்கும்போது, உங்கள் அழைப்பு தானாகவே உங்களுக்கு அருகாமையிலுள்ள மகிழுந்துடன் தொடர்புகொள்கிறது. பிறகு தங்கள் விருப்பத்திற்கேற்ப நீங்கள் அழைக்கும் இடத்திற்கு வந்து நீங்கள் செல்லவேண்டிய இடத்திற்கு தானாகவே வழிகாட்டிச் செல்லும். இவ்வாறு நீங்கள் அழைத்த இடம், செல்லவேண்டிய இடம், பாதை, தூரம்... அனைத்தும் அறிந்துகொள்ள எவ்வகையான ஆயத்தொலை அமைப்பு இங்கு பயன்படுகிறது?
இதனை அறிந்துகொள்ள : www.mapbox.com என்ற வலைதளத்தை பயன்படுத்துக.
எடுத்துக்காட்டு 6.32 (3, 0) மற்றும் (5, 2) ஆகிய புள்ளிகளை இணைக்கும் கோட்டை (3, 0)-ஐ மையமாகக் கொண்டு 15° கடிகார எதிர்சுற்றில் சுழற்றும்போது புதிய நிலையில் நேர்க்கோட்டுச் சமன்பாட்டைக் காண்க.
தீர்வு

புதிய நிலையில் உள்ள கோட்டின் சாய்வு = m = tan( 45° + 15°)
= tan 60° = √3
புள்ளி (3, 0) வழியாகவும் சாய்வு √3 -ஐக் கொண்ட நேர்க்கோட்டின் சமன்பாடு
y - 0 = √3 (x - 3)
√3x – y – 3√3 = 0
1. 3x + 2y + 9 = 0 மற்றும் 12x + 8y - 15 = 0 ஆகியவை இணைகோடுகள் எனக் காட்டுக.
2. 5x - 4y + 3 = 0 என்ற கோட்டிற்கு இணையாக, x -அச்சின் வெட்டுத்துண்டு 3 எனக் கொண்ட நேர்க்கோட்டின் சமன்பாட்டைக் காண்க.
3. 4x + 3y + 4 = 0 என்ற கோட்டிற்கும் மற்றும் (i) (-2, 4) (ii) (7, -3) என்ற புள்ளிக்கும் இடையே உள்ள தொலைவைக் காண்க.
4. (1, -1 ) என்ற புள்ளி வழியே செல்லும்
(i) x + 3y - 4 = 0-க்கு இணையான
(ii) 3x + 4y = 6-க்கு செங்குத்தான,
நேர்க்கோட்டின் சமன்பாட்டை காண்க.
5. சாய்சதுரத்தின் ஒரு முனை புள்ளி (-4, 7), மேலும் 5x – y + 7 = 0 என்ற கோடு ஒரு மூலை விட்டத்தின் சமன்பாடு எனில், மற்றொரு மூலைவிட்டத்தின் சமன்பாட்டைக் காண்க.
6. 4x – y + 3 = 0 மற்றும் 5x + 2y + 7 = 0 என்ற இவ்விரு கோடுகள் வெட்டிக் கொள்ளும் புள்ளி வழியே செல்லக்கூடியதும் மற்றும்
(i) (-1, 2 ) என்ற புள்ளி வழியே செல்லும்
(ii) x - y + 5 = 0 என்ற கோட்டிற்கு இணையான
(iii) x - 2y + 1 = 0 என்ற கோட்டிற்குச் செங்குத்தான
நேர்க்கோட்டின் சமன்பாட்டைக் காண்க.
7. 12x + 5y + 2 = 0 என்ற கோட்டிற்கு இணையாக, (1, -1) என்ற புள்ளியிலிருந்து ஒரு அலகு தொலைவில் உள்ள இரு கோடுகளின் சமன்பாடுகளைக் காண்க.
8. 3x + 4y - 6 = 0 என்ற கோட்டிற்குச் செங்குத்தாக, (2, 1) என்ற புள்ளியிலிருந்து 4 அலகுகள் தொலைவில் உள்ள நேர்க்கோடுகளின் சமன்பாட்டைக் காண்க.
9. 2x + 3y = 10 என்ற கோட்டிற்கு இணையான கோட்டின் ஆய அச்சுகளின் வெட்டுத்துண்டுகளின் கூடுதல் 15 எனில், அக்கோட்டின் சமன்பாட்டைக் காண்க.
10. (-10,- 2) என்ற புள்ளியிலிருந்து x + y - 2 = 0 என்ற கோட்டிற்கு வரையப்படும் செங்குத்துக் கோட்டின் நீளத்தையும் அதன் அடிப்புள்ளியையும் காண்க.
11. x sec θ + y cosec θ = 2a மற்றும் x cos θ - ysin θ = a cos 2 θ என்ற கோடுகளுக்கு ஆதியிலிருந்து செங்குத்துத் தூரங்கள் முறையே p1, மற்றும் p2 எனில் p12 + p22? = a2 என நிறுவுக.
12. கீழ்க்காணும் இணைக் கோடுகளுக்கு இடைப்பட்ட தூரத்தைக் காண்க.
(i) 12x + 5y = 7 மற்றும் 12 x + 5y + 7 = 0
(ii) 3 x – 4 y + 5 = 0 மற்றும் 6x - 8 y - 15 = 0
13. 3x + 4y - 12 = 0 என்ற நேர்க்கோட்டிற்கு
(i) செங்குத்தான (ii) இணையான நேர்க்கோடுகளின் தொகுப்பினைக் காண்க.
14. A(2, 0) மற்றும் B(3, 1) ஆகிய புள்ளிகளை இணைக்கும் கோட்டை, புள்ளி A -ஐ பொறுத்துக் கடிகார எதிர்திசையில் 15° கோணத்தில் சுழற்றுவதால் கிடைக்கும் புதிய நிலையில் உள்ள நேர்க்கோட்டின் சமன்பாட்டைக் காண்க.
15. (1, 2) என்ற புள்ளியிலிருந்து வரும் ஒரு ஒளிக் கதிர் x- அச்சின் மீதுள்ள புள்ளி A-ல் பிரதிபலித்து, (5,3) என்ற புள்ளி வழியே செல்கிறது எனில் புள்ளி A -ன் ஆயத்தொலைகளைக் காண்க.
16. 5x = y + 7 என்ற கோட்டிற்கு செங்குத்தாக வரையப்படும் கோடு ஆய அச்சுகளுடன் ஏற்படுத்தும் முக்கோணத்தின் பரப்பு 10 ச. அலகுகள் எனில் அக்கோட்டின் சமன்பாட்டைக் காண்க.
17. x + 2y - 9 = 0 என்ற கோட்டைப் பொருத்து (-2 , 3) என்ற புள்ளியின் பிம்பப் புள்ளியை காண்க.
18. ஒரு புகைப்பட நகலகத்தில் முதல் 10 பிரதிகளுக்கு ஒரு பிரதிக்கு ₹1.50 வீதம் வசூலிக்கப்படுகிறது. 10 பிரதிகளுக்கு மேல் அடுத்தடுத்த பிரதிகளுக்கு ₹1 வீதம் கட்டணம் வசூலிக்கப்படுகிறது. x என்பது பிரதிகளின் எண்ணிக்கையையும், y என்பது நகல்களின் கட்டணத்தையும் குறிக்கிறது என்க.
(i) x - ன் மதிப்பு 0 முதல் 50 நகல்கள் வரை உள்ள கட்டணத்தைக் குறிக்கும் வரைபடம் வரைக.
(ii) 40 பிரதிகள் எடுப்பதற்கு ஆகும் கட்டணம் எவ்வளவு?
19. y = 5x + b இங்கு b மாற்றத்தக்க மாறிலி மற்றும் 3x - 4y = 6 என்ற கோட்டுடன் வெட்டும் புள்ளியின் x -ஆயத்தொலை மற்றும் b ஆகியவை முழுக்கள் எனில், அந்த நேர்க்கோட்டின் தொகுப்பில் குறைந்தபட்சம் இரண்டு நேர்க்கோடுகளின் சமன்பாட்டைக் காண்க.
20. y = mx - 3 என்ற நேர்க்கோட்டு தொகுப்பிலுள்ள கோடுகளும் x - y = 6 என்ற நேர்க்கோடும், வெட்டிக்கொள்ளும் புள்ளியின் x -ன் ஆயத்தொலை மற்றும் சாய்வு m ஆகியன முழுக்களாகும் எனில், y = mx - 3 -ன் நேர்க்கோட்டு தொகுப்பில் உள்ள கோடுகளின் சமன்பாடுகளைக் காண்க.