அமீன்கள் வகைப்படுத்துதல்

அ) பொதுவான பெயரிடும் முறை
ஆல்கைல் தொகுதியை அமீனுக்கு முன்னொட்டாக சேர்த்து பொதுவான முறையில் பெயரிடப்படுகிறது. டை, ட்ரை மற்றும் டெட்ரா முதலிய முன்னொட்டுகள் முறையே இரண்டு, மூன்று மற்றும் நான்கு பதிலிகளை குறிப்பிட பயன்படுகிறது.
ஆ) IUPAC முறை

தன்மதிப்பீடு
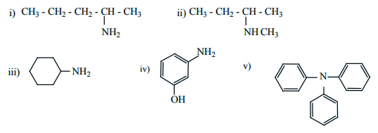
பின்வரும் சேர்மங்களுக்கு வடிவமைப்புகளை வரைக.
i. நியோபென்டைல் அமீன்
ii. மூவிணைய பியூட்டைல் அமீன்
iii. α- அமினோ புரப்பியோனால்டிஹைடு
iv. ட்ரைபென்சைல் அமீன்
v. N - எத்தில் --N - மெத்தில்ஹெக்சன் -3-அமீன்
8) பின்வரும் அமீன்களுக்கு சரியான IUPAC பெயரைத் தருக

அம்மோனியாவைப் போன்று, அமீன்களில் உள்ள நைட்ரஜன் மும்மை இணைதிறனைப் பெற்றுள்ளது. மேலும் தனித்த எலக்ட்ரான் இரட்டையைக் கொண்டுள்ளதுடன், sp3 இனக்கலப்பு ஆர்பிட்டால்களில், மூன்று sp3 இனக்கலப்பு ஆர்பிட்டால்கள் ஹைட்ரஜன் (அல்லது) ஆல்கைல் தொகுதி கார்பனின் ஆர்பிட்டால்களுடன் மேற்பொருந்துகிறது. நான்காவது sp3 இனக்கலப்பு ஆர்ப்பிட்டாலில் தனித்த இரட்டை எலக்ட்ரான் காணப்படுகிறது. எனவே, அமீன்கள் பிரமிடு வடிவத்தினை பெற்றுள்ளன. தனித்த இரட்டை எலக்ட்ரான் காணப்படுவதால் C- N- H (அல்லது) C- N-C பிணைப்புக் கோணமானது வழக்கமான நான்முகி பிணைப்புக் கோணமாக 109.5° காட்டிலும் குறைவானதாகும். எடுத்துக்காட்டாக, ட்ரைமெத்தில் அமீனின் C- N- C பிணைப்புக் கோணம் 108° ஆகும். இது நான்முகி பிணைப்புக் கோணத்தை விடக் குறைவு. மேலும் H- N- H பிணைப்புக் கோணமான 107 ஐ விட அதிகம். பெரிய ஆல்கைல் தொகுதிகளுக்கு இடையேயான விலக்கு விசையே இந்த பிணைப்புக் கோண அதிகரிப்பிற்கு காரணமாகும்.
