கதிர் ஒளியியல் | இயற்பியல் - மொத்த பயிற்சி கணக்குகளும் எடுத்துக்காட்டுகளும் | 12th Physics : UNIT 6 : Ray Optics
V. பயிற்சி கணக்குகள்
1. 4 cm உயரமுள்ள பொருளொன்று, 24 cm வளைவு ஆரம் கொண்ட குழி ஆடி ஒன்றின் முன்பு 6 cm தொலைவில் வைக்கப்பட்டுள்ளது. குழி ஆடியால் தோற்றுவிக்கப்படும் பிம்பத்தின் அமைவிடம், உயரம், உருப்பெருக்கம் மற்றும் பிம்பத்தின் தன்மை போன்றவற்றைக் கணக்கிடு.
தீர்வு: கொடுக்கப்பட்டவை:
பொருளின் உயரம், h = 4 செ.மீ.
குழி ஆடியிலிருந்து பொருளின் தூரம், u = 6 செ.மீ
கார்ட்டீசியன் குறியீட்டு மரபு படி u = -6 செ.மீ
குழி ஆடியின் வளைவு ஆரம், R = 24 செ.மீ
குழி ஆடியின் குவியத்தூரம், f = R/2
24/2 = 12 செ.மீ
கார்ட்டீசியன் குறியீட்டு மரபு படி, f = -12 செ.மீ
பிம்பத்தின் தூரம் v = ?
1/f = 1/u + 1/v
1/-12 = 1/-6 + 1/v
1/v = 1/-12 + 1/6
1/v = 1/12
v = 12 செ.மீ
உருப்பெருக்கம், m = - v/u [m = பிம்பத்தின் தூரம் / பொருளின் உயரம்]
m = - v/u = - 12/-6 = 2
m = 2
பிம்பத்தின் தூரம் h’ = ?
உருப்பெருக்கம், m = h’/h [m = பிம்பத்தின் உயரம் / பொருளின் உயரம்]
2 = h’/4
h' = 4 × 2 = 8 செ.மீ
h’ = 8 செ.மீ
P மற்றும் Fக்கு இடையே பொருள் வைக்கப்பட்டுள்ளதால், பொருளின் உயரத்தை விட 2 மடங்கு உயரம் கொண்ட பிம்பத்தை பெறலாம், அது நேரான, மாய பிம்பம். குழி ஆடிக்கு வலப்புறமாகத் தோன்றும்.
[ விடை : v = 12 cm, h = 8 cm, m = 2 பொருளின் உயரத்தைவிட இரண்டு மடங்கு உயரம் கொண்ட, நேரான மாய பிம்பம், குழி ஆடியில் வலது பக்கமாக தோன்றும்]
2. 20 cm குவியத்தூரம் கொண்ட குழி ஆடிக்கு முன்பாகப் பொருளொன்று வைக்கப்பட்டுள்ளது. பொருளின் அளவைப்போன்று மூன்று மடங்கு தொலைவில் பிம்பம் தோன்றுகிறது எனில், குழி ஆடியிலிருந்து பொருளை வைக்க சாத்தியமான இரண்டு தொலைவுகளைக் கணக்கிடு.
தீர்வு: கொடுக்கப்பட்டவை:
குழி லென்சின் குவியதூரம் f = 20 செ.மீ
உருப்பெருக்கம் m = 3
முதல் நிகழ்வு :
மாயபிம்பமாக இருக்கும்போது m = 3
m = -v/u = 3
v = -3u
ஆடி சமன்பாட்டின் படி
1/f = 1/u + 1/v
1/-20 = 1/u – 1/3u
3u / 2 = -20
u = -40/3 செ.மீ
இரண்டாவது நிகழ்வு:
மெய்பிம்பமாக இருக்கும்போது m = -3
m = -v / u
- v / u = -3
v = 3u
ஆடி சமன்பாடு படி

குழி ஆடியிலிருந்து பொருளை வைக்க சாத்தியமான இரு தொலைவுகள் : +m எனில் -40/3 செ.மீ. மற்றும் –m எனில் -80/3 செ.மீ.
(விடை: +m எனில் −40/3 cm மற்றும் −m எனில் −80/3 cm]
3. சிவப்பு, பச்சை மற்றும் நீல வண்ணக் கலவையால் ஆக்கப்பட்டுள்ள ஒளிக்கதிர், செங்குத்து முப்பட்டகம் ஒன்றின் மீது படத்தில் காட்டி உள்ளவாறு விழுகிறது, மேலே குறிப்பிடப்பட்டுள்ள சிவப்பு, பச்சை மற்றும் நீலவண்ணங்களுக்கான முப்பட்டகப் பொருளின் ஒளிவிலகல் எண்கள் முறையே 1.39, 1.44 மற்றும் 1.47 ஆகும். மேலே குறிப்பிடப்பட்டுள்ள வண்ணங்களில் எவை முழு அக எதிரொளிப்பை அடையும்?

தீர்வு. கொடுக்கப்பட்டவை:
முழு அக எதிரொளிப்பு ஏற்படவேண்டுமெனில், படுகோணத்தின் மதிப்பு, மாறுநிலைக் கோணத்தைவிட அதிகமாக இருக்க வேண்டும்.

அதாவது i > ic, 45 > ic, sin 45o > sin ic.
⇒ 1/√2 > 1/n or n > √2 or n > 1.414
சிவப்புக்கான முப்பட்டக ஒளிவிலகல் எண் nசிவப்பு = 1.39
பச்சைக்கான முப்பட்டக ஒளிவிலகல் எண் nபச்சை = 1.44
நீல வண்ணத்துக்கான ஒளிவிலகல் எண் nநீலம் = 1.47
⇒ nசிவப்பு µr = 1.39
⇒ nபச்சை µg = 1.44
⇒ nநீலம் µb = 1.47
ஆகவே n > 1.414 என்று உள்ளபோது, µg > 1.414 மற்றும் µb > 1.414. ஆனால் µr < 1.414. எனவே பச்சை மற்றும் நீல வண்ணங்கள் முழு அக எதிரொளிப்பை அடையும். முப்பட்டகம் சிவப்பு வண்ணத்தைப் பிரித்து, விலகல் அடையச் செய்யும்.
[விடை : பச்சை மற்றும் நீல வண்ணங்கள் முழு அக எதிரொளிப்படையும் ]
4. குவியத் தொலைவு 20 cm கொண்ட குவிலென்ஸ் ஒன்றிலிருந்து எத்தொலைவில் பொருளை வைத்தால் பொருளைவிட நான்கு மடங்கு பெரிதாக்கப்பட்ட பிம்பம் கிடைக்கும்?
தீர்வு. கொடுக்கப்பட்டவை:
குவிலென்சின் குவியத்தொலைவு f =20 செ.மீ
கண்டறிய:
உருப்பெருக்கம் m = 4 = v/u
லென்சின் சமன்பாட்டின் படி

[விடை: u = –15 cm]
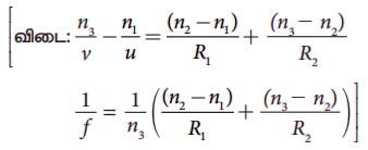
5. இடது பக்கம் n1 ஒளிவிலகல் எண் கொண்ட ஊடகத்தையும் வலது பக்கம் n3 ஒளிவிலகல் எண் கொண்ட ஊடகத்தையும் பிரிக்கும் வகையில், n2 ஒளிவிலகல் எண் கொண்ட லென்ஸ் ஒன்று வைக்கப்பட்டுள்ளது. இந்த லென்ஸிற்கான லென்ஸ் உருவாக்குபவரின் சமன்பாட்டை பெருக?


6. ஒளிவிலகல் எண் 1.5 கொண்ட கண்ணாடியால் செய்யப்பட்ட லென்ஸ் ஒன்றின் திறன் + 5.0 D இந்த லென்ஸ் n ஒளிவிலகல் எண் கொண்ட திரவம் ஒன்றில் மூழ்கவைக்கப்படும் போது குவியத் தூரம் 100 cm கொண்ட விரிக்கும் லென்சாக மாறுகிறது எனில், திரவத்தின் ஒளிவிலகல் எண் n இன் மதிப்பு என்ன?

(விடை : 5/3]
7. குவிலென்ஸின் குவியத்தொலைவைப் போன்று 4 மடங்கு தொலைவில் அதாவது, D தொலைவில் பொருளும் திரையும் பிரித்து வைக்கப்பட்டுள்ளன. இணை குவிய முறையின்படி (Conjugate foci method) பொருளுக்கும் திரைக்கும் நடுவே இரண்டு நிலைகளில் குவிலென்ஸை வைத்து பிம்பத்தை உருவாக்கலாம். இவ்விரண்டு நிலைகளுக்கு இடையே உள்ள தொலைவை f எனக் கொண்டு, குவிலென்சின் குவியத்தூரத்திற்கான சமன்பாட்டை வருவி
தீர்வு:

பொருள் மட்டும் திரைக்கிடையேயான தொலைவு
D = u + v
m1 = v / u ; m2 = u / v ;
m1m2 = 1
பிம்பம் 1 ன் உருவம் m1 மடங்கு பொருளின் உருவத்திற்கு சமம்.

கூர்மையான பிம்பத்திற்கு லென்ஸ்க்கிடையேயான தொலைவு d = v − u

8. குழிலென்ஸ் ஒன்று எப்போதும், ஏன் நேரான மற்றும் சிறிய மாய பிம்பத்தையே உருவாக்குகிறது என்பதை உரிய முறையில் நிரூபி.
[குறிப்பு: குவிலென்ஸ் என்பது நேரான, மங்கலான, மாய பிம்பத்தை உருவாக்காது.]
தீர்வு. குழிலென்ஸானது எப்போதும், நேரான, மங்கலான மாய பிம்பத்தை உருவாக்குகிறது.
1. பொருள் ஈரில்லாத் தொலைவில் உள்ளபோது

2. பொருளானது ‘O’ மற்றும் ஈரில்லாத் தொலைவு ஆகியவற்றிற்கு இடையில் உள்ளபோது:

அடிப்படையில், குழிலென்ஸானது இணை கதிர்களை விரிகதிர்களாக மாற்றி, இவ்வாறான பிம்பங்களைத் தருகிறது.
9. குவியத்தூரம் 15 cm உடைய, தட்டையான பக்கத்தில் வெள்ளிபூசப்பட்ட தட்டை குவிலென்ஸ் ஒன்றின் முன்பாக, 20 cm தொலைவில் புள்ளிப்பொருள் ஓன்று வைக்கப்பட்டுள்ளது. புள்ளிப்பொருளின் இறுதி பிம்பத்தின் அமைவிடம் மற்றும் தன்மையைக் காண்க.

குவிலென்ஸ் மற்றும் சமதள ஆடி கொண்ட ஓர் அமைப்பைக் கருதுக.
லென்ஸிலிருந்து ஒளி விலகல்:
பொருளிலிருந்து வரும் ஒளிக்கதிர் இந்த 'தட்டைக் குவிலென்ஸ்' மீது விழுந்து முதலாவது பிம்பம் v1 என்ற தூரத்தில் தோன்றுகிறது என்க.
u = -20 செ.மீ
லென்ஸ் சமன்பாடு :

v1 = 60 செ.மீ
முதல் பிம்பம் லென்ஸ்க்கு வலப்புறம் 60 cm தொலைவில் உருவாகும்.
ஆடியிலிருந்து எதிரொளிப்பு :
ஆடியிலிருந்து எதிரொளிப்பு அடைந்த பிறகு இரண்டாவது பிம்பம் லென்ஸ்க்க இடப்புறமாக 60 cm தொலைவில் உருவாகும். தட்டைக்குவிலென்ஸ்க்கான மாயப் பொருளாக இது தோன்றும்.
u = + 60 செ.மீ ; f = 15 செ.மீ
லென்ஸ் ஒளிவிலகல் :
லென்ஸ் சமன்பாடு,

கார்ட்டீசியன் குறியீட்டு மரபுபடி, ஆடிமுனைக்கு இடப்புறமாக, முதன்மை அச்சுக்கு இணையாக அளக்கப்படும் தூரத்தை, எதிர்க்குறி தூரமாகக் கருத வேண்டும்.
எனவே v = -12 செ.மீ
[விடை: v = –12 cm]
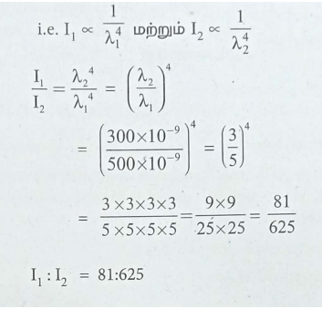
10. இராலே ஒளிச் சிதறலை தோற்றுவிக்கும் 500nm மற்றும் 300nm அலைநீளம் கொண்ட இரண்டு ஒளிக்கதிர்களின் செறிவுகளின் விகிதத்தைக் காண்க.
தீர்வு. கொடுக்கப்பட்டவை:
ஒளிக்கதிர்களின் அலைநீளம் :
λ1 = 500 nm
λ2 = 300 nm
செறிவு 
ஒளிக்கதிர்களின் செறிவு, I1 மற்றும் I2 என்க
இராலே ஒளிச்சிதறலில், சிதறலடைந்த ஒளியின்

செறிவுகளின் விகிதம் = 81:625
[விடை: 81:625]
எடுத்துக்காட்டு 6.1
ஒளி எதிரொளிக்கும் பரப்பினை θ கோணம் சாய்க்கும் போது எதிரொளிக்கும் கதிர் 2θ கோணம் சாயும் என்பதை நிரூபி.
தீர்வு :
எதிரொளிக்கும் பரப்பு ABக்கு, படுகதிர் IO மற்றும் எதிரொளிப்புக்கதிர் OR1 ஆகும். இங்கு எதிரொளிக்கும் பரப்புக்குச் செங்குத்தைப் பொருத்து (குத்துக்கோடு N) i என்பது படுகோணமாகும். இது எதிரொளிப்புக் கோணத்திற்குச் சமமாகும். இது படத்தில் காட்டப்பட்டுள்ளது. எதிரொளிக்கும் பரப்பு AB θ கோணம் சாயும். A’ B’ நிலைக்குக் கொண்டுவரும் போது, குத்துக்கோடும், N நிலையிலிருந்து N' நிலைக்கு θ கோணம் சாயும். இங்கு படுகதிர் IO மாறாமல் ஒரே நிலையில் இருப்பதை நினைவில் கொள்ள வேண்டும். சாய்க்கப்பட்ட நிலையில் படுகோணம் i+θ. எனவே, எதிரொளிப்புக்கோணமும் i+θ. ஆகும். ஆனால் சாய்க்கப்பட்ட நிலையில் எதிரொளிப்புக்கதிர் OR2. எனவே, OR2. மற்றும் OR1. க்கு இடையே ஏற்பட்டக் கோணம்
∠RIOR2 = ∠ZN'OR2- ∠ZNORI
(i+θ) - (i-θ) = 2θ ஆகும்.

எடுத்துக்காட்டு 6.2
ஒருவர், தம் முழு உருவத்தையும் கண்ணாடியில் பார்க்க வேண்டுமென்றால், கண்ணாடியின் உயரம் எவ்வளவு இருக்க வேண்டும்?
தீர்வு:
h உயரம் கொண்ட மனிதர் ஒருவர் செங்குத்தாக உள்ள கண்ணாடியின் முன்னே நிற்கிறார் எனக் கருதுக. அவரின் தலை மற்றும் பாதத்திலிருந்து செல்லும் ஒளிக்கதிர்கள் கண்ணாடியில் பட்டு எதிரொளித்து, அவரின் கண்களை அடைந்தவுடன், அவர், தமது தலை மற்றும் பாதங்களைக் காண்கிறார்.

அவரின் தலை (H) மற்றும் கண் (E) இரண்டிற்கும் இடைப்பட்ட தொலைவை h1, எனவும், அவரின் பாதம் (F) மற்றும் கண் (E) இரண்டிற்கும் இடைப்பட்ட தொலைவை h2, எனவும் கொள்க. எனவே, மனிதனின் மொத்த உயரம் h = h1, + h2, ஆகும்.
எதிரொளிப்பு விதியின்படி, இரண்டு கடைக்கோடி புள்ளிகளில் ஏற்படும் எதிரொளிப்புகளிலும் (extreme reflections) படுகோணமும் எதிரொளிப்புக் கோணமும் ஒன்றுக்கொன்று சமமாகும். மேலும், இவ்விரண்டு எதிரொளிப்புகளிலும் படுகதிர் மற்றும் எதிரொளிப்புக் கதிர்களுக்கு இடையே உள்ள கோணத்தின் இருசமவெட்டியே, செங்குத்துக் கோடாகும். வடிவியலின்படி மனிதரின் முழு உருவத்தையும் காண, கண்ணாடி, அவரின் உயரத்தில் பாதி அளவு இருந்தால் போதுமானதாகும். h1, + h2/2 = h/2
கண்ணாடியின் உயரம் , மனிதருக்கும் கண்ணாடிக்கும் இடையே உள்ள தூரத்தைச் சார்ந்ததா?
எடுத்துக்காட்டு 6.3
15.0 cm குவியத்தூரம் கொண்ட குழி ஆடியின் முன்னே 20.0 cm தொலைவில் பொருளொன்று வைக்கப்பட்டுள்ளது.
அ) தெளிவான பிம்பத்தினைப் பெற, குழி ஆடியிலிருந்து திரையை எவ்வளவு தொலைவில் வைக்க வேண்டும்?
ஆ) பிம்பத்தின் தன்மை என்ன ?
தீர்வு

குழி ஆடியின் இடப்புறத்தில் 60.0 cm தொலைவில் பிம்பம் தோன்றும். எனவே, திரையினை குழி ஆடிக்கு இடப்புறமாக 60.0 cm தொலைவில் வைக்க வேண்டும்.

உருப்பெருக்கம் எதிர்குறியில் உள்ளதால், தலைகீழான பிம்பம் கிடைக்கும்.
உருப்பெருக்கத்தின் எண்மதிப்பு 3. எனவே, பிம்பம் மூன்று மடங்கு பெரியதாகக் காணப்படும்.
குழி ஆடியின் இடப்புறமாக பிம்பம் தோன்றுவதால் பிம்பம் மெய்பிம்பமாகும்.
எடுத்துக்காட்டு 6.4
f/3 நீளம் கொண்ட மெல்லிய தண்டு ஒன்று, f குவியத்தூரம் கொண்ட குழி ஆடியின் முதன்மை அச்சின் மீது அத்தண்டின் நீட்டப்பட்ட மெய்பிம்பத்தைத் தொடும்படி வைக்கப்பட்டுள்ளது எனில், குழி ஆடியின் நெடுக்கு உருப்பெருக்கத்தைக் காண்க.
தீர்வு

பிம்பத்தின் ஒரு முனை பொருளோடு பொருந்தி உள்ளது. எனவே, பொருந்தியுள்ள முனை கண்டிப்பாக வளைவு மையமாக இருக்க வேண்டும்.


எடுத்துக்காட்டு 6.5
ஒளிவிலகல் எண் 1.5 கொண்ட கண்ணாடி வழியே செல்லும் ஒளியின் வேகத்தைக் காண்க.
தீர்வு

கொடுக்கப்பட்ட கண்ணாடி வழியே 2x108 ms-1 வேகத்தில் ஒளி செல்லும்.
எடுத்துக்காட்டு 6.6
ஒளி, காற்றிலிருந்து ஒளிவிலகல் எண் 1.5 மற்றும் 50 cm தடிமன் கொண்ட கண்ணாடியினுள் செல்கிறது.
(i) கண்ணாடியில் ஒளியின் வேகம் என்ன?
(ii) கண்ணாடியைக் கடந்து செல்ல ஒளி எடுத்துக் கொள்ளும் நேரம் என்ன? (iii) கண்ணாடியின் ஒளிப்பாதையைக் கணக்கிடுக.
தீர்வு
கொடுக்கப்பட்டவை, தடிமன் d = 50 cm = 0.5 m
ஒளிவிலகல் எண் n = 1.5
ஒளிவிலகல் எண், n = c/v
கண்ணாடியில் ஒளியின் வேகம்,

கண்ணாடியைக் கடந்து செல்ல ஒளி எடுத்துக் கொள்ளும் நேரம்,

ஒளிப்பாதை,
d' = nd = 1.5x0.5 = 0.75m=75 cm
குறிப்பு: ஒளி, கண்ணாடியைக் கடந்து செல்லும் நேர இடைவெளியில், 25 cm கூடுதலாக (75cm - 50cm) ஒளி வெற்றிடத்தின் வழியே கடந்து சென்றுவிடும்.
ஒளிவிலகல் (Refraction) - எடுத்துக்காட்டு கணக்குகள்
எடுத்துக்காட்டு 6.7
ஒளிபுகும் எண்ணெய்யின் வழியாகச் செல்லும் ஒளிக்கதிர், ஒளிவிலகல் எண் n8 1.5 கொண்ட கண்ணாடியினுள் நுழைகிறது. எண்ணெய்யைப் பொருத்துக் கண்ணாடியின் ஒளிவிலகல் எண் n. 1.25 எனில், எண்ணெய்யின் ஒளிவிலகல் எண் என்ன ?
தீர்வு
கொடுக்கப்பட்டவை ngo =1.25 மற்றும் ng =1.5 எண்ணெய்யைப் பொருத்து கண்ணாடியின் ஒளிவிலகல் எண்

சமன்பாட்டினைச் சீரமைக்கும்போது

எனவே எண்ணெய்யின் ஒளிவிலகல் எண் n0 = 1.2 ஆகும்.
எடுத்துக்காட்டு 6.8
தொட்டி ஒன்றினுள் ஒன்றுடன் ஒன்று கலக்காத மற்றும் ஒளிவிலகல் எண்கள் முறையே 1.3, 1.4 மற்றும் 1.5 கொண்ட மூன்று திரவங்கள் 30 cm, 16 cm மற்றும் 20 cm உயரத்திற்கு நிரப்பி வைக்கப்பட்டுள்ளன. அத்தொட்டியின் அடிப்பரப்பில் நாணயம் ஒன்று உள்ளது. வெளியில் உள்ள காற்று ஊடகத்திலிருந்து நாணயத்தைப் பார்க்கும்போது, எந்தத் தோற்ற ஆழத்தில் நாணயம் தெரியும்? எந்த ஊடகத்தில் நாணயம் இருப்பது போன்று தோன்றும்?
தீர்வு
மேலே இருந்து பார்க்கும் போது, நாணயம் அடிப்பரப்பிலேயே தொடர்ந்து தெரியும். மேலும், ஒவ்வோர் ஊடகமும் வெளியில் உள்ள காற்று ஊடகத்தைப்பொருத்துச் சுருங்கித் தெரியும். இது கீழே உள்ள படத்தில் சுட்டிக்காட்டப்பட்டுள்ளது.

ஒவ்வோர் ஊடகத்திற்குமான தோற்ற ஆழச் சமன்பாடுகள்,


முழு அக எதிரொளிப்பின் விளைவுகள் - எடுத்துக்காட்டு கணக்குகள்
எடுத்துக்காட்டு 6.9
வெப்பமான நாள் ஒன்றில், நீச்சல் குளத்தில் 10 மீட்டர் ஆழத்திலிருந்து மேலே பார்க்கும்போது தெரியும் ஒளியூட்டத்தின் ஆரம் என்ன? பார்வைக் கூம்பின் மொத்தக் கோணமும் என்ன? (கொடுக்கப்பட்டவை, தண்ணீரின் ஒளிவிலகல் எண் 4/3)
தீர்வு
கொடுக்கப்பட்டவை, n = 4/3, d = 10 m.

பார்வைக்கூம்பின் மொத்தக் கோணம்,

எடுத்துக்காட்டு 6.10
ஒளி இழை ஒன்றின் உள்ளகத்தின் ஒளிவிலகல் எண் 1.68 மற்றும் அதன் உறைப்பூச்சின் ஒளிவிலகல் எண் 1.44. இந்த ஒளி இழை காற்று ஊடகத்தில் உள்ளபோது அதன் ஏற்புக்கோணம் என்ன? மேலும் வெளிப்பூச்சு இல்லாத நிலையில் அதன் ஏற்புக்கோணத்தை கணக்கிடுக.
தீர்வு
கொடுக்கப்பட்டவை n1, = 1.68, n2 = 1.44, n1 = 1

sin-1 '(ஒன்றைவிடப் பெரிய எண்) சாத்தியமற்ற ஒன்றாகும். ஆனால், இது 0° விலிருந்து 90° என்ற எல்லைக்குள் வருகிறது. எனவே, அனைத்துக் கதிர்களும் சமதளப்பரப்பிலிருந்து உள்ளகத்திற்குள் வந்து முழுஅக எதிரொளிப்பு அடையும்.
குறிப்பு: உறைப்பூச்சு இல்லை எனில், உள்ளகத்தின் ஒளிவிலகல் எண் (n1)க்கான நிபந்தனை

இங்கு , கணிதவியல் விதியின்படி,(n12 -1) ≤ 1
அல்லது (n12) ≤ அல்லது n1≤√2
எனவே, காற்றில் (உறைப்பூச்சு இல்லாத நிலையில்) உள்ளகத்தின் ஒளிவிலகல் எண் (n1) ணின் மதிப்பு n1, ≤ 1.414
கண்ணாடிப்பட்டகத்தின் (glass slab) வழியே ஒளி விலகல் - எடுத்துக்காட்டு கணக்குகள்
எடுத்துக்காட்டு 6.11
0.25 m தடிமன் கொண்ட கண்ணாடிப்பட்டகத்தின் ஒளிவிலகல் எண் 1.5 ஆகும். ஒளிக்கதிர் ஒன்று கண்ணாடிப்பட்டகத்தின் ஒரு பக்கத்தின் மீது 60° கோணத்தில் விழுந்து அடுத்த பக்கம் வழியாக வெளிவருகிறது எனில், ஒளி அடைந்த பக்கவாட்டு இடப்பெயர்ச்சி என்ன?
தீர்வு
கொடுக்கப்பட்டவை : கண்ணாடிப்பட்டகத்தின் தடிமன் t = 0.25 m, ஒளிவிலகல் எண் n = 1.5. படுகோணம் i = 60°.
ஸ்னெல் விதியைப்பயன்படுத்தும்போது, 1 x sini
= n sin r

பக்கவாட்டு இடப்பெயர்ச்சி, L = 12.81 cm
ஒற்றை கோளகப்பரப்பில் ஏற்படும் ஒளிவிலகல் (Refraction at single spherical surface) - எடுத்துக்காட்டு கணக்குகள்
எடுத்துக்காட்டு 6.12
பின்வரும் படத்தில் காட்டப்பட்டுள்ள புள்ளிப்பொருள் O வின் பிம்பம் எங்குத் தோன்றும் எனக் குறிப்பிட்டுக்காட்டுக. படத்தில் C என்பது ஊடகங்களைப் பிரிக்கும் தளத்தின் வளைவு ஆரமாகும்.

தீர்வு
கொடுக்கப்பட்டவை u = -15 cm R = 30 cm மற்றும்
n2 = 1.5
ஒற்றை கோளகப்பரப்பு சமன்பாடு

மதிப்புகளைப் பிரதியிடும் போது,

கோளகப்பரப்பின் இடப்பக்கமாக 30 cm தொலைவில் மாயபிம்பம் தோன்றும்.
எடுத்துக்காட்டு 6.13
பின்வரும் படத்தில் தோன்றும் பிம்பத்தின் அளவைக் காண்க

தீர்வு
கொடுக்கப்பட்டவை, u = -40 cm, R = -20 cm,

ஒற்றை கோளகப்பரப்பிற்கு இடப்புறமாக 32 cm தொலைவில் 0.6 cm உயரமுள்ள நேரான மாயபிம்பம் கிடைக்கும்.
மெல்லிய லென்ஸ்கள் (Thin Lens) - எடுத்துக்காட்டு கணக்குகள்
எடுத்துக்காட்டு 6.14
ஓர் இருபுறகுவிலென்ஸின் வளைவு ஆரங்கள் முறையே 20 cm மற்றும் 15 cm. லென்ஸ் செய்யப்பட்ட பொருளின் ஒளிவிலகல் எண் 1.5 எனில், அந்த லென்ஸின் குவியத்தூரம் என்ன? லென்ஸின் முன்பக்கத்தைப் பின்பக்கமாகத் திருப்பிவைத்துப் பயன்படுத்தினால் அதன் குவியத்தூரம் மாறுமா?
தீர்வு
இருபுறகுவிலென்ஸைப் பொருத்தவரை முதல் பரப்பின் வளைவு ஆரம்நேர்குறியாகவும், இரண்டாம் பரப்பின் வளைவு ஆரம் எதிர்குறியாகவும் இருக்கும். இது படத்தில் காட்டப்பட்டுள்ளது.

கொடுக்கப்பட்டவை, n = 1.5, R1 = 20 cm மற்றும் R2 = -15 cm
லென்ஸ் உருவாக்குபவரின் சமன்பாட்டிலிருந்து,

கொடுக்கப்பட்ட மதிப்புகளைப் பிரதியிடும்போது

குவியத்தூரம் நேர்குறியில் உள்ளதால் இது ஒரு குவிக்கும் லென்ஸ் ஆகும். லென்ஸின் முன்பக்கத்தைப் பின்பக்கமாக மாற்றி வைக்கும் போது

தற்போது, R1 = 15 cm மற்றும் R2 = -20 cm, n = 1.5
மதிப்புகளைப் பிரதியிடும்போது

எனவே, லென்ஸின் முன்பக்கத்தைப் பின்பக்கமாக மாற்றிவைத்துப் பயன்படுத்தும் போதும் அதன் குவியத்தூரம் மாறாது. இஃது அனைத்து லென்ஸ்களுக்கும் பொருந்தும். மாணவர்கள் லென்ஸ்களை வைத்து இதனைச் சரிபார்க்கலாம்.
எடுத்துக்காட்டு 6.15
ஒளிவிலகல் எண் 1.52 கொண்ட பொருளால், படத்தில் உள்ளது போன்று வடிவமைக்கப்பட்ட லென்ஸின் குவியத்தூரத்தைக் கணக்கிடு (C1 மற்றும் C2 என்று குறிக்கப்பட்ட புள்ளிகள் முதல் மற்றும் இரண்டாம் பரப்புகளின் வளைவு மையங்களைக் குறிக்கின்றன).

தீர்வு
இவ்வகையான லென்ஸ்கள், குவி - குழி லென்ஸ்கள் (Convexo- Concave) என்று அழைக்கப்படும். கொடுக்கப்பட்டவை, n = 1.52, R1 = 10 cm மற்றும் R2 = 20 cm
லென்ஸ் உருவாக்குபவரின் சமன்பாட்டிலிருந்து,

கொடுக்கப்பட்ட மதிப்புகளைப் பிரதியிட்டு,


குவியத்தூரம் நேர்குறி மதிப்புடையதால் இது ஒரு குவிக்கும் லென்ஸ் ஆகும்.
எடுத்துக்காட்டு 6.16
150 cm குவியத்தூரம் கொண்ட கண்ணாடியால் செய்யப்பட்ட லென்ஸின் திறனைக் காண்க
தீர்வு
கொடுக்கப்பட்டவை; குவியத்தூரம் f = 150 cm (அல்லது) f = 1.5 m
லென்ஸின் திறன் சமன்பாடு, P = 1/f
கொடுக்கப்பட்ட மதிப்புகளைப் பிரதியிட்டால் P= 1 /1.5 = 0.67 டையாப்டர்
திறன் நேர்க்குறியில் உள்ளதால், இது ஒரு குவிக்கும் லென்ஸ் ஆகும்.
எடுத்துக்காட்டு 6.17
குவியத்தொலைவு -70 cm கொண்ட லென்ஸ் ஒன்றுடன், 150 cm குவியத்தொலைவு கொண்ட மற்றொரு லென்ஸ் தொடும்படி வைக்கப்பட்டுள்ளது. இந்த லென்ஸ் கூட்டமைப்பின் குவியத்தூரம் மற்றும் திறனைக் கணக்கிடுக.
தீர்வு
கொடுக்கப்பட்டவை : முதல் லென்ஸின் குவியத்தூரம் f1 = -70 cm. இரண்டாவது லென்ஸின் குவியத்தூரம் f2 = 150 cm
ஒன்றை ஒன்று தொட்டுக்கொண்டுள்ள லென்ஸ் கூட்டமைப்பின் குவியத்தூரம், 
மதிப்புகளைப் பிரதியிடும்போது,

குவியத்தூரம் எதிர்குறியில் உள்ளதால், இந்த லென்ஸ் கூட்டமைப்பு ஒரு விரிக்கும் லென்ஸ் ஆகும்.
கூட்டமைப்பின் திறன்,
எடுத்துக்காட்டு 6.18

10cm குவியத்தூரம் கொண்ட குவிலென்ஸிலிருந்து 15 cm தொலைவில், 5 mm உயரம் கொண்ட பொருளொன்று வைக்கப்பட்டுள்ளது. 5 cm குவியத்தூரம் கொண்ட இரண்டாவது லென்ஸ், முதல் லென்ஸிலிருந்த 40 cm தொலைவிலும், பொருளிலிருந்து 55 cm தொலைவிலும் வைக்கப்பட்டுள்ளது.
இச்சூழ்நிலையில் பின்வருவனவற்றைக் காண்க. (அ) இறுதி பிம்பத்தின் நிலை, (ஆ) பிம்பத்தின் தன்மை , (இ) பிம்பத்தின் அளவு
தீர்வு
கொடுக்கப்பட்டவை, h1 = 5 mm = 0.5 cm, u1 = -15 cm, f1 = 10 cm, f2 = 5 cm, d = 40 cm
முதலாவது லென்ஸ்க்கு லென்ஸ் விதியை எழுதும்போது,
1/v1 – 1/u1 = 1/f1
மதிப்புகளைப் பிரதியிடும் போது,

முதல் லென்ஸ், 30 cm தொலைவில் லென்ஸிற்கு வலப்புறமாகப் பிம்பத்தை உருவாக்கும். பிம்பத்தின் உயரத்தைக் காணல். உருப்பெருக்கத்திற்கான சமன்பாட்டிலிருந்து,
m = h2/h1 = v/u
மதிப்புகளைப் பிரதியிடும் போது,
h2/0.5 = 30/-15
h2 =0.5x 30/-15 = -1 cm
பிம்பத்தின் உயரம் எதிர்குறியில் உள்ளதால், பிம்பம் தலைகீழான, மெய்பிம்பமாகும். இப்பிம்பம் இரண்டாவது லென்ஸிற்குப் பொருளாகச் செயல்படும். எனவே,
இரண்டாவது லென்ஸின் இடப்புறமாக 10 cm தொலைவில் பொருள் உள்ளது (40-30=10 cm) எனவே , u2 = -10 cm
இரண்டாவது லென்ஸிற்கு , லென்ஸ் சமன்பாட்டை எழுதும்போது
1/v2 – 1/u2 = 1/f2
மதிப்புகளைப் பிரதியிடும் போது,

இரண்டாவது லென்ஸின் வலப்புறமாக 10 cm தொலைவில் பிம்பம் தோன்றுகிறது. இறுதி பிம்பத்தின் உயரம் காணல். இரண்டாவது லென்ஸினால் ஏற்படுத்தப்பட்டட இறுதி பிம்பத்தின் உயரத்தை h2’ என்க . இரண்டாவது லென்ஸிற்கான பொருளின் உயரம் h1’’ என்பது முதல் லென்ஸினால் உருவாக்கப்பட்ட பிம்பத்தின் உயரம் என்பதை நினைவு கூரவும். எனவே h1’’ = h2’
உருப்பெருக்கச் சமன்பாட்டிலிருந்து , m = h2’ / h1’’ = v2/u2
மதிப்புகளைப் பிரதியிடும்போது, h2’/-1 = 10/-10
h2’ = (-1) x (10/-10) = 1cm = 10mm
பிம்பத்தின் உயரம் நேர்குறி. எனவே நேரான மெய்பிம்பம் கிடைக்கும்.
முப்பட்டகம் (Prism) - எடுத்துக்காட்டு கணக்குகள்
எடுத்துக்காட்டு 6.19
சமபக்க முப்பட்டகம் ஒன்றின் மீது, ஒற்றை நிற ஒளிக்கதிரொன்று 30° கோணத்தில் விழுந்து 75° கோணத்தில் வெளியேறுகிறது எனில், முப்பட்டகம் ஏற்படுத்திய திசைமாற்றக் கோணத்தைக் காண்க.
தீர்வு
கொடுக்கப்பட்டவை, கொடுக்கப்பட்ட முப்பட்டகம் ஒரு சமபக்க முப்பட்டகம் எனவே, A = 60°; i1 = 30°; மற்றும் i2, =75°
திசைமாற்றக்கோணச் சமன்பாட்டின்படி d=i1+i2-A மதிப்புகளைப் பிரதியிடும்போது, d = 30°+75°-60°=45° முப்பட்டகம் ஏற்படுத்திய திசைமாற்றக்கோணம், d = 450
எடுத்துக்காட்டு 6.20
சமபக்க முப்பட்டகம் ஒன்றின் முதல் முகத்தில் அல்லது முதல் பரப்பின் மீது செங்குத்துப் படுகோணநிலையில் ஒளிக்கதிரொன்று விழுந்து, முப்பட்டகத்தின் வழியாக சென்று இரண்டாவது முகத்தினைத் தழுவிச்செல்கிறது எனில், முப்பட்டகம் ஏற்படுத்திய திசை மாற்றக் கோணம் எவ்வளவு? மேலும், முப்பட்டகப்பொருளின் ஒளிவிலகல் எண்ணைக் கணக்கிடுக.
தீர்வு

கொடுக்கப்பட்டுள்ள வினாவின் சூழல் படத்தில் காட்டப்பட்டுள்ளது.
இங்கு, A = 60°; i1 = 0°; i2, = 90°
முப்பட்டகத்தின் திசைமாற்றக்கோணத்திற்கான சமன்பாட்டிலிருந்து,
d = i1 + i2 - A
மதிப்புகளைப் பிரதியிடும்போது,
d = 0° + 90° - 60° = 30°
முப்பட்டகம் ஏற்படுத்திய திசைமாற்றக்கோணம்,
d = 300
முப்பட்டகத்தின் உட்புறம், இரண்டாவது முகத்தின் மீது ஒளிக்கதிர் மாறுநிலைக் கோணத்தில் விழுகிறது. எனவே, இக்கதிர் ஒளிவிலகல் அடைந்து இரண்டாவது முகத்தின் தளத்தின் மீதே செல்லும். அதாவது, இரண்டாவது முகத்தைத் தழுவிச்செல்லும்.
மாறுநிலைக் கோணத்திற்கான சமன்பாட்டின்படி,
sinic = 1/n

முப்பட்டகப்பொருளின் ஒளிவிலகல் எண் , n = 2
எடுத்துக்காட்டு 6.21
முப்பட்டகம் ஒன்றின் சிறும திசைமாற்றக்கோணம் 37° மேலும் அம்முப்பட்டகத்தின் கோணம் 60° எனில், முப்பட்டகப்பொருளின் ஒளிவிலகல் எண்ணைக் கணக்கிடுக.
தீர்வு
கொடுக்கப்பட்டவை, A=60°; D=37°

முப்பட்டகப்பொருளின் ஒளிவிலகல் எண், n = 1.5
எடுத்துக்காட்டு 6.22
ஃபிளிண்ட் கண்ணாடியின் வழியே செல்லும் சிவப்பு, பச்சை மற்றும் ஊதா ஒளிகளின் ஒளிவிலகல் எண்கள் முறையே 1.613, 1.620 மற்றும் 1.632 ஆகும். இம்மதிப்புகளைக் கொண்டு ஃபிளிண்ட் கண்ணாடியின் நிறப்பிரிகை திறனைக் காண்க
தீர்வு
கொடுக்கப்பட்டவை , ny =1.632; nR=1.613; nG=1.620 நிறப்பிரிகை திறனுக்கான சமன்பாட்டிலிருந்து,
ɷ = (ny - nR) / (nG-1)
மதிப்புகளைப் பிரதியிடும் போது
ɷ = 1.632-1.613/1.620-1 = 0.019 /0.620 = 0.0306
ஃபிளிண்ட் கண்ணாடியின் நிறப்பிரிகை திறன், ɷ = 0.0306